
Интересное сегодня
Как дети и взрослые смотрят на картинки: различия в зрительн...
Введение в исследование зрительного внимания Для обработки визуальной информации с высоким разрешени...
Что такое нигилизм: виды, влияние и как ему противостоять
Что такое нигилизм? Термин «нигилизм» происходит от латинского слова nihil, означающего «ничто» или ...
Как языковые модели искажают результаты тестов личности
Введение Языковые модели (ЯМ), такие как GPT-4, могут быстро распознать, когда им задают тест личнос...
Как упрощение жизни может улучшить ваше эмоциональное благоп...
Введение Упрощение — это не просто наведение порядка; это возвращение своей жизни и создание простра...
Как управлять эмоциональной дисрегуляцией при СДВГ: 10 эффек...
Что такое эмоциональная дисрегуляция при СДВГ Эмоциональная дисрегуляция — распространённая проблема...
Как порядок получения информации влияет на готовность к физи...
Введение Мотивация часто характеризуется как компромисс между затратами и выгодами, когда люди решаю...
Введение в проблему дислексии
Развивающаяся дислексия (Developmental Dyslexia, DD) представляет собой нарушение способности к приобретению эффективных навыков чтения при нормальном интеллекте и адекватном образовании. Согласно диагностическому руководству DSM-5, для этого расстройства характерны трудности с точным и/или беглым распознаванием слов и декодированием, а не с пониманием прочитанного. Наиболее распространенным, а иногда и единственным признаваемым причинным дефицитом при DD является фонологический дефицит. Однако исследования зрительно-внимательной (visual-attentional, VA) обработки информации при чтении показали, что VA-дефициты могут присутствовать у лиц с DD, иногда в отсутствие фонологических нарушений. Они характеризуются трудностями в зрительном поиске символов, обработке нескольких алфавитных или неалфавитных символов в течение одной фиксации взора (VA span), и/или фокусировке на пространственных отношениях между иерархическими символами для глобальной VA-обработки в противовес обработке на локальном уровне.
Роль верхней теменной доли в чтении
В то время как фонологические дефициты затрагивают верхнюю височную область, надкраевую извилину и нижнюю лобную извилину левого полушария, верхняя теменная доля (Superior Parietal Lobule, SPL) appears to be ключевой областью для одновременной зрительной обработки множественных символов. Действительно, SPL bilateral активируется у хороших читателей, когда необходимо одновременно обработать несколько символов, но не во время обработки одиночного символа. У дислексиков SPL недостаточно активирована в обоих полушариях, когда требуется одновременная обработка нескольких символов. Нейровизуализационное исследование, сравнивавшее двух взрослых с дислексией, одного с фонологическим дефицитом, но сохранным VA span для букв, и другого с reduced VA span, но хорошими фонологическими навыками, показало, что взрослый с фонологическим дефицитом демонстрировал типичную активацию SPL в задаче на множественные символы, но сниженную активацию языковых областей левого полушария в фонологической задаче. Напротив, взрослый с reduced VA span показал типичную активацию левых нижних лобно-височно-теменных областей во время фонологической задачи, но сниженную активацию SPL during the multiple symbols task. Этот набор нейровизуализационных исследований свидетельствует о dysfunction SPL у людей с reduced VA span, что может быть причиной их DD.
Связь зрительного поиска и дислексии
Неспособность обрабатывать множество букв одновременно может препятствовать восприятию целых слов и их идентификации через прямое лексическое возбуждение. Эта неудача может заставить читателя использовать в основном аналитическое grapheme-to-phoneme преобразование, которое склонно к ошибкам декодирования в языках с непрозрачной орфографией и множеством нерегулярных слов, таких как английский или французский. Кроме того, при такой медленной последовательной процедуре чтения предотвращение неправильной идентификации регулярных слов может быть достигнуто только за счет значительного увеличения времени чтения (компромисс между скоростью и точностью). Можно предположить, что тренировка, направленная на улучшение одновременной зрительной обработки символов, будет способствовать правильному декодированию слов без влияния на скорость чтения.
Методология исследования
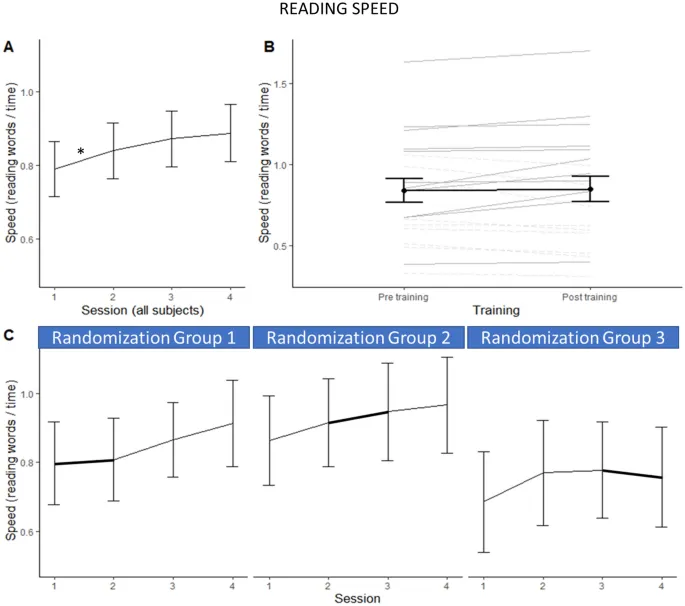
В исследовании приняли участие 20 французских детей в возрасте от 8 до 12 лет с диагнозом дислексия без сопутствующих заболеваний. Общий процедура заключалась в том, что каждый ребенок ежемесячно в течение 3 месяцев читал вслух один из четырех специально подобранных бессмысленных текстов (DeltaText), эквивалентных по сложности. Программа тренировки зрительного поиска символов VisioCogLetters вводилась псевдослучайным образом в течение одного из трех месяцев исследования.
Программа тренировки VisioCogLetters
Тренировка VisioCogLetters заключалась в поиске целевой буквы среди четырех различных типов зрительных отвлекающих стимулов. Цель случайным образом появлялась на разном удалении от центра. Отвлекающие стимулы (буквы или не-буквенные символы) были подобраны так, чтобы быть визуально максимально похожими на целевую букву, то есть состоять из тех же или схожих separable features (отделимых признаков). Каждый ребенок должен был выполнять упражнения по 10 минут в день в течение 4 недель. Упражнения имели 4 уровня сложности, от поиска среди одинаковых символов до поиска среди разных букв.
Результаты исследования
Скорость и точность чтения не различались между текстами, что подтвердило их эквивалентность для выявления эффекта тренировки. При объединении всех групп детей анализ показал отсутствие основного эффекта сессии на точность чтения, но скорость чтения увеличивалась от сессии к сессии, что отражало неспецифический эффект тестирования-ретестирования на скорость, но не на точность. Что важно, точность чтения значимо увеличилась именно в сессии, следующей за месяцем тренировки, по сравнению с контрольными сессиями. Это улучшение не сопровождалось компромиссом скорость-точность. Более того, процент улучшения коррелировал с индивидуальным временем, которое ребенок провел за тренировкой дома.
Обсуждение результатов
Программа тренировки VisioCogLetters была разработана на основе совокупных данных о том, что VA-способность к одновременной обработке символов зависит от SPL. Наблюдаемое улучшение точности чтения вслух после месяца тренировки, проводимой дома автономно, подтверждает гипотезу о положительном переносе навыка. Мы предполагаем, что тренировка зрительного поиска символов улучшила показатели чтения за счет стимуляции основанных на SPL процессов зрительно-пространственного внимания, лежащих в основе идентификации печатных букв и декодирования слов.
Перспективы и ограничения
Ограничением исследования является то, что участники были отобраны с диагнозом DD независимо от типа и пропорции фонологических и VA дефицитов, что ограничивает обобщение наблюдаемой пользы на всю популяцию дислексиков. В будущих исследованиях следует протестировать отдельные группы с однородным профилем трудностей. Несмотря на ограничения, это исследование представляет собой первое evidence улучшения точности чтения с помощью тренировки зрительного поиска букв и открывает многообещающие перспективы для реабилитации и, возможно, профилактики нарушений чтения.
Тренировка зрительного поиска с использованием символов может улучшить производительность чтения за счет стимуляции верхней теменной доли, что открывает новые avenue для будущих инструментов реабилитации.