
Интересное сегодня
Исследование значительных изменений в факторах Большой пятер...
ВведениеИсследование анализирует, как нарушения памяти и стресс, связанный с жизнью, влияют на измен...
Как серотонин в мозжечке влияет на тревожность: Новые исслед...
Новые исследования раскрывают, что серотонин в мозжечке играет важную роль в регуляции тревожности. ...
Как практика меняет подготовку к задачам: анализ времени реа...
Динамика процессов подготовки к задачам, выявленная с помощью анализа эффектов на времени реакции и ...
Как птицы реагируют на тревожные сигналы других видов: иссле...
Роль социальной информации в поведении птицСоциальная информация играет ключевую роль в принятии реш...
Как медитация осознанности меняет структуру мозга: исследова...
Влияние медитации осознанности на структуру мозгаИсследование, проведённое Бриттой Хёльцель и её кол...
Стратегии проактивного поведения в условиях социально-статус...
Введение в проактивное поведение и социальное разнообразие Проактивное поведение, определяемое как н...
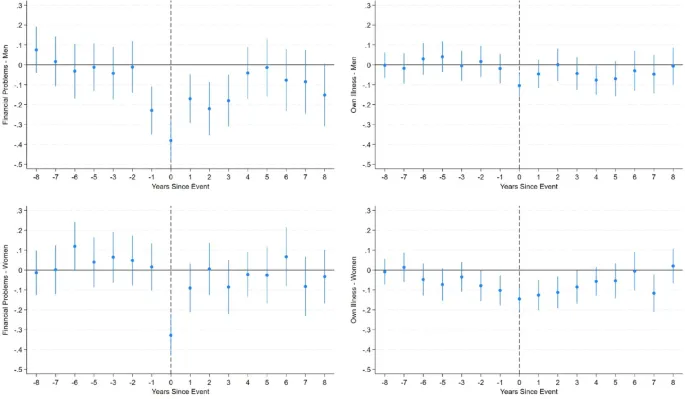
Влияние жизненных событий на локус контроля
Локус контроля (ЛК) — психологическая черта, отражающая убеждённость человека в том, что события его жизни зависят от его действий (интернальный ЛК) или внешних обстоятельств (экстернальный ЛК). Это исследование, основанное на 19-летних данных австралийского опроса HILDA (Household, Income and Labour Dynamics in Australia), демонстрирует, что ЛК у взрослых меняется под влиянием негативных событий, таких как:
- Серьёзные финансовые проблемы
- Тяжёлые заболевания или травмы
- Смерть близких
- Стать жертвой преступления
Ключевые выводы
Участники, столкнувшиеся с финансовыми трудностями или болезнями, становились в среднем на 0.1–0.3 стандартных отклонения более экстернальными. Эффект сохранялся до 4+ лет. Например:
«Мужчины, пережившие финансовый кризис, оставались более экстернальными даже через 8 лет»
Методы и данные
Исследование использовало фиксированные эффекты и event-study анализ для оценки изменений ЛК. Данные включали:
- 6 волн измерений ЛК (2003–2019)
- 11 негативных событий
- Контроль возраста, региона и других переменных
Проблема эндогенности
Традиционно экономисты рассматривали ЛК как неизменный фактор. Однако результаты показывают, что это приводит к искажённым выводам. Например, при анализе влияния ЛК на адаптацию к стрессу:
Важно: Использование среднего значения ЛК (для уменьшения ошибки измерений) давало иные результаты, чем измерение до или после события.Практические последствия
Изменения ЛК имеют значение для:
- Программ психологической поддержки
- Оценки устойчивости к кризисам
- Моделей экономического поведения
Ограничения
Исследование не учитывало тяжесть событий и индивидуальные различия в устойчивости. Также невозможно полностью исключить влияние сопутствующих факторов.