
Интересное сегодня
Влияние температуры горячего воздуха и толщины ломтиков на к...
Введение Дыня Хами (Канталупа) — популярный фрукт, выращиваемый в тропических регионах и имеющий ком...
Нарушения исполнительных функций и пищевая зависимость у под...
Введение Ожирение среди детей и подростков представляет собой растущую проблему общественного здраво...
Латерализация взгляда у младенцев: влияние генетики и среды ...
Введение в латерализацию мозговых функций Церебральная латерализация относится к функциональной спец...
Как справиться с политическим хаосом: практические советы дл...
Введение В современном мире быть в курсе политических событий может быть утомительным. Ситуация част...
Роль морских продуктов в развитии просоциального поведения у...
Введение Исследование, проведенное Университетом Бристоля, выявило, что дети, регулярно употр...
Как физиология влияет на спортивные результаты: разбор пораж...
Финал Уимблдона. Центральный корт. 15 000 человек, верящих в Аманду Анисимову Но по ходу матча её те...
Введение
Одним из центральных свойств естественных языков является произвольность знака: звучание слов обычно не информирует об их значении. Тем не менее, систематические звукосимволические исключения из этого принципа, обнаруженные в лексике широкого спектра языков, всегда интриговали как учёных, так и неспециалистов. Так называемый «эффект бубакики» или «эффект малуматакете» является классическим примером чувствительности к иконическому звуковому символизму. При выполнении задачи сопоставления звука и формы воспринимающие почти систематически ассоциируют псевдослова, такие как «буба» или «малума», с круглыми или гладкими формами, а другие, такие как «кики» или «такете», с остроконечными или угловатыми формами. С момента первого сообщения об этом эффект бубакики был надёжно воспроизведён across языками, культурами и стимулами, что suggests, что он в некоторой степени опирается на универсальные сигналы.
Проблематика исследования
Однако остаются две основные проблемы. Во-первых, параметры стимулов, вовлечённые в этот эффект, всё ещё неясны. Например, и согласные, и гласные, по-видимому, играют роль в эффекте бубакики (хотя согласные в большей степени). Некоторые исследования предполагают, что воспринимаемая округлость может вызываться акустической непрерывностью, фонетической континуальностью, спектральным наклоном, высотой тона, дрожанием голоса или телесными действиями языка, губ или даже рук, которые зеркально отражались бы в визуальных округлых формах. Однако ни один из этих параметров ещё не показал, что он даёт последовательный ответ, объясняющий разнообразие экспериментальных результатов в литературе.
Результаты
Решение первой проблемы: универсальная феноменологическая модель эффекта бубакики
Сбор опубликованных отчётов об эффекте бубакики у взрослых выявляет последовательную закономерность. Некоторые речевые звуки, такие как носовой /m/, звонкий губно-губной взрывной /b/, плавный /l/ или задние гласные /u o/, как в словах bouba и maluma, скорее округлые (т.е. чаще ассоциируются с круглыми, чем с остроконечными формами). Напротив, другие, такие как глухие корональные /t k/ или передние гласные /i e/, как в kiki и takete, скорее остроконечные (т.е. чаще ассоциируются с остроконечными, чем с круглыми формами). Фонетический анализ даёт straightforward интерпретацию этой феноменологии, показывая, что округлые речевые звуки имеют низкочастотные спектры (или более низкий спектральный баланс) и демонстрируют более непрерывные временные колебания своей акустической огибающей.
Предсказание эффекта бубакики на основе спектрального баланса и временной непрерывности
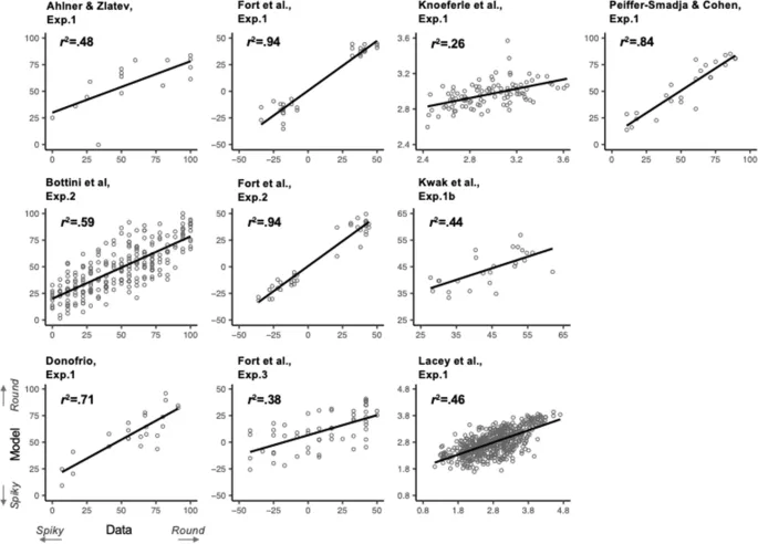
В этом разделе мы объединили метаанализ с вычислительным моделированием, чтобы количественно оценить возможность предсказания эффекта бубакики на основе параметров спектрального баланса и временной непрерывности. Благодаря их авторам, мы собрали данные и речевые стимулы из 8 публикаций (10 экспериментов, всего 394 участника, 1086 речевых стимулов, пять языков) по эффекту бубакики. Несмотря на большую вариабельность набора данных с точки зрения языков, лингвистического содержания и стимулов, мы выбрали простую и единую вычислительную феноменологическую модель для извлечения параметров спектрального баланса и временной непрерывности из акустических речевых стимулов.
Обсуждение
Наше исследование решает давнюю загадку эффекта бубакики, показывая, что он основан на двух универсальных акустических сигналах — спектральном балансе и временной непрерывности. Мы демонстрируем, что этот эффект не является специфичным для речи, а скорее укоренён в физических свойствах объектов, создающих аудиовизуальные закономерности в окружающей среде. Круглые предметы математически предопределены к тому, чтобы при ударе или качении по поверхности производить более низкочастотные спектры и более непрерывные звуки, чем остроконечные объекты того же размера. Наконец, мы показываем, что взрослые чувствительны к таким закономерностям. Следовательно, интуитивная физика влияет на восприятие языка и, возможно, также на его усвоение и эволюцию.