Что делает женскую походку привлекательной: анализ кинематики и моделирование

Что делает женскую походку привлекательной: анализ кинематики и моделирование

Интересное сегодня

Как реконструкция уха влияет на психологическое здоровье дет...

Введение Микротия — врожденная аномалия, характеризующаяся недоразвитием ушной раковины, встречается...

Причины и лечение устойчивой к терапии депрессии

Введение В 2019 и 2020 годах я погрузился в наихудшую депрессию, которую когда-либо испытывал. Я име...

Как экранное время влияет на психическое здоровье подростков...

Влияние экранного времени на психическое здоровье подростков С появлением смартфонов и социальных се...

Multimorbidity of Mental Health and Substance Use Disorders ...

Введение Множество исследований показали, что психические расстройства (ПР) и расстройства, связанны...

Как математики решают проблемы: Пошаговый подход для преодол...

Когда мы переживаем или беспокоимся, это часто связано с необходимостью решить сложную проблему. Мат...

Название инструмента AMSE для диагностики расстройства аутис...

Введение Расстройство аутистического спектра (РАС) — это распространённое нейроразвивающее заболеван...

Рисунок 1
Рисунок 1
Рисунок 2
Рисунок 2
Рисунок 3
Рисунок 3
Рисунок 4
Рисунок 4
Рисунок 5
Рисунок 5
Рисунок 6
Рисунок 6
Thumbnail 1
Thumbnail 2
Thumbnail 3
Thumbnail 4
Thumbnail 5
Thumbnail 6
Thumbnail 7
Thumbnail 8
Thumbnail 9
Оригинал исследования на сайте автора

Введение в исследование привлекательности походки

В нашей социальной жизни привлекательность движений тела играет важнейшую роль в межличностном познании. Кинематика походки опосредует привлекательность человека, который идет. Несколько исследований в области эволюционной психологии и зоологии сообщили, что стандарты красоты животных, включая людей, связаны с психологическими процессами, которые обнаруживают особенности, связанные со здоровьем.

Факторы телесной привлекательности

Что касается привлекательности женщин, изгиб поясницы, который связан с репродуктивной функцией, и соотношение талии и бедер (WHR - Waist-to-Hip Ratio), которое важно для гендерной дискриминации, были названы важными факторами телесной привлекательности. В противоположность этому, в социокультурных контекстах общество формирует не только наши личности и поведение, но и нашу физическую внешность, что породило элементы физической привлекательности, противоречащие здоровью индивидуума.

Социокультурное влияние на восприятие

Например, средства массовой информации оказывают общественное давление в сторону недостаточного веса как иконы красоты или воплощения норм гендерных ролей для девушек. В соответствии с этим, женщины с более низким индексом массы тела (ИМТ - индекс массы тела) и массой жира, чем физиологически здоровый диапазон, считаются относительно более привлекательными. Кроме того, хотя ношение высоких каблуков рискованно для ортопедического здоровья, многие женщины носят их, чтобы повысить свою привлекательность.

Таким образом, различные и частично противоречивые факторы влияют на наше восприятие привлекательности.

Кинематические характеристики человеческой походки

Кинематические характеристики человеческой походки влияют на оценку межличностной привлекательности и личных впечатлений, характера и эмоций. В нашем предыдущем исследовании мы изучили динамику походки с точки зрения выраженной, а не воспринимаемой привлекательности, и обнаружили, что биомеханическая стратегия женщин для привлекательности их индивидуальной походки включала демонстрацию женственности, фертильности и молодости.

Биомеханические стратегии

Биомеханическая стратегия для выражения привлекательности походки включала:

  • Замах рук назад
  • Поясничный изгиб, создающий женственный силуэт с акцентом на грудь
  • Силуэт головы, установленный наклоном вперед и горизонтальным покачиванием
  • Разгибание колена в фазе отталкивания, связанное со здоровьем идущего

Методология исследования

Все процедуры исследования проводились в соответствии с Хельсинкской декларацией и были одобрены этическим комитетом Университета Нагоя. Все участники предоставили письменное информированное согласие на участие и на публикацию деталей случая.

Создание анимации походки

Мы набрали семь профессиональных моделей подиума и 10 немоделей. Участники ходили на беговой дорожке на высоких каблуках или босиком со скоростью 1.0 м/с. Мы использовали трехмерную оптическую систему захвата движения, состоящую из 12 инфракрасных камер с частотой дискретизации 100 Гц, чтобы получить позиции следующих характерных точек тела каждого участника.

Оценка впечатлений

Тридцать женщин и 30 мужчин участвовали в оценке привлекательности и женственности походки. Участники просматривали 30-секундные анимации ходьбы, представленные на стандартном компьютерном мониторе. В течение 30 секунд после остановки каждой анимации участники оценивали привлекательность и женственность по 7-балльной шкале Лайкерта.

Корреляционный анализ параметров походки

Чтобы получить переменные, объясняющие оценки привлекательности и женственности, мы проанализировали корреляции между каждой оценкой и телосложением идущего, силуэтом походки и факторами здоровья в условиях ходьбы босиком и на высоких каблуках.

Факторы телосложения

Среди роста, веса, ИМТ и WHR, составляющих факторы телосложения, только ИМТ коррелировал с обеими оценками A и F для обоих условий обуви, что указывает на то, что чем ниже ИМТ, тем более привлекательной и женственной считается походка.

Элементы силуэта

Элементы силуэта состояли из силуэта туловища (SilhouetteT), который включал поясничный изгиб и замах верхней части руки назад, и силуэта головы (SilhouetteH), который включал наклон головы вперед и горизонтальное покачивание.

Факторы здоровья

Учитывая выводы предыдущих исследований о том, что стандарт красоты животных связан с психологическими процессами обнаружения особенностей, связанных со здоровьем, параметры походки, связанные со здоровьем и старением идущих, могут быть связаны с привлекательностью походки.

Моделирование структурными уравнениями (SEM)

Чтобы построить модель, объясняющую привлекательность и женственность женской походки, мы выполнили SEM, включив в качестве переменных-предикторов телосложение и параметры походки, которые коррелировали с оценкой A или оценкой F.

В отличие от моделей линейной регрессии, которые предполагают, что переменные-предикторы фиксированы или измерены без ошибки, SEM может комбинировать измерительные модели со структурными моделями в одну всеобъемлющую модель.

Оценка соответствия модели

Оценка соответствия модели выполнялась с использованием статистики критерия хи-квадрат и общих индексов соответствия модели, предоставляемых программным обеспечением SPSS Amos. Мы также оценили соответствие модели согласно четырем популярным индексам соответствия: индексу соответствия (GFI), скорректированному индексу соответствия (AGFI), сравнительному индексу соответствия (CFI) и среднеквадратической ошибке аппроксимации (RMSEA).

Результаты исследования

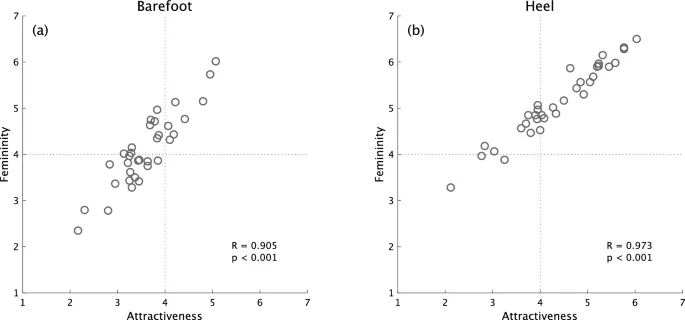
Наш анализ выявил корреляции между поясничным изгибом и углом отталкивания и оценками A и F, но только в условии ходьбы босиком. Мы обнаружили сильную положительную корреляцию между оценками привлекательности и женственности.

Построенные модели

Мы создали две модели для объяснения оценок A и F для условия босиком: одна состояла из обоих факторов силуэта (Модель B1), а другая - из факторов телосложения, силуэта туловища и здоровья (Модель B2). Аналогично, мы нашли две модели для условия высоких каблуков.

Обсуждение результатов

Результаты предполагают, что норма привлекательности и женственности походки женщин может состоять по крайней мере из четырех факторов: телосложение, силуэт туловища, силуэт головы и факторы здоровья. Ни одна из наших построенных моделей не имела достаточно малых значений хи-квадрат, чтобы p-значения превышали 0.05, возможно, из-за большого размера выборки.

Ограничения исследования

Данное исследование имеет три основных ограничения. Во-первых, рост и возраст идущих значительно различались между группами, что потенциально поляризовало данные. Во-вторых, наши данные были получены от японских участников; таким образом, результаты, вероятно, смещены в сторону японской культуры. В-третьих, наши суждения о привлекательности человека, когда он идет, influenced not only by their body movements but also by the context, situation, environment, and their clothing.

Заключение и практическое значение

Через это исследование мы построили модели, которые связывают кинематику походки идущего и восприятие привлекательности наблюдателем. Результаты предложили две модели, лежащие в основе привлекательности походки как при ходьбе босиком, так и на высоких каблуках: одна состоит из факторов силуэта туловища и головы, а другая - из факторов телосложения, силуэта туловища и связанных со здоровьем факторов походки.

Эти модели прояснили кинематику походки и факторы телосложения, которые приводят к привлекательности и женственности походки.

Практическое применение

Поскольку прогнозирование целевой переменной из моделей на основе SEM возможно, эти параметры могут быть использованы для прогнозирования значений привлекательности и женственности походки. Результаты исследования углубили наше понимание механизмов, лежащих в основе невербального межличностного познания через физическое движение.

Кроме того, текущее расширение бизнеса и образования на Metaverse, как ожидается, увеличит спрос на алгоритмы, которые искусственно генерируют биологические движения, влияющие на межличностные впечатления и facilitating interpersonal communication. Результаты этого исследования могут способствовать развитию таких отраслей через возможность генерации привлекательных движений походки.

Короткие версии статей можно найти в телеграм-канале.

Посмотреть канал
Кликните еще раз для перехода

Клоран Шампунь с маслом манго 400 мл – питание и блеск

Клоран Шампунь с маслом манго 400 мл питает и восстанавливает сухие волосы, придавая им мягкость и ш...

Цикловита: витаминно-минеральный комплекс для женщин

Цикловита — витаминно-минеральный комплекс для женщин репродуктивного возраста. Содержит витамины A,...

Назол спрей 0,025 мг/доза: средство от заложенности носа

Назальный спрей Назол 0,025 мг/доза — эффективное средство для быстрого снятия заложенности носа при...

Кето Плюс шампунь 150 мл – лечение перхоти и себореи

Кето Плюс шампунь 150 мл — эффективное средство для лечения и профилактики перхоти, себорейного дерм...

Детская зубная щетка SPLAT с серебром 2–8 лет

Детская зубная щетка SPLAT с ионами серебра для детей 2–8 лет обеспечивает бережную и эффективную чи...

Минеральная вода Боржоми 500 мл — купить для лечения и профи...

Минеральная вода Боржоми в пластиковой бутылке 500 мл — идеальный выбор для поддержания здоровья. На...