
Интересное сегодня
Антисоциальное поведение в аэропортах: психология и влияние ...
Введение Многие из нас становились свидетелями необычного и даже антисоциального поведения в аэропор...
Влияние многоязычия на детей с аутизмом: исследования и реко...
Введение Исследования влияния многоязычия на детей с аутизмом и другими развивающими расстройствами ...
Здоровье и брак: Почему статус холостяка может быть предпочт...
Введение Среди распространенных мнений о здоровье существует утверждение, что женатые люди более здо...
Когнитивный тренинг Dr. Neuronowski® для улучшения речи и мы...
Введение в проблему афазии и когнитивных нарушений Инсульт является второй по значимости причиной см...
Выгорание католических священников в Бразилии: исследование ...
Введение в проблему выгорания духовенства Pacciolla и Sanagiotto (2022) провели описательное исследо...
Маскировка при аутизме: влияет ли она на психическое здоровь...
Маскировка при аутизме: новый взгляд на связь с психическим здоровьем Многие аутичные люди чувствуют...
Введение в проблему негативного последовательного контраста
«Для каждой проблемы в определённой научной дисциплине существует вид или другое явление, идеально подходящее для её решения. И наоборот, для каждого вида или явления существуют важные проблемы, для решения которых он идеально подходит» – Э. О. Уилсон, «Письма к молодому учёному».
Ценность вознаграждения зависит как от его абсолютной величины, так и от предыдущего опыта организма с другими вознаграждениями. Животные, которых сначала приучили ожидать крупное вознаграждение, а затем перевели на меньшее, демонстрируют нарушение поведения по сравнению с группой, всегда получавшей меньшее вознаграждение – явление, известное как последовательный негативный контраст (ПНК; Flaherty, 1996).
История изучения ПНК на разных видах
Хотя этот феномен широко наблюдался у различных видов млекопитающих, большинство исследований механизмов поведения, фармакологии, нейроанатомии и т.д. проводились на крысах, которые считаются золотым стандартом для изучения ПНК. Исследования на крысах изучили многие подкорковые цепи, связанные с фрустрацией при отсутствии ожидаемого вознаграждения.
Однако некоторые важные инструменты нейробиологических исследований более доступны для мышей (например, трансгенные линии), и расширение исследований ПНК на мышиную модель обещает значительный прогресс в понимании сравнения вознаграждений.
Методологические подходы к изучению ПНК
Потреблятельный последовательный негативный контраст (пПНК)
Одна из наиболее изученных версий процедуры ПНК измеряет потреблятельное поведение. В стандартной процедуре пПНК группе крыс предоставляют 5-минутный свободный доступ к 32% раствору сахарозы в течение 10-дневного предсдвигового периода, а затем позволяют пить 4% раствор в течение дополнительного 5-дневного постсдвигового периода.
Если группа со сдвигом пьёт меньше 4% сахарозы по сравнению с контрольной группой без сдвига, которая получала только 4% на протяжении всего обучения, наблюдается пПНК. Зависимой переменной является либо кумулятивное количество пописов, либо кумулятивное время, потраченное на пописы во время испытания.
Инструментальный последовательный негативный контраст (иПНК)
Другая хорошо известная, но менее широко используемая процедура ПНК измеряет инструментальное поведение после количественного или качественного изменения вознаграждения. В типичном эксперименте иПНК крыс обучают пробегать дорожку за предпочитаемым вознаграждением в течение нескольких дней, после чего следует постсдвиговой период, когда они пробегают дорожку и находят менее предпочитаемое вознаграждение.
Одним из примечательных элементов процедуры иПНК является то, что измеряемое поведение является anticipatory – поведение, измеряемое при первом испытании после сдвига, фактически происходит до опыта с уменьшенным вознаграждением.
Анализ опубликованных исследований ПНК у мышей
Проблемы методологии и интерпретации
Существующая литература не демонстрирует пПНК у мышей как явного аналога феномена, наблюдаемого у крыс. Во многих опубликованных исследованиях критическая информация исключена из рукописей, такая как продолжительность испытания, схемы поведения до сдвига или время инъекций препаратов.
Одной из частых ошибок является рассмотрение значимого статистического взаимодействия между показателями до и после сдвига в группах со сдвигом и без сдвига как указание на ПНК. Любая из ранее описанных схем поведения могла бы привести к значимому статистическому взаимодействию.
Обзор конкретных исследований
Mustaca, Bentosela и Papini (2000) первыми сообщили о пПНК у мышей. Они использовали существенно модифицированную процедуру, при которой две бутылки оставляли в домашней клетке на extended periods 1–3 часа. Это было необходимо, поскольку общее низкое потребление жидкости мышами означало, что стандартная 5-минутная парадигма была недостаточной для различения потребления между группами.
Другие исследования, такие как работа Austen, Strickland и Sanderson (2016), показали лишь transient effects, длящиеся всего несколько минут, что значительно отличается от эффектов, обычно наблюдаемых у крыс.
Экспериментальное исследование: попытка воспроизведения ПНК у мышей
Методология и дизайн исследования
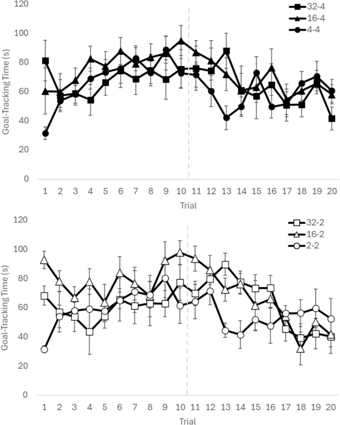
Для исследования возможности использования стандартной процедуры с мышами было проведено исследование с использованием лучших принципов, описанных в литературе. Всего 64 самца мышей C57BL/6 содержались в стандартных условиях с свободным доступом к пище и воде до достижения 90-дневного возраста.
Тестовые камеры были специально изготовленными трёхмерными печатными модульными мышиными тестовыми камерами. Измерялось кумулятивное время целевого отслеживания (в секундах) для мышей, пьющих растворы сахарозы в течение десяти предсдвиговых и десяти постсдвиговых испытаний.
Результаты и статистический анализ
Данные анализа показали medium significant main effect Trial, но не выявили evidence of SNC. На некоторых trials даже наблюдалась opposite pattern – группы со сдвигом пили больше, чем контрольные группы без сдвига.
Статистический анализ не показал убедительных доказательств существования ПНК у мышей при использовании стандартных параметров, успешно работающих на крысах.
Обсуждение результатов и видовые различия
Возможные причины отсутствия ПНК у мышей
Существует несколько возможных объяснений, почему мыши могут быть менее чувствительны к снижению вознаграждения. Одна из возможностей – что пПНК, легко наблюдаемый у крыс, является видоспецифическим феноменом.
Другая возможность – что наблюдение пПНК сильно зависит от размера тела. Мыши могут быстрее насыщаться или иметь overall lower motivation потреблять сахарозу по сравнению с крысами.
Эволюционные и экологические аспекты
С точки зрения оптимального фуражирования, относительно low energy demands мышей по сравнению с более крупными крысами означает, что момент, когда кормовой участок становится unprofitable, наступает much later для мышей, чем для крыс. Мыши поэтому могут exploit lower quality patches дольше и при этом поддерживать свои высокие метаболические потребности.
Альтернативные подходы и перспективы исследований
Модификации методик для мышей
Если бы этот эксперимент повторили, хорошей отправной точкой было бы увеличение продолжительности испытаний и расширение количества постсдвиговых сессий. Если верно, что мышам требуется более extensive reward experience и у них медленно проявляющийся ПНК, то это само по себе интересное отличие от immediate reaction крыс.
Альтернативная процедура APRO
Многообещающей альтернативой процедуре ПНК недавно появилась в литературе alternate poking reward omission (APRO) процедура. В этой процедуре мыши с ограничением воды обучаются в дорожке с целевыми областями на каждом конце. Мышь получает вознаграждение водой за alternate pokes на любом конце дорожки и учится курсировать между двумя целевыми областями.
Заключение и практические рекомендации
Несмотря на процветающую литературу по потреблятельному последовательному негативному контрасту у крыс с использованием well-established standard procedure, лишь несколько отчетов в опубликованной литературе демонстрируют similar effect с мышами. Из этих исследований методы не стандартизированы, и у большинства есть statistical issues, которые ставят под сомнение интерпретацию того, что мыши показали пПНК.
При установлении новой стандартной процедуры для наблюдения ПНК critical that observation of SNC является clear and unambiguous с strong effect size. В идеале пПНК в новой процедуре можно было бы validated как гомологичный литературе по ПНК у крыс с точки нейро circuitry или фармакологии.
Расширение инструментов для понимания ПНК – ценная цель, но текущее состояние литературы suggests that mice may not be best suited для исследования этого поведения