
Интересное сегодня
Правда о личностных тестах: научная достоверность, вред ярлы...
Что такое личностные тесты? Личностный тест — это инструмент, предназначенный для получения ответов,...
Связь одиночества с риском потери слуха
Новое исследование о потере слуха и одиночестве Недавнее исследование, проведенное с участием почти ...
Почему возрастает число инцеллов: личные качества и романтич...
Введение В последнее время наблюдается увеличение числа людей, которые не могут найти романтического...
Влияние виртуальных пространств на психическое здоровье: при...
Виртуальные пространства и психическое здоровье Виртуальные места, такие как социальные сети, видеои...
Классическое обусловливание, IAT, IRAP и FAST: сравнение мет...
Введение в методы оценки поведенческих функций Фундаментальный вопрос психологической науки касается...
Как птицы реагируют на тревожные сигналы других видов: иссле...
Роль социальной информации в поведении птицСоциальная информация играет ключевую роль в принятии реш...
Введение в проблему принятия решений
Люди склонны считать себя рациональными существами, способными взвешенно анализировать последствия доступных вариантов, оценивать вероятности и выбирать оптимальный вариант, максимизирующий выгоду и минимизирующий потери. Однако новаторские исследования Канемана и Тверски, приведшие к разработке "теории перспектив", показали, что люди часто полагаются на эвристики и когнитивные сокращения вместо трудоемких вычислений.
Эффект формулировки и когнитивные искажения
Ярким отклонением от поведения идеального рационального агента является так называемый "эффект формулировки", когда представление вариантов с позитивными или негативными коннотациями влияет на решения. Например, когда людей просят выбрать лечение А, которое спасет 400 из 600 пациентов, или лечение Б, при котором умрут 200 из 600 пациентов, большинство предпочтет вариант А, хотя outcomes обоих вариантов идентичны.
Нейробиологические основы искажений
Одним из возможных механизмов эффекта формулировки является aversion к потерям, поскольку люди typically оценивают потери как более значимые, чем эквивалентные выигрыши. Это когнитивное искажение likely коренится в асимметричном эволюционном давлении: "когда выживание uncertain, маргинальные потери оказываются более критичными для репродуктивного успеха, чем маргинальные выигрыши".
Роль вентромедиальной префронтальной коры
Исследования нейронных коррелятов эффекта формулировки, aversion к потерям и отношения к риску consistently идентифицируют вентромедиальную префронтальную кору (vmPFC) как ключевого игрока. Активность vmPFC была выше у individuals с большим aversion к риску, а нейронная активность в этой области уменьшалась с ростом потенциальных потерь.
Клинические подтверждения
Пациенты с поражениями vmPFC демонстрируют повышенный эффект формулировки по сравнению с пациентами с другими поражениями и здоровыми controls, что добавляет каузальности этим корреляционным данным. Эти пациенты также show повышенную склонность к риску и ставят больше денег в gambling задачах.
Методология исследования
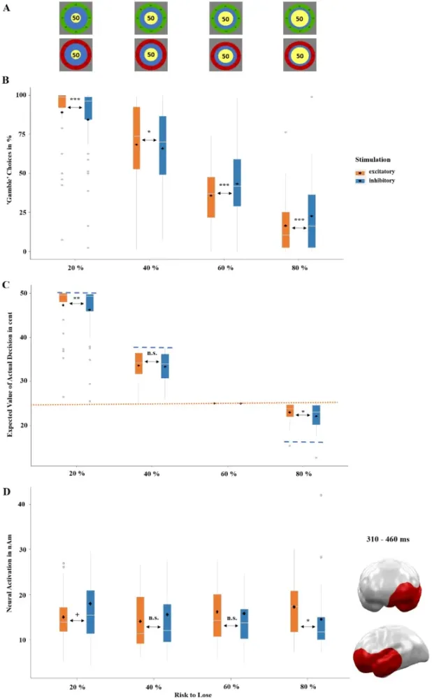
В исследовании использовалась within-subjects design, где каждый участник получал excitatory и inhibitory стимуляцию vmPFC в два разных дня с интервалом не менее 48 часов. Стимуляция проводилась с помощью транскраниальной стимуляции постоянным током (tDCS), оптимизированной для воздействия на vmPFC.
Финансовая gambling задача
Участники выполняли финансовую gambling задачу, где они должны были выбрать между сохранением меньшей суммы или риском получить всю сумму. Вариант "сохранить" представлялся либо как выигрыш (позитивная формулировка), либо как проигрыш (негативная формулировка).
Результаты воздействия стимуляции
Excitatory стимуляция vmPFC по сравнению с inhibitory привела к значительному уменьшению эффекта формулировки. Участники реже выбирали рискованный вариант в условиях негативной формулировки после excitatory стимуляции, демонстрируя более рациональное поведение.
Нейронные корреляты
Нейронные данные показали increased активность в правой orbitofrontal коре в ответ на "loss-frame" после excitatory стимуляции, что suggests улучшенное подавление irrational aversion к потерям.
Обработка обратной связи
Анализ обработки feedback показал, что excitatory стимуляция уменьшила behavioral реактивность к негативным стимулам, потенциально due to enhanced подавлению потерь медиальными префронтальными регионами.
Клинические импликации
Результаты suggest, что excitatory vmPFC-tDCS может быть promising дополнительным методом лечения для пациентов, страдающих gambling аддикцией, учитывая что патологические gamblers show vmPFC-гипоактивацию.
Ограничения и будущие исследования
Следует отметить ограниченную фокальность tDCS стимуляции, а также необходимость сравнения с sham условием в будущих исследованиях. Также требуется дальнейшее изучение вклада различных механизмов (aversion к потерям, отношение к риску) в модуляцию эффекта формулировки.
Заключение
Наши результаты не только подтверждают causal роль vmPFC в рациональном принятии решений и обработке обратной связи, но и indicate что рациональность может быть модулирована неинвазивной стимуляцией. Это открывает перспективы для клинических применений vmPFC-tDCS при аддиктивных расстройствах.