
Интересное сегодня
Моральный гнев и его влияние на онлайн-активизм: что работае...
Введение Исследование, проведенное командой ученых под руководством доктора Стефана Лича из Ланкасте...
Как психологическое благополучие влияет на память в среднем ...
Новое 16-летнее исследование более 10,000 взрослых показывает, что высокий уровень психологического ...
Исследование переносимости, безопасности и слепого метода в ...
Введение Транскраниальная электрическая стимуляция (тЭС) быстро становится перспективным нейронаучн...
Рефлексивность в качественных исследованиях: как повысить до...
Что такое рефлексивность в качественных исследованиях Рефлексивность — это методологический инструме...
Социализация эмоций: как культура и воспитание формируют эмо...
Введение в социализацию эмоций Способность понимать и регулировать свои эмоции является неотъемлемой...
Как распознать и противостоять газлайтингу: основные фразы и...
Газлайтинг – одна из самых разрушительных форм эмоциональной манипуляции. Он может оставить вас в за...
Введение в методологию исследования
В современной психолингвистике наблюдается два противоречащих друг другу тренда. С одной стороны, растет осознание нетривиальных различий между языками (Эванс и Левинсон, 2009), что требует изучения разнообразных языков вместо фокусировки на индоевропейских языках, доминирующих в литературе (Колларт, 2024; Кидд и Гарсия, 2022). С другой стороны, развиваются технически продвинутые методы измерения языковой обработки, менее подверженные металингвистическим задачам, такие как электроэнцефалография (ЭЭГ) (Гримальди и др., 2023) и трекинг глаз (Рейниш и Миттерер, 2022).
Проблема совмещения целей
Обе цели важны, но их одновременное достижение затруднено, поскольку большинство лабораторий с дорогостоящим оборудованием расположены в среде носителей индоевропейских языков. Хотя найти носителей других языков возможно, их обычно недостаточно для соблюдения требований к размеру выборки в психолингвистических экспериментах (Брисбэрт и Стивенс, 2018).
Разработка веб-парадигмы
Данное исследование проверяет, может ли парадигма трекинга мыши, ранее использовавшаяся для изучения просодической обработки (Миттерер и др., 2024), применяться для исследования ранних этапов распознавания устной речи и семантического прогнозирования. Ключевым аспектом является веб-реализация эксперимента, позволяющая исследовать языки без необходимости физического перемещения исследователей.
Сравнение с трекингом глаз
Трекинг мыши давно рассматривается как альтернатива трекингу глаз в исследованиях языка (Спайви и др., 2005). Спайви и др. argued, что трекинг мыши представляет интерес как сходящийся метод, поскольку движения глаз tend to be ballistic, а движения руки/конечности continuously adjusted to the task goals.
Технические challenges
Лабораторный трекинг мыши часто relies on making changes to the cursor speed (Шеман и др., 2021), что невозможно в веб-среде из-за ограничений JavaScript. Кроме того, поддержание вовлеченности участников в веб-эксперименте остается сложной задачей.
Игровая парадигма Galaga
Миттерер и др. (2024) разработали задачу на основе компьютерной игры Galaga, где участники управляют космическим кораблем, двигающимся по горизонтали в нижней части экрана, в то время как объекты падают сверху. Это геймифицированный подход следует идее увеличения вовлеченности в веб-исследованиях (Хартсхорн и др., 2019).
Методология исследования
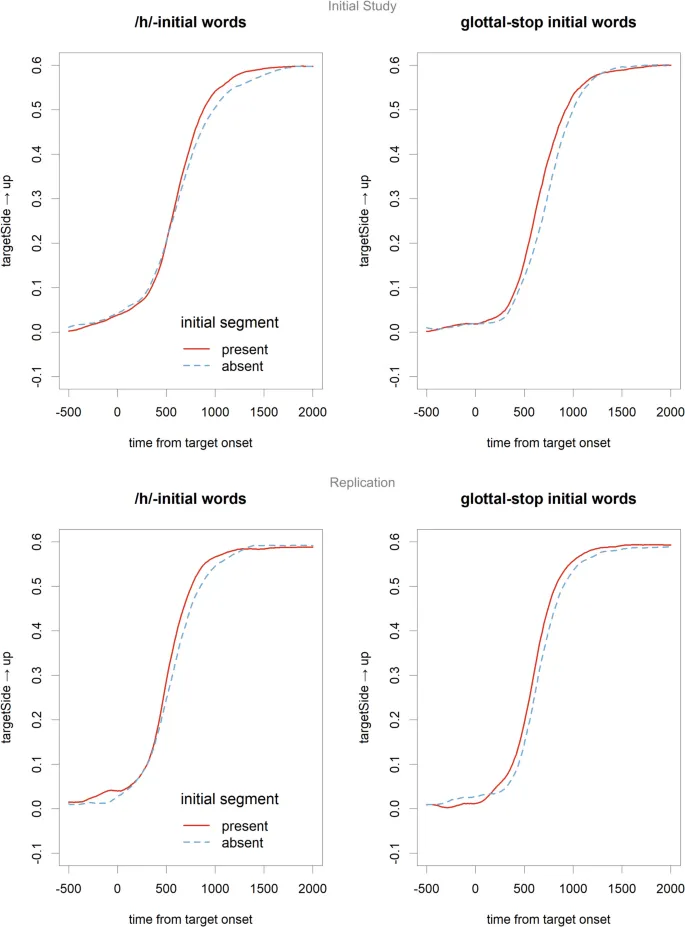
В исследовании участвовали два набора по 40 участников - носителей немецкого языка из Германии. Стимулы были взяты из исследования Миттерера и Рейниша (2015), включая слова с начальными /h/ и гортанной смычкой.
Процедура эксперимента
Эксперимент состоял из трех основных routines:
- Стартовая routine: объекты и космический корабль в начальных позициях
- Анимационная routine: объекты падают с горизонтальным движением
- Фидбэк routine: отображение результата захвата объекта
Результаты исследования
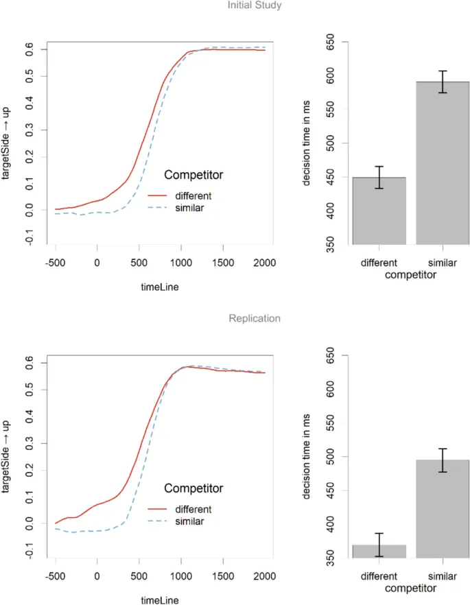
Результаты показали, что парадигма трекинга мыши эффективна для изучения широкого спектра вопросов психолингвистики. Общая точность выполнения задачи составила 92-93%, что свидетельствует о высокой вовлеченности участников.
Эффекты аппаратного обеспечения
Исследование не выявило значительных различий между использованием внешней мыши и тачпада, что делает метод доступным для широкого круга участников.
Временные характеристики
Время принятия решений составило около 480-568 мс, что несколько медленнее, чем в классических исследованиях трекинга глаз, но вполне приемлемо для веб-методики.
Обсуждение результатов
Парадигма демонстрирует потенциал для преодоления географических ограничений в психолингвистических исследованиях. Веб-трекинг мыши может complement веб-трекинг глаз, особенно когда пул участников ограничен или когда требуется большая точность пространственного позиционирования.
Перспективы применения
Методология открывает возможности для изучения меньшинственных языков и культурно специфических языковых явлений. Геймифицированный характер задачи делает ее подходящей для кросс-культурных исследований, поскольку игры на ловлю широко распространены в разных культурах (Ховард, 1958).
Ключевой вывод: Веб-трекинг мыши представляет собой перспективный метод для расширения лингвистического разнообразия в психолингвистических исследованиях, сочетающий техническую доступность с научной валидностью.