
Интересное сегодня
ГЛП-1 препараты и зрение: как похудение может повлиять на зд...
Ожирение: не только медицинская проблема, но и социальный конструкт Ожирение — это не просто медицин...
Когнитивные различия у пожилых экспертов по медитации и неме...
Исследование когнитивных различий С возрастом можно наблюдать незначительные изменения в некоторых к...
Предикторы веры в Бога в детстве и их влияние на взрослых
Введение Вера является неотъемлемой частью повседневной жизни миллиардов людей, однако о факторах, ф...
Как жесткость артерий влияет на социальное когнитивное старе...
Введение Старение сосудистой системы является известным фактором когнитивного ухудшения в пожилом во...
Как эмоции влияют на осознанное восприятие лиц: исследование...
Влияние манипуляций со стимулами на осознанное восприятие эмоциональных выражений лица Осознанное в...
Различия в использовании шкал ответов в кросс-культурных исс...
Введение Различия в использовании шкал ответов широко распространены в кросс-культурных сравнениях и...
Введение
Представьте, что вы стоите перед толпой и пытаетесь оценить её эмоциональное состояние. Ваш взгляд скользит по лицам, выхватывая те, что выражают эмоции, и в итоге вы делаете вывод. Теперь представьте, что расовый состав этой толпы меняется — в одном случае преобладают белые лица, в другом — чернокожие. Если реальная эмоциональная интенсивность одинакова, повлияет ли расовый состав на оценку эмоциональности толпы? Если да, то какие механизмы лежат в основе этого различия?
Оценка эмоций толпы
При оценке эмоций толпы люди склонны автоматически генерировать сводные статистические данные, особенно средние значения, чтобы быстро и относительно точно обобщать эмоции. Однако ошибки восприятия распределены не нормально вокруг истинного среднего — они смещены в сторону предположения, что группы более эмоциональны, чем есть на самом деле. Это явление известно как эффект усиления эмоций толпы.
Роль расового состава
Люди хорошо чувствуют расовый состав толпы, что может влиять на восприятие её эмоциональности. В предыдущих экспериментах воспринимающие чаще ассоциировали чернокожих с агрессией и гневом, чем белых. В некоторых случаях они быстрее оценивали гнев, выраженный чернокожими мишенями, и быстрее — радость, выраженную белыми.
Использование дрифф-диффузии для анализа предвзятости и чувствительности
Независимо от направления эффекта важно понять, обусловлены ли оценки эмоциональности предвзятостью или чувствительностью. Предвзятость означает, что само наличие большего количества чернокожих лиц immediately ведёт к более сильным attributions эмоциональности. Чувствительность означает, что каждое эмоциональное выражение, detected в чернокожем лице, будет иметь больший вес при принятии решения.
Оба являются формами предубеждения, но это очень разные типы предубеждений.
Модели дрифф-диффузии
Дрифф-диффузионные модели (ДДМ) designed для оценки inputs в decisions как функции времени реакции participants. Ключевое assumption в ДДМ — люди накапливают relevant evidence из своего окружения до тех пор, пока это накопление не достигнет certain decision threshold.
Настоящее исследование
Мы провели три эмпирических эксперимента, чтобы изучить, как доля чернокожих/белых лиц в толпе contributes к её оценке как эмоциональной или нет.
Эксперименты 1–2: тестирование эффекта расы на суждения об эмоциональности толпы
Участники viewed толпы лиц, выражающих разные степени счастья или гнева, и разные соотношения светлокожих и темнокожих лиц. Более высокая доля чернокожих лиц привела к большей вероятности восприятия толпы как эмоциональной.
Методология
Участники были набраны через Mechanical Turk. Стимулы созданы с помощью морфинга лиц из набора NimStim. Важным precondition было отсутствие перцептивных различий на уровне отдельных лиц между белыми и чернокожими лицами.
Пилотное тестирование
Пилотный эксперимент ensured, что порог эмоциональности для расово определённых лиц был одинаковым, чтобы любые различия на уровне толпы были результатом агрегации, а не оценки на индивидуальном уровне.
Результаты и обсуждение
Гипотеза 1 подтвердилась: массивы в general были более likely evaluated как эмоциональные. Гипотеза 4, наиболее relevant для проекта, также подтвердилась: доля чернокожих лиц в толпе была associated с increased likelihood оценки толпы как эмоциональной.
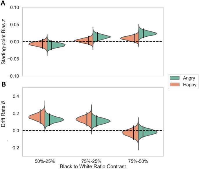
Модель дрифф-диффузии
Анализ показал, что влияние расы на усиление эмоций толпы driven повышенной чувствительностью: каждое эмоциональное чернокожее лицо counted больше, чем equally эмоциональное белое лицо, towards более быстрое решение.
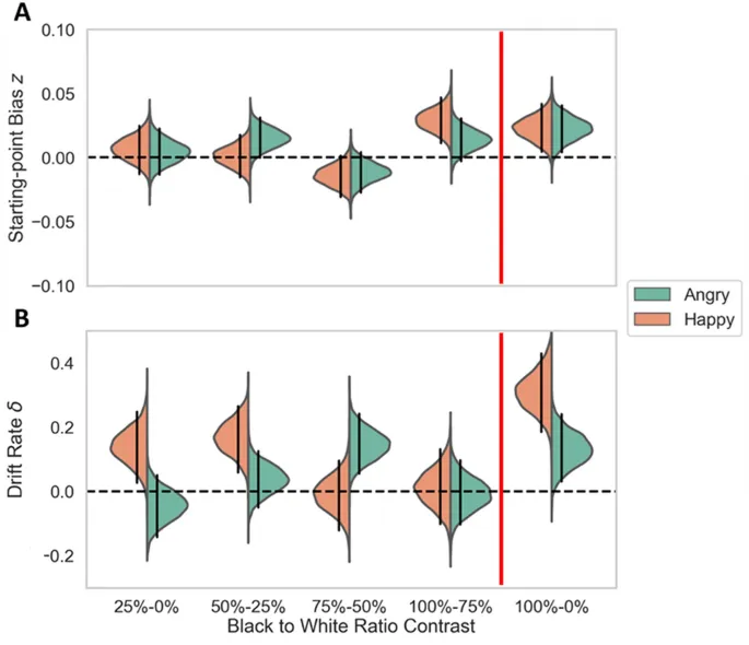
Эксперимент 3: добавление полностью чернокожих и полностью белых толп
Эксперимент 3 examined, были ли результаты driven контрастом между чернокожими и белыми лицами внутри толпы, добавив условия 0% и 100% чернокожих лиц.
Результаты
Результаты подтвердили, что эффект не driven solely контрастом: полностью чернокожие толпы были более likely evaluated как эмоциональные по сравнению со смешанными и полностью белыми.
Общее обсуждение
В трёх экспериментах мы found, что увеличение доли чернокожих лиц в толпе associated с increased likelihood оценки толпы как эмоциональной. Это driven повышенной чувствительностью, а не предвзятостью.
Ограничения и будущие направления
- Стимулы лиц были limited четырьмя идентичностями
- Измерение эмоциональности было бинарным
- Необходимость большего diversity в sample
Эти findings имеют important implications для того, как социальные собрания и движения evaluated на основе расового состава.