
Интересное сегодня
Особые выражения лица родителей при общении с младенцами и с...
Введение При взаимодействии с младенцами взрослые адаптируют свой стиль общения к потребностям и спо...
Добровольное целибатство: статистика, причины и удовлетворён...
Сколько мужчин и женщин выбирают целибат? В прошлом году Kinsey Institute (Институт Кинси) провёл на...
Что такое размер эффекта и как его интерпретировать в исслед...
Что такое размер эффекта? Размер эффекта — это количественная мера величины экспериментального эффек...
Почему люди любят собак: генетика и психология отношений
Особые отношения человека и собаки Для большинства людей собаки занимают особое место по сравнению с...
Ограниченные способности детей в использовании инструментов ...
Введение Дети могут обладать всеми необходимыми моторными навыками для завязывания шн...
Что такое нигилизм: виды, влияние и как ему противостоять
Что такое нигилизм? Термин «нигилизм» происходит от латинского слова nihil, означающего «ничто» или ...
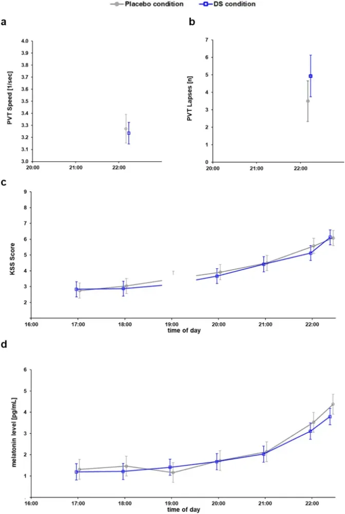
Влияние освещения в кабине на бодрость водителей
Сонливость за рулём негативно влияет на безопасность дорожного движения, особенно среди водителей грузовиков. Данное исследование изучило эффективность системы дополнительного освещения в кабине (DS), которая обеспечивает обогащённый коротковолновым светом свет до, во время и после вождения.
Методы исследования
В исследовании приняли участие восемь водителей грузовиков, которые управляли полностью загруженным транспортным средством в зимних условиях Скандинавии (низкий уровень естественного освещения). Водители использовали либо систему DS, либо плацебо-систему в течение пяти дней. Субъективные и объективные показатели бодрости фиксировались несколько раз в день, а уровень мелатонина вечером измерялся трижды в каждом условии исследования.
Результаты
Система DS значительно увеличила дневное световое воздействие без негативных побочных эффектов во время вождения. Кроме того, не было обнаружено негативного влияния на уровень мелатонина вечером, сонливость или качество ночного сна. Объективная бодрость (измеряемая с помощью психомоторного теста бдительности) до и после вождения значительно улучшилась благодаря воздействию яркого света. Этот эффект сопровождался улучшением субъективной бодрости утром.
Выводы
Это полевое исследование показало, что система DS способна увеличить дневное световое воздействие в условиях низкой освещённости и улучшить бодрость водителей грузовиков до и после вождения (например, во время перерывов). Дальнейшие исследования необходимы для изучения влияния дополнительного освещения в кабине на производительность вождения и показатели безопасности дорожного движения.
Подробнее о системе DS
Система DS состоит из светодиодных ламп, установленных на потолке кабины над местом водителя. Она обеспечивает обогащённый коротковолновым светом свет во время перерывов утром и днём (режим DS++), а также динамически дополняет естественный свет во время вождения (режим DS+).
Технические характеристики
- Средняя освещённость на уровне глаз: 550 люкс в режиме DS++ и 400 люкс в режиме DS+.
- Максимальная яркость: 22 680 кд/м².
- Цветовая температура: 2766 Кельвинов.
Эффективность системы DS
Водители, участвовавшие в исследовании, оценили систему DS как более приятную и активирующую по сравнению с плацебо-системой. Кроме того, они отметили улучшение самочувствия и рекомендовали систему другим водителям.
Отсутствие негативных эффектов
Важно отметить, что система DS не вызвала негативных визуальных эффектов (например, бликов или раздражения глаз) во время вождения. Также не было обнаружено негативного влияния на уровень мелатонина вечером или качество сна.
Заключение
Дополнительное освещение в кабине грузовика может стать эффективным способом повышения бодрости водителей в условиях низкой освещённости, таких как арктическая зима. Это особенно важно для безопасности дорожного движения и предотвращения аварий, вызванных сонливостью.