Как собаки понимают роль человека в совместных задачах: исследование когнитивных способностей

Как собаки понимают роль человека в совместных задачах: исследование когнитивных способностей

Интересное сегодня

Гибкий график работы: как пандемия изменила баланс между сем...

Как пандемия изменила подход к работе Сейчас трудно поверить, но пандемия COVID-19 началась всего че...

Почему мы предпочитаем простые объяснения: исследование когн...

Новое исследование Университета Миссисипи раскрывает, почему люди часто предпочитают простые объясне...

Как понимание в межрасовых и внутрирасовых отношениях влияет...

Введение Исследование рассматривает, как понимание и раскрытие информации в близких отношениях влияю...

Как стигма влияет на психическое здоровье родителей детей с ...

Введение Стигма, связанная с расстройствами аутистического спектра (РАС), и её негативные последстви...

Как травма влияет на психическое здоровье семей военных и сп...

Влияние травмы на психическое здоровье Воздействие боевых действий негативно сказывается на психичес...

Групповое пение и йога при болезни Паркинсона: влияние на эм...

Введение Люди с нейродегенеративными заболеваниями, такими как болезнь Паркинсона (БП), часто сталки...

Рисунок 1
Рисунок 1
Рисунок 2
Рисунок 2
Рисунок 3
Рисунок 3
Рисунок 4
Рисунок 4
Рисунок 5
Рисунок 5
Thumbnail 1
Thumbnail 2
Thumbnail 3
Thumbnail 4
Thumbnail 5
Thumbnail 6
Thumbnail 7
Thumbnail 8
Оригинал исследования на сайте автора

Введение

Кооперация может приносить животным пользу в различных ситуациях, таких как решение проблем или получение желаемых наград. Однако выбор между совместными и индивидуальными действиями сопряжен с разными рисками и результатами. Соответственно, для особи выгодно сотрудничать в определенных контекстах, а не без разбора, что делает принятие решений важным аспектом кооперации.

Роль партнера в кооперации

Человека отличает исключительная гибкость в таких выборах, отчасти благодаря нашей способности распознавать роль партнера в совместных действиях. В то время как некоторые животные понимают необходимость партнера в подобных взаимодействиях, остается неясным, осознают ли они последствия действий партнера и корректируют ли свое поведение соответствующим образом.

Методы исследования

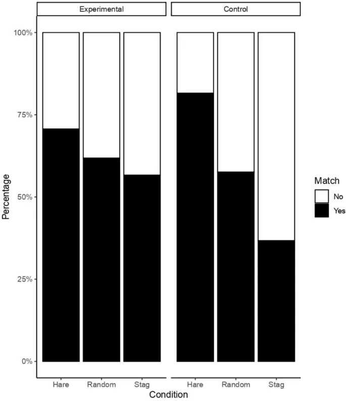
В данном исследовании использовалась экономическая игра «Охота на оленя», где две особи должны выбрать между двумя вариантами: «олень» (кооперация) или «заяц» (индивидуальное действие). Собаки могли сотрудничать для получения более ценной награды или действовать индивидуально за менее ценное вознаграждение, в то время как их человеческие партнеры либо сотрудничали, либо никогда не сотрудничали, либо действовали случайным образом.

Контрольные группы

Для исключения альтернативных объяснений, таких как предпочтение стороны или привлекательность еды, были созданы две группы:

  • Экспериментальная группа: собаки получали высокую награду за кооперацию и низкую — за индивидуальное действие.
  • Контрольная группа: обе стороны предлагали одинаково высокую награду.

Результаты

Собаки экспериментальной группы чаще выбирали кооперацию, когда их партнер также сотрудничал, демонстрируя понимание роли человека в задаче. В контрольной группе собаки чаще выбирали индивидуальное действие, что указывает на отсутствие слепого следования за партнером.

Анализ данных

Статистические модели подтвердили, что выбор собак зависел от действий партнера и условий эксперимента. Собаки не просто реагировали на присутствие человека, но учитывали его действия для максимизации выгоды.

Обсуждение

Результаты показывают, что собаки способны понимать последствия действий партнера и адаптировать свое поведение, что свидетельствует о сложных когнитивных механизмах, лежащих в основе их кооперативных навыков. Это отличает их от других животных, таких как макаки, которые чаще демонстрировали предвзятость в сторону более высокой награды независимо от выбора партнера.

Ограничения и будущие исследования

Хотя исследование подтвердило гипотезу, остаются вопросы о том, как собаки учатся этим стратегиям и как их отношения с человеком влияют на принятие решений. Будущие работы могут изучить внутривидовую кооперацию у собак и роль видимости действий партнера.

Короткие версии статей можно найти в телеграм-канале.

Посмотреть канал
Кликните еще раз для перехода

Либридерм Шампунь Деготь 250 мл — уход за жирными волосами

Либридерм Шампунь Деготь 250 мл эффективно очищает волосы и кожу головы, устраняет жирный блеск и пе...

Таурин 500 мг для сердца, печени и сосудов | Кардиоактив

Кардиоактив Таурин 500 мг – препарат для поддержки сердечно-сосудистой системы, улучшения метаболизм...

Космопор Е 8×15 см — стерильная самоклеящаяся повязка

Космопор Е 8×15 см — стерильная самоклеящаяся повязка из мягкого нетканого материала с гипоаллергенн...

Белоручка Крем для рук Смягчающий 75 мл — уход и мягкость

Крем для рук Белоручка Смягчающий 75 мл заботится о коже, устраняя сухость и обеспечивая комфорт на ...

Лосьон очищающий Дюкрэ Керакнил для жирной кожи 200 мл

Дюкрэ Керакнил Лосьон Очищающий 200Мл — профессиональное средство для жирной и проблемной кожи. Акти...

Турбослим Экспресс-Похудение - капсулы и саше для похудения

Турбослим Экспресс-Похудение - эффективная программа для быстрого снижения веса. Комплекс капсул и с...