
Интересное сегодня
Влияние культурного капитала на выбор специальности у городс...
Введение Выбор специальности в колледже является критическим решением, которое значительно влияет на...
Как бороться с дезинформацией: стратегия обхода вместо опров...
Введение: новые подходы к борьбе с дезинформацией Снижение негативного воздействия дезинформации тр...
Психологическое благополучие и устойчивость выживших после з...
6 февраля 2023 года в Турции произошли разрушительные землетрясения, которые непосредственно затрону...
Шкала раздражения: новые нормы для оценки стресса на работе
Введение в шкалу раздражения Инструменты, оценивающие психологическое напряжение, связанное с работо...
Новая методика визуализации: D-PSCAN и ее значение для психи...
Введение Исследования показывают, что взаимодействие между мозгом и органами тела имеет важное значе...
Как усталость следователя влияет на результаты допроса: науч...
Влияние бодрствования и усталости на работу следователей: актиграфическое исследование полевых рассл...
Введение в благополучие животных в зоопарках
Благополучие нечеловекообразных животных, содержащихся в зоологических парках и аквариумах, стало активно обсуждаемой и изучаемой темой в последние десятилетия. Ассоциация зоопарков и аквариумов определяет благополучие как "совокупное физическое и психическое состояние животного или группы за определенный период времени, измеряемое по шкале от хорошего до плохого". Повышенное внимание к благополучию животных привело к расширению использования тренинга, направленного на добровольное участие в ежедневном уходе, также называемого кооперативным уходом или тренингом по содержанию.
Тренинг по содержанию животных
Тренинг по содержанию имеет многочисленные конструктивные применения в зоологических условиях и необходим для поддержания благополучия животных. Этот тренинг, обычно проводимый смотрителями, состоит из дискретных проб с использованием позитивного подкрепления для обучения животных участию в собственном routine уходе. Организация программ тренинга по содержанию может значительно варьироваться в зависимости от физических условий и involved видов.
Компоненты тренировочных сессий
Обычно сессии тренинга по содержанию включают:
- Смотрителя
- Бриджинговый стимул (мост)
- Подкрепление
- Обучающееся животное
- Необходимые инструменты для подсказок или формирования поведения
Поведения, включаемые в тренинг
Сессии могут включать различные поведения, такие как обучение животных:
- Перемещению между помещениями
- Стоянию на месте (станция)
- Входу в транспортный ящик
- Позиционированию на весах
- Добровольному участию в медицинских процедурах
Оценка предпочтений и подкреплений
Для максимизации эффективности тренинга по содержанию важно идентифицировать последствия, которые функционируют как подкрепления. Один из методов идентификации предпочитаемых предметов - парная стимульная оценка предпочтений (PSPA).
Методология PSPA
Разработанная для использования с людьми, эта методика состоит из систематического представления предметов парами и允许 участнику выбрать предмет, с последующим удалением невыбранного предмета. Процент выбора каждого предмета across всех презентаций используется для создания иерархии предпочитаемых предметов.
Применение PSPA с животными
Многочисленные PSPA были проведены с широким array нечеловеческих видов животных, многие в зоологических условиях, для оценки предпочтений across variety предметов, включая auditory, olfactory, food, social setting и физические устройства обогащения.
Валидация подкреплений
Оценки подкреплений могут использоваться для валидации результатов PSPA и измерения распределения усилий для каждого предмета. Эти оценки предоставляют means для оценки reinforcing efficacy предмета в разных scenarios или в comparison с другими предметами.
Типы оценок подкреплений
- Прогрессивные ratio оценки
- Конкурентные schedule оценки
Разработка методологии
Мы описываем модифицированную версию PSPA и предлагаем методологию для embedded валидации подкреплений для regular использования в зоологических условиях.
Краткая PSPA
Краткая PSPA была developed в interest облегчения более частой оценки предпочтений. Используя top три предмета, выбранных из более extensive initial PSPA, время, необходимое для проведения оценок, было сокращено.
Встроенная валидация подкреплений
Встроенная валидация подкреплений assessed эффективность предметов, идентифицированных через PSPA, измеряемая choices горилл участвовать в daily сессиях тренинга по содержанию.
Демонстрация исследования
Участниками были два взрослых самца западных равнинных горилл по имени Джино и Спайк, живущие в Disney's Animal Kingdom® во Флориде.
Материалы и измерения
Сбор данных оценки предпочтений required лист данных, ручку, предметы для оценки, ложку для измерения и пластиковые крышки для presentation пищевых предметов.
Процедуры
Перед началом PSPA каждый горилла имел至少 3 pretraining сессии с assigned смотрителем для обучения response выбора. Items evaluated в парных стимульных оценках предпочтений были все approved диетические предметы.
Результаты исследования
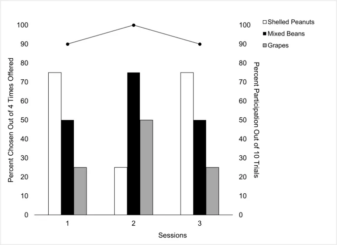
Результаты оценок предпочтений, проведенных с Джино и Спайком, consistent с предыдущими исследованиями, демонстрирующими, что PSPA могут использоваться для идентификации и дифференциации предпочитаемых предметов для животных в зоопарках.
Участие в валидации подкреплений
Участие горилл во встроенной валидации подкреплений было high. Для Джино участие во всех трех assessment сессиях было 90% и выше. Участие Спайка в поддерживающих поведениях во время assessment сессий увеличилось throughout оценку с 80 до 100%.
Общее обсуждение
Оценки предпочтений могут значительно способствовать благополучию животных путем идентификации эффективных потенциальных подкреплений для использования в тренинге по содержанию в условиях зоопарков и аквариумов.
Практические применения
Существует несколько практических применений этих процедур для зоопарков и аквариумов. Некоторые literature предполагают, что смотрители не adept в идентификации предпочтений животных under их care при comparison с systematic оценками.
Ограничения и будущие исследования
Существуют некоторые limitations этого исследования. Прохождение времени throughout каждой оценки могло affect историю подкрепления смотрителя с participants. Будущие исследования могли бы evaluate impact этого using component analysis.
Перспективы применения
Методологии, описанные здесь, имеют potential быть модифицированными для использования с variety таксонов в terrestrial и aquatic условиях. Практики должны adjust и test использование этих процедур across settings и таксонов по мере необходимости depending от поведения животных.