Как биполярное расстройство и семейное благосостояние влияют на выбор творческих профессий

Как биполярное расстройство и семейное благосостояние влияют на выбор творческих профессий

Интересное сегодня

Как музыка помогает детям распознавать эмоции: исследование ...

Музыка и эмоции: как дети учатся распознавать чувства Музыка играет важную роль в том, как мы воспри...

Возвращение в семью после проживания вне дома: Исследование ...

Размещение вне дома является серьезным вмешательством в жизнь молодежи. Согласно статье 9 Конвенции ...

Когнитивные стратегии и затраты на переключение: исследовани...

Введение Переключение между задачами обычно связано с затратами по сравнению с повторением одной и т...

Как мозг обрабатывает слова в предложениях: нейробиология яз...

Нейробиологические основы языкового производстваМногие животные используют символические формы комму...

Гипотеза культурной непрерывности: почему люди стремятся сох...

Каждая человеческая культура обладает уникальным набором ценностей, верований и практик. Однако общи...

Расстройства аутистического спектра (РАС) и их связь с прежд...

Расстройства аутистического спектра (РАС) Расстройства аутистического спектра (РАС) являются одной и...

Рисунок 2
Рисунок 2
Рисунок 3
Рисунок 3
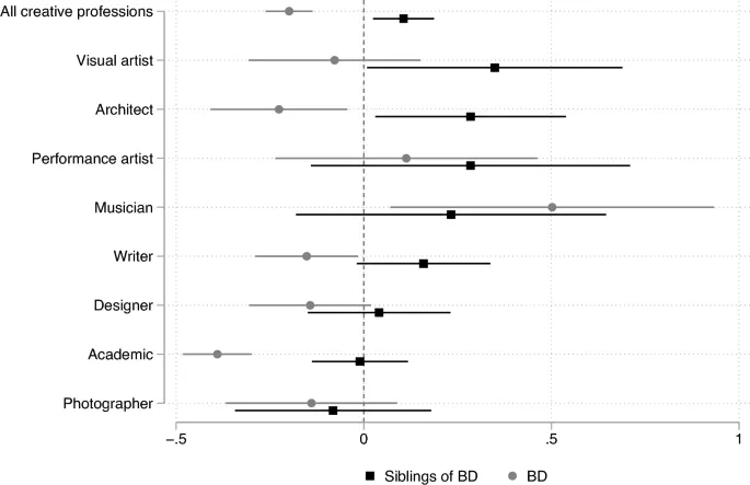
Рисунок 1
Рисунок 1
Thumbnail 1
Thumbnail 2
Thumbnail 3
Thumbnail 4
Thumbnail 5
Thumbnail 6
Оригинал исследования на сайте автора

Влияние биполярного расстройства на выбор профессии

Исследования в области психологии и медицины давно связывают психические расстройства, особенно биполярное расстройство (БР), с работой в творческих профессиях. Однако механизмы этой связи остаются малоизученными. Они могут быть биологическими (преимущественно через гены) или социально-экономическими (через уровень благосостояния семьи).

Ключевые выводы исследования

  • Люди с БР на 50% чаще становятся музыкантами, но реже работают в других творческих сферах.
  • Здоровые братья и сёстры людей с БР на 11% чаще выбирают творческие профессии.
  • Дети из богатых семей в 7 раз чаще работают в творческих областях.
  • Семейное благосостояние объясняет лишь 8% связи между БР и творчеством.

Роль генетики и среды

Результаты исследования подтверждают, что связь между биполярным расстройством и творчеством может иметь генетическую природу. Здоровые родственники людей с БР, возможно, наследуют мягкую форму расстройства, которая способствует креативности, но не мешает профессиональной реализации.

«Некоторые аспекты биполярного спектра могут давать преимущества, в то время как более выраженные симптомы негативно влияют на творческие достижения» — отмечают исследователи.

Влияние социально-экономического статуса

Богатство семьи значительно увеличивает шансы на творческую карьеру. Однако оно объясняет лишь небольшую часть корреляции между БР и творческими профессиями. Интересно, что для родственников людей с БР эта зависимость выражена сильнее, чем для остального населения.

Методология исследования

Учёные проанализировали данные 2,5 миллионов жителей Дании за период с 1995 по 2015 год. В исследовании учитывались:

  • Диагнозы психических расстройств (по классификации ICD-10)
  • Профессиональная деятельность (по классификации ISCO)
  • Семейные связи и уровень благосостояния родителей

Ограничения исследования

Авторы отмечают несколько ограничений своей работы:

  • Творчество измерялось только через выбор профессии, а не через реальные достижения
  • Классификация творческих профессий со временем может меняться
  • Исследование выявляет корреляции, но не причинно-следственные связи

Короткие версии статей можно найти в телеграм-канале.

Посмотреть канал
Кликните еще раз для перехода

Ватные палочки Джонсонс Бэби №100 - Безопасный уход

Детские ватные палочки Джонсонс Бэби в удобной банке на 100 шт. Изготовлены из мягкого природного ма...

Урьяж Барьесан Стик SPF50+ | Защита чувствительных зон

Урьяж Барьесан Стик для чувствительных зон SPF50+ — удобная защита от солнца в формате компактного с...

Карсил 35 мг №180 - гепатопротектор для печени | Аптека

Карсил – гепатопротектор на основе расторопши с доказанным действием. Защищает печень от токсинов, у...

Рокс Белый Стих - отбеливающая зубная паста для осветления э...

Зубная паста Рокс Белый Стих для эффективного и безопасного отбеливания зубов. Уникальная формула с ...

Редецил мазь 35 г — дерматопротектор для кожи

Редецил мазь 35 г — дерматопротектор для наружного применения, стимулирующий восстановление кожи и у...

Холос Сироп: натуральное желчегонное для печени, 140г

Холос Сироп 140г — натуральное желчегонное средство на основе плодов шиповника. Содержит витамины B,...