Социальная поддержка и психологическая устойчивость: как они влияют на качество жизни пожилых пациенток с раком молочной железы

Социальная поддержка и психологическая устойчивость: как они влияют на качество жизни пожилых пациенток с раком молочной железы

Интересное сегодня

Как увеличить вероятность женского оргазма: роль стимуляции ...

За последнее десятилетие исследования подтверждают, что женщины в среднем реже испытывают оргазм во ...

Как навигационные навыки зависят от когнитивных способностей...

Навигационные навыки и их индивидуальные различияНавигация — это базовая когнитивная функция, котору...

Как избежать эмоционального выгорания в отношениях: советы н...

Эмоциональное выгорание в отношениях: почему любовь угасает? В начале отношений всё кажется идеальны...

Новая терапия ультразвуком для лечения депрессии и тревоги

Новая терапия, меняющая подход к лечению По новому исследованию, проведенному в Медицинской школе Де...

Нейроны и глиальные клетки: различия и их роль в нервной сис...

Нейроны и глиальные клетки: основные различия Нейроны и глиальные клетки — это два основных типа кле...

Как мозг управляет аппетитом: нейроны желания и потребления ...

Тайна пищевого желания «Я хочу то, что хочу, когда я этого хочу» — эта строчка из популярной песни с...

Рисунок 1
Рисунок 1
Рисунок 2
Рисунок 2
Рисунок 3
Рисунок 3
Thumbnail 1
Thumbnail 2
Thumbnail 3
Thumbnail 4
Thumbnail 5
Thumbnail 6
Оригинал исследования на сайте автора

Введение

Психологическая устойчивость (psychological resilience, BCRS) и воспринимаемая социальная поддержка (perceived social support, PSSS) значительно влияют на связь между внешней социальной поддержкой (external social support) и качеством жизни (quality of life, QoL). Однако их совместное влияние до конца не изучено. Настоящее исследование фокусируется на пожилых пациентках с раком молочной железы и ставит целью выяснить, как эти факторы по отдельности и во взаимодействии опосредуют влияние социальной поддержки на качество жизни.

В исследовании приняли участие 143 пожилые пациентки с раком молочной железы. Были использованы следующие шкалы: Шкала социального воздействия (Social Impact Scale, SIS), Шкала воспринимаемой социальной поддержки (Perceived Social Support Scale, PSSS), Шкала устойчивости к раку молочной железы (Breast Cancer Resilience Scale, BCRS) и Опросник здоровья короткой формы 36 (Short Form 36 Health Survey, SF36). Были изучены независимые связи между показателями SF36 и другими измерениями шкал, как без поправок, так и с учетом демографических характеристик. Кроме того, были систематически оценены индивидуальные и совместные эффекты PSSS и BCRS во взаимосвязи между SIS и SF36.

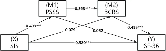
Результаты показали, что общие и частные показатели SF36 демонстрировали, как правило, отрицательные корреляции с показателями SIS (большинство r ≤ 0.3, P < 0.05). Однако, PSSS смягчала этот эффект, повышая BCRS, и вносила 8.39% в общий эффект (P < 0.05). В то же время, SIS отрицательно влияла на PSSS (r = -0.24, P < 0.05) и BCRS (r = -0.29, P < 0.01). Обратное влияние PSSS на SIS было незначительным (r = -0.14, P > 0.05). Таким образом, было выявлено, что PSSS и BCRS выступают в роли медиаторов, опосредующих негативное воздействие SIS на SF36. В частности, PSSS усиливала BCRS, а BCRS, в свою очередь, влияла на SF36. Взаимодействие между PSSS и BCRS также демонстрировало медиаторный эффект.

Методология исследования

Для анализа корреляций использовались следующие коэффициенты:

  • r (коэффициент корреляции Пирсона): от 0 до ±0.3 - слабая корреляция; от ±0.3 до ±0.5 - умеренная корреляция; от ±0.5 до ±0.7 - сильная корреляция; от ±0.7 до ±0.9 - очень сильная корреляция; от ±0.9 до ±1.0 - полная корреляция.

Множественный линейный регрессионный анализ применялся для определения независимых связей между показателями SF36 и другими элементами опроса. Критерием независимой отрицательной и положительной корреляции служил показатель β ± 1.96SE ≤ 0. При применении P < 0.05 для выявления явных корреляций было обнаружено, что между общими и частными показателями SF36 и общими показателями SIS, PSSS и BCRS существуют слабые и сильные корреляции (за исключением связи между SF36 "ролевая эмоциональная" и BCRS; |r|=0.320 ~ 0.668, все P < 0.05).

Обсуждение результатов

Настоящее исследование подчеркивает значительное влияние воспринимаемой социальной поддержки и психологической устойчивости у пожилых пациенток с раком молочной железы на взаимосвязь между социальной поддержкой и их качеством жизни.

Ключевые факторы, влияющие на качество жизни

Полученные данные свидетельствуют о том, что воспринимаемая социальная поддержка пациенткой опосредует влияние внешней социальной поддержки на качество жизни, усиливая психологическую устойчивость. Хорошее восприятие социальной поддержки и сильная психологическая устойчивость положительно способствуют поддержанию более высокого качества жизни.

В частности, личная защитная способность (personal protection ability) и статус социальной изоляции (social isolation status) тесно связаны с качеством жизни пациенток.

В целом, их воспринимаемая социальная поддержка и психологическая устойчивость значительно опосредуют негативное влияние социальных факторов на качество жизни.

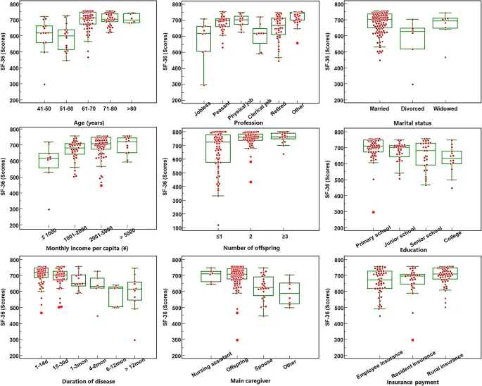
Кроме того, возраст пациентки и длительность заболевания также оказывают сильное влияние на качество жизни.

Социальная поддержка и психологическая устойчивость в контексте рака молочной железы

Наше исследование изучает современное состояние социальной поддержки, воспринимаемой социальной поддержки, психологической устойчивости и качества жизни среди пожилых пациенток с раком молочной железы. В отличие от сопутствующих исследований, фокусирующихся на пожилых людях, живущих одних, или на группах пациентов с другими специфическими заболеваниями, наши результаты выявляют существенные различия.

В данном исследовании средний балл по шкале SIS (46.17) указывает на умеренный уровень влияния социальной среды на пациенток. Однако средний балл по PSSS (73.22) отражает высокий уровень воспринимаемой социальной поддержки среди пожилых пациенток с раком молочной железы. Из трех измерений PSSS, поддержка от источников, отличных от семьи и друзей, имеет самый низкий балл, что предполагает, что пожилые пациентки могут не иметь адекватной воспринимаемой социальной поддержки за пределами круга семьи и друзей. Этот дефицит может быть обусловлен сужением их социального круга или менее частыми социальными взаимодействиями. В противоположность этому, пациентки с пожилым возрастом и раком молочной железы, как правило, получают повышенное гуманистическое внимание и поддержку от семьи и друзей из-за эмпатии, вызываемой их состоянием. Средний балл по BCRS (54.04) также находится на высоком уровне, указывая на то, что пожилые пациентки демонстрируют сильную адаптивность и устойчивость в преодолении стрессов и вызовов.

Средний общий балл по SF36 (745.5) находится на средне-высоком уровне, что предполагает, что пожилые пациентки в целом поддерживают относительно хорошее общее качество жизни, но еще есть возможности для улучшения.

Влияние демографических характеристик

Впоследствии, после установления того, что все девять исследуемых социодемографических характеристик значительно связаны с качеством жизни, мы включили их в анализ множественной корреляции для выявления ключевых областей для целенаправленных вмешательств. Наши результаты показывают, что возраст пациентки и длительность заболевания являются независимыми факторами, влияющими на их качество жизни.

При составлении планов лечения для пациенток с раком молочной железы возраст является одним из критических факторов, которые следует учитывать. Пожилые пациентки часто испытывают снижение физической и иммунной функции, что уменьшает их способность переносить интенсивные методы лечения, такие как химиотерапия или лучевая терапия. В результате клиницисты могут выбирать более консервативные подходы, что может привести к субоптимальному контролю заболевания и повышенной восприимчивости к нежелательным эффектам, таким как миелосупрессия и нейротоксичность. Эти проблемы могут ухудшить физическую функцию и негативно сказаться на качестве жизни.

Таким образом, возраст пациентки влияет как на выбор лечения, так и на качество жизни через его воздействие на переносимость лечения.

Что касается длительности заболевания, то она представляет собой критический фактор, который значительно влияет на физическую функцию и качество жизни пациенток. Исследования показали, что по мере увеличения продолжительности заболевания наблюдается прогрессивное снижение физической функции пациенток, наряду с соответствующим снижением их качества жизни. Поэтому ранняя диагностика и лечение имеют решающее значение для улучшения качества жизни пожилых пациенток с раком молочной железы.

Эти два социодемографических фактора станут ключевыми ориентирами в уходе за пациентками с раком молочной железы. Для пожилых пациенток с длительным течением заболевания рекомендуется поощрять более активное участие в социальной деятельности. Этот подход не только помогает предотвратить социальную изоляцию и уменьшить чувство одиночества, но также способствует более широкому социальному признанию и эмоциональной поддержке.

Личная защитная способность и социальная изоляция

В дополнение к вышеупомянутым двум демографическим характеристикам пациенток, наше исследование также выявило, что личная защитная способность пациенток и статус социальной изоляции являются независимыми факторами, влияющими на их качество жизни. Сила системы социальной поддержки положительно влияет на эмоции пациенток и их адаптацию к жизни, приводя к более стабильным эмоциям и более высокому качеству жизни, что имеет решающее значение для улучшения качества жизни пожилых пациенток с раком молочной железы.

Социальная изоляция представляет собой социальное состояние, при котором связи с семьей, друзьями и обществом ослаблены для пожилых пациенток с раком молочной железы. Исследования показали, что психологическое или физическое разобщение между пациентками и другими может привести к субъективным переживаниям отсутствия принадлежности или близости, и даже может повысить риск депрессии и тревожности.

Психологическая устойчивость (psychological resilience) относится к способности пациенток психологически восстанавливаться после стресса и невзгод, а личная защита (personal protection) относится к психологической защите, которую пациентки проявляют в ответ на длительный процесс заболевания, изменения в их личностных чертах или другие влияющие факторы. Исследования показали, что пациентки с раком молочной железы могут уменьшить свою чрезмерную самозащиту посредством позитивных психологических установок, поиска социальной поддержки или участия в реабилитационных мероприятиях, тем самым снижая свой психологический стресс. Таким образом, улучшение психологической устойчивости является эффективной стратегией для улучшения их качества жизни.

В целом, качество жизни пожилых пациенток с раком молочной железы может быть эффективно улучшено за счет усиленной поддержки со стороны первичных опекунов, ранней диагностики и своевременного вмешательства, прочной сети социальной поддержки и развития психологической устойчивости.

Корреляционный анализ

Многомерный анализ, проведенный в нашем исследовании, подтвердил значимые связи между общими и многомерными показателями SF36 с показателями измерения социальной изоляции по шкале SIS и измерения личной защиты по шкале BCRS, а также измерения семейной поддержки по шкале PSSS. В частности, баллы по социальной изоляции сильно коррелируют с общими баллами SF36 и каждым из его частных показателей; баллы по личной защите сильно коррелируют с показателями измерений "общее здоровье", "жизненная сила" и "психическое здоровье". Эти результаты предполагают, что влияние социальной поддержки на качество жизни пациенток с раком молочной железы является всеобъемлющим и обширным; кроме того, поддержание общего здоровья, психического здоровья и жизненной силы представляется критически важным для усиления их психологической устойчивости.

Кроме того, наше исследование также выявило значимую связь между баллами по семейной поддержке и общими баллами SF36, а также его частными показателями "социальная функция" и "психическое здоровье". В соответствии с предыдущими исследованиями, адекватная семейная поддержка эффективно смягчает негативные эмоции пациенток и усиливает их способность справляться с заболеванием. Семейная поддержка служит не только критическим гарантом психологического благополучия пациенток, но и фундаментальной опорой для повышения общего качества жизни.

Медиаторный эффект

В конечном итоге, анализ медиаторного эффекта подтвердил, что взаимодействие между воспринимаемой социальной поддержкой пациенток и их психологической устойчивостью продемонстрировало значимый медиаторный эффект. Наши результаты выявили прямое негативное влияние показателей SIS на показатели SF36 и PSSS, подчеркивая пагубное воздействие неблагоприятных социальных факторов (например, социальной изоляции, экономической дискриминации, внутреннего стыда и социальной изоляции) на качество жизни и воспринимаемую социальную поддержку.

Несмотря на незначительное влияние на качество жизни, обнаруженное в нашей медиаторной модели, воспринимаемая социальная поддержка демонстрирует значительное положительное влияние на психологическую устойчивость. Предыдущие исследования последовательно показывали, что психологическая устойчивость положительно способствует повышению качества жизни среди пожилых пациенток с раком молочной железы; в то же время, низкий уровень воспринимаемой социальной поддержки может усиливать недостаточную психологическую устойчивость, в конечном итоге приводя к дальнейшему снижению качества жизни. Таким образом, наша медиаторная модель подчеркивает критическую роль взаимодействия между воспринимаемой социальной поддержкой и психологической устойчивостью в улучшении качества жизни пожилых пациенток с раком молочной железы, предлагая осуществимый теоретический фундамент для дальнейшего клинического вмешательства и лечения.

Следовательно, укрепление социальной поддержки и улучшение восприятия социальной поддержки могут повысить их психологическую устойчивость, в конечном итоге приведя к улучшению их качества жизни.

Заключение

Наши результаты убедительно свидетельствуют о том, что взаимодействие между воспринимаемой социальной поддержкой и психологической устойчивостью у пожилых пациенток с раком молочной железы служит опосредующим фактором в негативной корреляции между социальной поддержкой и качеством жизни пациенток. Эти выводы дают ценные рекомендации для оптимизации клинической практики, сестринского ухода и психоонкологической поддержки пациенток с раком молочной железы.

Рекомендации для сестринского ухода

При последующем наблюдении медсестры должны оценивать понимание пациентками своего заболевания и лечения, а также любые меры самозащиты, которые они приняли, затем предоставлять персонализированные рекомендации по самообслуживанию и психологическое образование. В частности, помогать пациенткам распознавать и изменять иррациональные убеждения о "личной защите", чтобы способствовать более сбалансированным стратегиям преодоления трудностей, оценивать социальную поддержку и признаки изоляции — такие как проживание в одиночестве или избегание социального контакта — и вовлекать семью и друзей в уход и социальное взаимодействие. Медсестры также должны помогать пациенткам справляться с эмоциональными барьерами, такими как стыд или проблемы с образом тела, чтобы поддержать их социальную реинтеграцию.

Эти выводы подчеркивают важность пациентоориентированного, междисциплинарного подхода к уходу.

Ограничения исследования

Ограничения данного исследования: одноцентровое и маловыборочное исследование, а также этнические и региональные различия, в некоторой степени ограничивают возможность экстраполяции выводов. Тестовая мощность определенных показателей как в анализе корреляции Спирмена, так и в анализе линейной регрессии не достигла порога 0.9, что предполагает необходимость дальнейшей валидации выводов относительно их связи с SF36. Кроме того, предвзятость самоотчета и потенциальная предвзятость отбора не могут быть полностью исключены, что может привести к расхождениям при сравнении результатов с данными других исследований. Дополнительно, кросс-секционный дизайн исключает установление причинно-следственных связей.

Будущие исследования должны сосредоточиться на многоцентровых, крупномасштабных и лонгитюдных дизайнах для привлечения большего числа пожилых пациенток с раком молочной железы, чтобы подтвердить обобщаемость и надежность наших выводов. Более полное изучение факторов, влияющих на качество жизни в этой популяции, может способствовать разработке целенаправленных вмешательств, в конечном итоге улучшая исходы для пациентов.

Данные доступны

Наборы данных, использованные в ходе данного исследования, доступны у соответствующего автора по разумному запросу.

Финансирование

Данное исследование было финансово поддержано Федерацией социальных наук Мяньяна (номер одобрения: MY2023ZC058) и Ключевой исследовательской базой философии и социальных наук Цзыгуна (номер одобрения: YDJKY2336). Финансирующие организации не играли роли в дизайне исследования, сборе и анализе данных, принятии решения о публикации или подготовке рукописи.

Информация об авторах

Jihong Wei, Zhuoxin Yang и Xiaohong Chen внесли равный вклад в эту работу.

Авторы и аффилиации

  • Медицинский факультет, Центральная больница Мяньяна, Университет электронной науки и техники Китая, Мяньян, Китай: Jihong Wei, Xiaohong Chen, Lingyun Tan, Haiyan Hu, Xiaohong Zhang, Zhuowei Tang & Yuwei Yang
  • Отделение сестринского ухода, Народная больница Цзягэ, Гуанъюань, Китай: Jihong Wei
  • Отделение сестринского ухода, Больница традиционной китайской медицины Шаньси, Тайюань, Китай: Zhuoxin Yang

Вклад авторов

J.W. и Z.T. предложили концепцию и получили финансовую поддержку. J.W., Z.Y. и Y.Y. написали основной текст рукописи. L.T. и H.H. провели исследование. X.C., Z.Y. и X.Z. провели кураторство данных. Y.Y. нарисовал графики. Все авторы рецензировали рукопись. J.W., Z.Y. и X.C. внесли равный вклад в эту работу.

Соответствующие авторы

Корреспонденция с Zhuowei Tang или Yuwei Yang.

Декларации об этике

Конкурирующие интересы

Авторы заявляют об отсутствии конкурирующих интересов.

Этическая экспертиза

Данное кросс-секционное исследование проводилось в соответствии с принципами Хельсинкской декларации и руководящими принципами STROBE для обсервационных исследований, и было одобрено Этическим комитетом Центральной больницы Мяньяна (S2024022301). Все участники подписали информированное согласие.

Дополнительная информация

Примечание издателя: Springer Nature остается нейтральной в отношении территориальных претензий в опубликованных картах и институциональных принадлежностей.

Дополнительные материалы

Ниже приведена ссылка на электронный дополнительный материал.

Дополнительный материал 1

Права и разрешения

Открытый доступ
Данная статья распространяется по лицензии Creative Commons Attribution 4.0 International License, которая разрешает использование, распространение, адаптацию, передачу и воспроизведение на любом носителе или в любом формате, при условии, что вы должным образом указываете авторство и источник, предоставляете ссылку на лицензию Creative Commons и указываете, были ли внесены изменения. Изображения или другие материалы третьих лиц, включенные в данную статью, входят в лицензию Creative Commons данной статьи, если не указано иное в кредитной строке к материалу. Если материал не включен в лицензию Creative Commons данной статьи, и предполагаемое вами использование не разрешено законодательством или превышает допустимое использование, вам необходимо получить разрешение непосредственно у правообладателя. Чтобы просмотреть копию этой лицензии, посетите http://creativecommons.org/licenses/by/4.0/.

Перепечатка и разрешения

Об этой статье

Цитировать эту статью
Wei, J., Yang, Z., Chen, X. et al. Perceived support and psychological resilience as collaborative mediators between external support and quality of life in elderly breast cancer patients. Sci Rep 15, 39541 (2025). https://doi.org/10.1038/s4159802523246x

Скачать цитирование

Получено: 09 июня 2025 г. Принято: 06 октября 2025 г. Опубликовано: 11 ноября 2025 г. Версия записи: 11 ноября 2025 г.

DOI: https://doi.org/10.1038/s4159802523246x

Поделиться этой статьей

Любой, с кем вы поделитесь по следующей ссылке, сможет прочитать этот контент:

Получить ссылку для совместного использования. К сожалению, ссылка для совместного использования в настоящее время недоступна для этой статьи. Скопировать ссылку для совместного использования в буфер обмена.

Предоставлено инициативой Springer Nature SharedIt по обмену контентом.

Короткие версии статей можно найти в телеграм-канале.

Посмотреть канал
Кликните еще раз для перехода

Пластырь Омнипласт текстильный 5см х 5м телесный - купить

Омнипласт пластырь текстильный 5см х 5м телесного цвета предназначен для фиксации повязок и медицинс...

Авен Сан Крем SPF50+ антивозрастной 50 мл

Авен Сан Крем Антивозрастной SPF50+ в тубе 50 мл обеспечивает высокую степень защиты кожи от UVA и U...

Эубикор: пребиотик для восстановления микрофлоры кишечника

Эубикор — российская биодобавка с пребиотическим действием на основе ферментированных пшеничных отру...

Солгар Селен 100 мкг таблетки — купить в аптеке

Солгар Селен 100 мкг — органические таблетки для восполнения дефицита селена. Мощный антиоксидант за...

Цитовир-3 капсулы: профилактика и лечение гриппа, ОРВИ, COVI...

Цитовир-3 капсулы — эффективное средство для профилактики и лечения гриппа и ОРВИ у взрослых и детей...

Venoteks колготки компрессионные для беременных L бежевые

Компрессионные колготки Venoteks для беременных (размер L, бежевые) помогают снизить усталость ног, ...