
Интересное сегодня
Как сенсомоторная адаптация выявляет систематические искажен...
ВведениеВопрос о существовании искажений в визуальном восприятии и их влиянии на действия, основанны...
Как положение близкого человека влияет на сердце: исследован...
Введение Общение с другими людьми осуществляется путем поддержания различных позиций и межличностных...
Как тревожность влияет на принятие решений: причины и способ...
Как тревожность влияет на принятие решений? Тревожные расстройства могут значительно нарушать процес...
Как научиться принимать комплименты
Как научиться принимать комплиментыКогда вышла моя новая книга «Отбрось мелочи: Делай то, что важно,...
Ожидаемое приращение информации в тестах остроты зрения и ко...
Введение в измерение информации Измерение служит краеугольным камнем научного метода и находит приме...
Кардинальные черты личности: что это и как они влияют на пов...
Что такое кардинальные черты личности? Кардинальные черты — это редкие, всеобъемлющие характеристики...
Введение
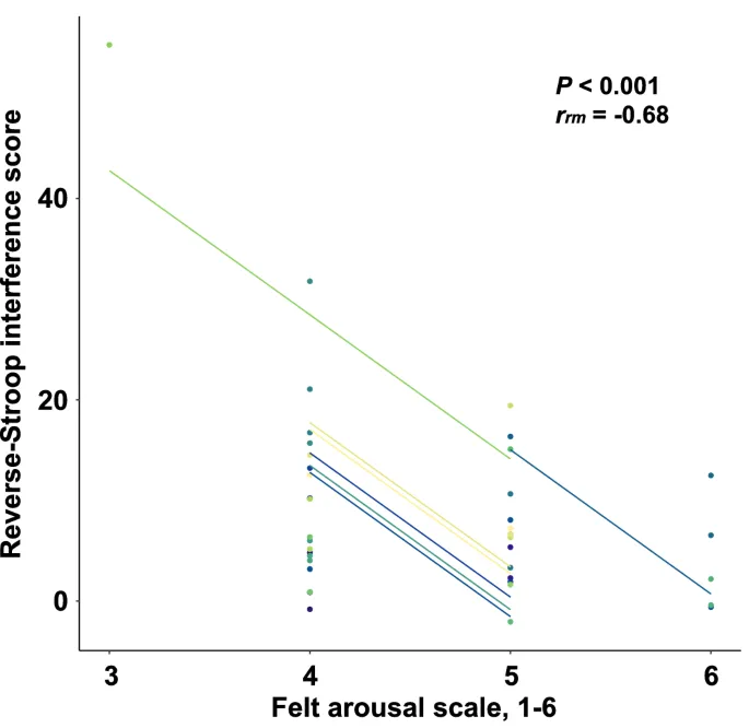
Скорость и точность принятия решений, относящиеся к доменам исполнительных функций (EF), являются важными факторами во многих видах спорта. В состоянии покоя продолжительная когнитивная нагрузка (pCL) ухудшает время реакции (RT). В противоположность этому, физические упражнения улучшают RT и EF. Мы предположили, что RT и EF во время упражнений будут снижены из-за продолжительного «двойного задачи» как следствия pCL.
Методы исследования
Для проверки гипотезы двадцать здоровых мужчин-участников выполнили четыре условия [контроль покоя (Rest), только pCL (pCLRest), только упражнения (EX) и pCL + упражнения (pCLEX)] в рандомизированном перекрестном дизайне. Оба условия упражнений использовали 50-минутный протокол велоупражнений (60% VO2 пик), а pCL достигалось с помощью 50-минутного цвето-словесного теста Струпа (CWST).
Результаты измерений
По сравнению с Rest, pCLRest вызвало замедление CWST RT и ухудшение настроения. Аналогично, по сравнению с EX, pCLEX вызвало замедление CWST RT и увеличение ментальной усталости и воспринимаемого усилия (RPE), несмотря на одинаковую мощность и частоту сердечных сокращений. Более того, pCL во время упражнений ухудшило EF (т.е. интерференцию), в то время как pCL в покое не оказало влияния.
Обсуждение
Наши данные демонстрируют, что продолжительная когнитивная нагрузка ухудшает когнитивно-перцептивные навыки даже во время аэробных упражнений. Это открытие предполагает, что когнитивная усталость, вызванная dual tasking, может негативно влиять на спортивные результаты.
Практическое значение
Результаты имеют значение для оптимизации тренировочных программ и понимания механизмов усталости в спортивных соревнованиях. Также поднимаются вопросы о балансе между когнитивной и физической нагрузкой во время тренировок.
Заключение
50-минутная когнитивная задача ухудшила RT не только в покое, но и во время умеренных аэробных упражнений. Кроме того, EF во время аэробных упражнений снижалась при непрерывном выполнении когнитивной задачи. Эти findings предоставляют эмпирические доказательства того, что когнитивная усталость появляется даже во время аэробных упражнений и ухудшает когнитивно-перцептивные навыки.