Оптимизация распределения ресурсов безопасности в строительстве: эволюционные игры и генетические алгоритмы

Оптимизация распределения ресурсов безопасности в строительстве: эволюционные игры и генетические алгоритмы

Интересное сегодня

Как синхронизация в дуэте влияет на социальные взаимодействи...

Влияние синхронизации на социальные взаимодействия Сложное поведение человека, такое как речь, музык...

Как сенсорная модальность влияет на взаимодействие восприяти...

Взаимодействие пространства и времени в мозгеПредставление пространства и времени в человеческом моз...

Как повторяющееся хмурение и улыбка влияют на морщины между ...

Введение Морщины между бровями, известные как глабеллярные линии, часто являются основной причиной б...

Адаптация к вертикальным паттернам Гласса в зрительной коре:...

Введение в исследование обработки зрительной информации Восприятие coherentных конфигураций форм в е...

Социальные связи: как одиночество влияет на наше здоровье

Влияние одиночества на здоровье Исследования, проведенные командой Гарварда, показывают, что мозг об...

Краудсорсинг и модель дрифф-диффузии принятия решений: как н...

Введение Краудсорсинг предполагает использование множества аннотаторов для разметки данных, причем н...

Рисунок 6
Рисунок 6
Рисунок 14
Рисунок 14
Рисунок 13
Рисунок 13
Рисунок 12
Рисунок 12
Рисунок 11
Рисунок 11
Рисунок 10
Рисунок 10
Рисунок 9
Рисунок 9
Рисунок 8
Рисунок 8
Рисунок 7
Рисунок 7
Рисунок 5
Рисунок 5
Рисунок 4
Рисунок 4
Рисунок 3
Рисунок 3
Рисунок 2
Рисунок 2
Рисунок 1
Рисунок 1
Thumbnail 1
Thumbnail 2
Thumbnail 3
Thumbnail 4
Thumbnail 5
Thumbnail 6
Thumbnail 7
Thumbnail 8
Thumbnail 9
Thumbnail 10
Thumbnail 11
Thumbnail 12
Thumbnail 13
Thumbnail 14
Thumbnail 15
Thumbnail 16
Thumbnail 17
Оригинал исследования на сайте автора

Введение

Обширный, динамичный и децентрализованный характер строительного процесса определяет распространенность аварий на строительных площадках. В качестве примера возьмем Китай: в 2020 году по всей стране произошло 689 аварий на строительных объектах жилого и муниципального назначения, в результате которых погибло 794 человека. В области управления безопасностью строительных проектов предотвращение аварий является чрезвычайно сложной задачей из-за разнообразной среды площадки и сложных отношений между многочисленными сотрудниками. Различные нарушения, возникающие в результате стремления участников строительных проектов к получению большей прибыли, оказывают значительное негативное влияние на показатели безопасности.

Несмотря на многочисленные инновационные практики и интеллектуальные модели раннего предупреждения, предложенные в последние годы для улучшения показателей безопасности, непрерывно растущий уровень аварийности доказывает, что в области безопасности все еще есть возможности для улучшения. Поэтому ученые adopted различные методы и модели для измерения показателей безопасности строительных проектов, многие из которых сосредоточены на внутренней объективной среде строительной площадки. Эти показатели недостаточны, поскольку в значительной степени корреляция между человеческими факторами и авариями безопасности больше, чем между built environment или производительностью оборудования и авариями безопасности.

Поэтому крайне важно adopt ориентированный на человека подход, исследовать более рациональный путь распределения ресурсов безопасности, повышать осведомленность сотрудников о безопасности на строительных площадках и улучшать эффективность управления безопасностью.

Психологическое здоровье в строительной отрасли

Рабочие передовой линии, как непосредственные производители строительной продукции и первые жертвы строительных аварий, давно широко изучаются учеными. Было предложено множество конкретных мер и моделей управления для контроля небезопасного поведения рабочих, включая правила, связанные с безопасностью, и компьютерные методы. Однако для достижения эффективных результатов управления предыдущие исследования в основном были сосредоточены на оптимизации механизмов регулирования с точки зрения принудительных мер и не хватало исследований механизмов взаимодействия между сотрудниками на строительной площадке.

Хотя исследования в области строительной безопасности ведутся давно, в нынешнюю эпоху огромных перемен психологическое здоровье в строительной отрасли, похоже, недооценивается. Поскольку молодые люди новой эпохи массово поступают в строительную отрасль, проблемы психологического здоровья особенно突出的 на строительной безопасности. Молодые специалисты новой эпохи обладают более сильными личными характеристиками, более охотно выражают свои идеи и имеют большее сопротивление принудительным punitive мерам.

Как только формируется attitude пренебрежения к строительной безопасности, его трудно изменить, и оно может легко привести к угрозам безопасности. Как только существуют угрозы безопасности, начинается обратный отсчет до возникновения аварий безопасности.

Распределение ресурсов безопасности

Ресурсы безопасности составляют наиболее важные инвестиции в строительных проектах, однако в ходе actual строительного процесса инвестиции в безопасность часто сокращаются или перенаправляются в другие области. Цель инвестиций в безопасность - устранение latent рисков безопасности. Текущие инвестиции в безопасность обычно нацелены на общие стратегии и значительные механизмы, которые редко сталкиваются с серьезными проблемами. Следовательно, эти инвестиции struggle играть ключевую роль в реальных авариях.

Чтобы минимизировать impact угроз безопасности, распределение ресурсов безопасности не должно ограничиваться увеличением количества personnel безопасности или добавлением оборудования безопасности. Такой подход не только тратит значительное количество ресурсов, но и оказывается трудным для получения желаемых результатов. Например, часто возникают конфликты между рабочими и менеджерами по безопасности, а избыточное оборудование безопасности может иметь обратный effect на ход работы.

Теоретическая основа: теория обмена между лидером и членом команды (LMX)

Теория обмена между лидером и членом команды (Leader-Member Exchange, LMX) - это теория, описывающая отношения между руководителем и его сотрудниками. Концепция происходит из теории социального обмена, которая объясняет, как формируются и поддерживаются социальные отношения на основе обмена вознаграждениями и затратами. Теория LMX предполагает, что руководители формируют различные типы отношений со своими сотрудниками на основе их уровней доверия, уважения и взаимных обязательств.

Эти отношения categorized в две группы: внутренняя группа и внешняя группа. Члены внутренней группы имеют более близкие отношения со своим руководителем, что приводит к более благоприятным job attitudes и поведению, таким как удовлетворенность работой, organizational commitment и вовлеченность в работу. Напротив, члены внешней группы имеют более формальные отношения со своим руководителем, что приводит к менее благоприятным job attitudes и поведению и более низким уровням производительности.

LMX амбивалентность в строительстве

LMX амбивалентность - это концепция, описывающая mixed или uncertain attitude, которое сотрудники могут испытывать к своему руководителю. Она характеризуется чувствами как positive, так и negative эмоций по отношению к руководителю, resulting в конфликтных или амбивалентных отношениях. Исследования показали, что LMX амбивалентность может оказывать negative effects на job attitudes и поведение сотрудников.

Например, сотрудники, испытывающие LMX амбивалентность, могут чувствовать себя менее committed к своей организации и могут иметь более низкие уровни удовлетворенности работой. Они также могут демонстрировать более низкие уровни job performance. LMX амбивалентность также может применяться к работникам строительных площадок. Частые взаимодействия в harsh иерархических отношениях могут вызывать ambiguity.

Методология исследования

Для лучшего исследования изменений в состоянии безопасности в ходе строительного процесса данная статья абстрагирует конкретные participating units как роли superiors и subordinates, которые могут transformed друг в друга. Вводится теория эволюционных игр для анализа behavioral trends обеих сторон при различных условиях. Кроме того, в игровой модели replicator dynamics equation используется как основа для рассмотрения оптимизации распределения ресурсов безопасности с помощью heuristic algorithms.

Организация данной статьи следующая: во втором разделе summarized связанная литература; в третьем разделе introduced исследовательский background и established модель, combining теорию эволюционных игр и генетические алгоритмы; в четвертом разделе selected практический case для simulation анализа; наконец, раздел conclusion provides выводы данного исследования.

Эволюционная игровая модель

В summarizing анализа предыдущего раздела следует отметить, что психологические условия имеют определенную степень hiddenness и не могут быть accurately представлены через numerical values. Произвольное assignment значений inevitably приведет к результатам, которые lack authenticity. Поэтому необходимо выполнить correlation processing выбранных indicators.

Распределение стратегий

Классификация players была detailed описана в предыдущем разделе. Игра ведется между двумя группами в системе: (Supervisors, Subordinates). Рассматриваются combinations стратегий на основе proactive поведения players. Набор стратегий "Subordinates" - (compliance с правилами, non-compliance с правилами).

Для "Subordinates" testing правила - это первый шаг к получению greater benefits. Чтобы продемонстрировать distinctiveness, предполагается, что testing поведение "Subordinates",一旦 tolerated, будет further escalate scope damage для получения additional benefits. Для менеджеров, хотя они также prioritize benefits, они несут primary responsibility за negative последствия.

Генетический алгоритм для оптимизации

Генетический алгоритм - это heuristic optimization technique, вдохновленная biological процессом natural selection и genetic inheritance. Он involves представление решения проблемы как population individuals, где каждый individual evaluated на основе fitness function. Наиболее fit individuals selected для reproduction, и через crossover и mutation operations их traits передаются следующему generation individuals, creating новую population.

Этот процесс continues до достижения optimal solution или критерия termination. Генетические алгоритмы widely used во многих fields, включая engineering, economics и biology, где сложные проблемы require efficient решения.

Процесс оптимизации

В данной статье выбор стратегий для supervisors primarily зависит от действий их subordinates. Уместно использовать conventional генетический алгоритм для оптимизации replicated dynamic equation f(x) subordinates independently. Критические steps объясняются следующим образом:

  • Кодирование и инициализация: Существуют various методы encoding для генетических алгоритмов. Для comparison не было requirement для breadth диапазона при обсуждении parameter range переменных в предыдущем разделе.
  • Выбор и скрещивание: На этом этапе selected superior individuals, в то время как inferior ones eliminated. После long периода development было devised many методов selection для генетических алгоритмов.
  • Мутация: Путем simulating genetic mutations, diversity introduced в population для предотвращения premature convergence к suboptimal решениям.

Анализ конкретного случая

Сфера строительных проектов extremely широка, и модель, established в данной статье, не может быть applied ко всем строительным проектам. Чтобы сделать предложенный метод в данной статье более informative и inspiring, мы рассматриваем complex проект, reference расчет safety risk в literature, и apply наш предложенный метод для optimization.

В ходе этого процесса могут arise некоторые additional constraints. Строительный проект по расширению и реконструкции Дворца культуры рабочих Юэяна и площади Дунфэн включает следующие elements: девятиэтажный Дворец культуры рабочих, standard спортивное поле, двухуровневый подземный parking lot, и supporting facilities, такие как roads, площади, surface parking lots, landscaping и outdoor pipelines.

Результаты и обсуждение

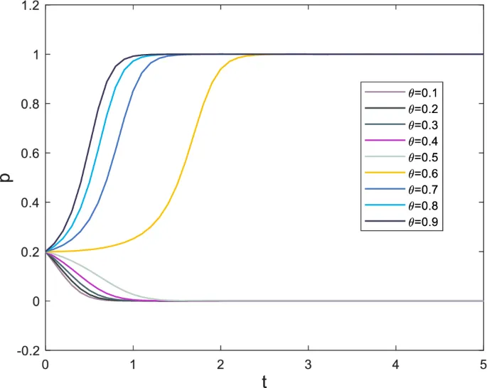
На основе информации, представленной в результатах моделирования, можно observed, что когда коэффициент риска безопасности превышает 0.5, наказание за incidents безопасности уже достигло high уровня, causing rate выбора стратегии subordinates для x gradually увеличиваться к 1. Несмотря на initial вероятность выбора x=0.2, indicating, что вероятность выбора subordinates нарушать правила much higher, чем следовать им, оценка gains tends быть conservative в high-pressure ситуациях.

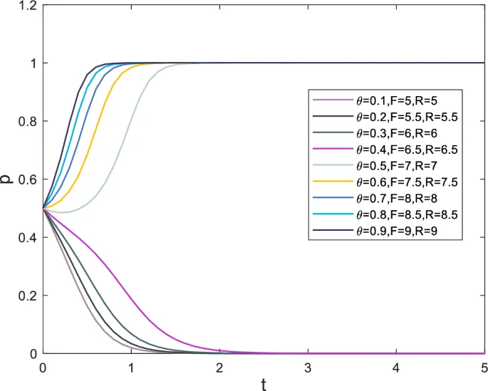
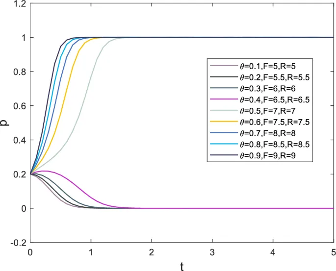
Ситуация для supervisors similar, с rate, при котором y tends к 1, increasing по мере того, как коэффициент риска безопасности превышает 0.5. Выбор стратегий, сделанный subordinates, является crucial consideration для выбора стратегии supervisors, и может даже referred to как response. Кроме того, как main исполнитель строительного процесса, subordinates обладают greater восприятием incidents безопасности, чем supervisors.

Заключение и выводы

Мы aim integrate теорию эволюционных игр с генетическими алгоритмами для optimization и verification безопасного распределения ресурсов. Наша цель - identify optimal распределение ресурсов безопасности и specific ограничения, которые promote cooperative поведение, group cohesion и awareness безопасности в пределах строительной площадки, rather than анализировать expected combinations стратегий в игровой системе.

В течение construction phase, dynamic adjustment поведения безопасности между superiors и subordinates является crucial фактором, который affects показатели безопасности. В строительных проектах существуют numerous procedures, которые involve hazardous factors и last для certain периода времени. Поэтому adjustment поведения безопасности является long-term и ever-changing процессом, rather than static выбор.

Основное purpose теории эволюционных игр - examine стратегические changes группы. С одной стороны, individuals learn optimal стратегию, observing и imitating стратегии других individuals. С другой стороны, группа tends converge к stable стратегии в evolutionary stable point, что facilitates observation общих trends в change.

Недостатком теории эволюционных игр является uncertainty, involved в assignment параметров, что делает design распределения ресурсов highly inconvenient. В данной статье мы propose метод, который combines генетические алгоритмы с теорией эволюционных игр. Используя characteristics уравнений replicator dynamic и specifying диапазон numerical значений, мы optimize assignment параметров с помощью heuristic алгоритмов.

Короткие версии статей можно найти в телеграм-канале.

Посмотреть канал
Кликните еще раз для перехода

Medela Contact накладки на грудь M 20 мм, 2 шт

Силиконовые накладки на грудь Medela Contact, размер M (20 мм) — мягкая и тонкая защита для комфортн...

Купить Брал таблетки 500 мг №100 — цена, отзывы

Брал — комбинированный препарат для быстрого устранения боли и спазмов. Содержит метамизол натрия, п...

Никоретте жевательная резинка 4 мг №30 - бросить курить

Никоретте жевательная резинка 4 мг со вкусом свежих фруктов помогает бросить курить, уменьшая тягу к...

Хилак Форте капли вишня 30 мл купить в аптеке

Хилак Форте капли для внутреннего применения с вкусом вишни поддерживают здоровье кишечника, помогаю...

Лонгидаза суппозитории 3000 МЕ №20 – купить в аптеке

Лонгидаза суппозитории вагинальные и ректальные 3000 МЕ №20 подходят для комплексной терапии гинекол...

Орлетт Бандаж ортопедический фиксирующий L бежевый — аптека

Ортопедический фиксирующий бандаж Орлетт размер L в бежевом цвете эффективно поддерживает и стабилиз...