
Интересное сегодня
Как негативная информация о художниках влияет на восприятие ...
Введение Сальвадор Дали, один из самых известных художников XX века, создал множество знаковых произ...
Динамическое влияние усилителей на паттерны поведения: за пр...
Введение в поведенческий анализПоведение является результатом взаимодействий между организмом и его ...
Как религиозность влияет на восприятие морали: стереотипы о ...
Введение Вера в сверхъестественных агентов, которые следят за соблюдением моральных норм, теоретичес...
Влияние дентофобии на здоровье зубов и качество жизни: компл...
Введение Распространенность стоматологической тревожности и дентофобии среди взрослых высока во всем...
Как преодолеть проблемы с матерью у мужчин: причины и решени...
Проблемы с матерью у мужчин (и как их решить) Проблемы с матерью у мужчин — это эмоциональные и пове...
Родительская гиперопека: Как распознать и преодолеть эмоцион...
Родительская гиперопека, или эмоциональная зависимость в семье, представляет собой дисфункциональную...
Роль задач в расовом кодировании лиц
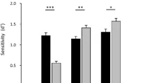
Люди точнее запоминают лица своей расовой группы по сравнению с лицами других расовых групп; этот феномен называется эффектом чужой расы. Многочисленные исследователи посвятили себя изучению причин этого эффекта и предложили несколько теоретических объяснений. Одним из интегрированных объяснений является модель категоризации-индивидуализации, которая описывает два основных способа обработки расовых лиц и подчеркивает их возникновение на этапе кодирования.
Методы исследования
Задачи обучения-узнавания и расовой категоризации являются двумя классическими задачами для изучения обработки расовых лиц. Связанные с событиями потенциалы (event-related potentials, ERP) позволяют исследовать различия в кодировании лиц собственной и чужой расы при этих двух типах задач.
Результаты исследования
Исследование показало, что требования задачи не только влияют на кодирование расовых лиц, но и оказывают более profoundное влияние на этапе кодирования задач узнавания для лиц чужой расы. В частности, лица собственной расы демонстрируют более глубокое структурное кодирование, чем лица чужой расы, с меньшим вовлечением внимания.
Нейрофизиологические корреляты
Были проанализированы следующие компоненты ERP:
- P1: ранний позитивный компонент, отражающий базовую обработку стимулов
- N170: негативный компонент, связанный со структурным кодированием лиц
- P2: позитивный компонент, связанный с ориентацией внимания
- P300: поздний компонент, отражающий когнитивную обработку
Практическое значение
Результаты предоставляют доказательства для выбора задач в будущих исследованиях расовых лиц и устанавливают основу для единой интерпретации расового кодирования лиц. Задачи узнавания могут требовать больше ресурсов внимания на ранних этапах, которые могут поддерживаться до относительно поздних стадий.