
Интересное сегодня
Взаимосвязь интероцепции и когнитивных функций при фибромиал...
Введение в проблему интероцепции при фибромиалгии Интероцепция, внутреннее чувство телесного состоян...
Как улучшить сон ребенка и благополучие родителей: исследова...
Введение Паттерны сна у взрослых значительно отличаются от таковых у младенцев и маленьких детей. Вз...
Проактивное поведение в контексте последовательности: Обзор ...
ВведениеВ наше время ожидания от последователей претерпевают значительные изменения (Grant & Parker,...
Идеальная модель наблюдателя для локализации звуковых источн...
Введение Локализация звукового источника требует от слушателя расшифровки направленной информации, в...
Как психотерапия меняет мозг и уменьшает хроническую боль
Как хроническая боль влияет на мозг Хроническая боль — состояние, при котором болевые ощущения сохра...
Как слияние идентичности влияет на доверие и сотрудничество ...
Влияние слияния идентичности на межгрупповые отношения Затяжные межгрупповые конфликты являются одно...
Введение
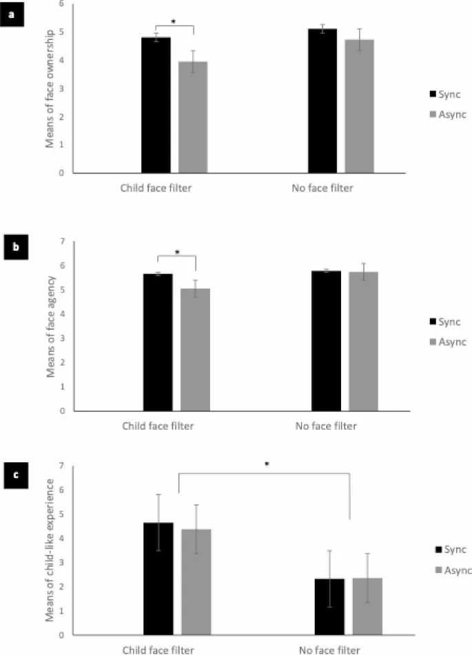
Когда человек смотрится в зеркало или смотрит на свои руки и ноги, он обычно испытывает неявное чувство принадлежности или владения этими частями тела. Обработка информации, связанной с телом, и формирование представления о нашем теле в мозге, независимо от каких-либо концептуальных или рефлексивных процессов, называется телесным самосознанием (ТСС). Дифференциация собственного тела от остальной среды основана на интеграции мультисенсорных телесных сигналов, что порождает чувство владения телом. Владение телом является одним из ключевых компонентов ТСС. Другими ключевыми компонентами, составляющими ТСС, являются чувство агентства, самолокация и перспектива от первого лица. Чувство агентства — это опыт волевого контроля над своими действиями, перспектива от первого лица — это телесно-центрированный опыт мультимодального пространства переживаний, а самолокация — это опыт того, где находится собственное «я» в пространстве. У неврологически здоровых людей телесные самоощущения, включая самолокацию, агентство и владение телом, связаны со всеми лично пережитыми событиями жизни. Если эти телесные самоощущения закодированы в памяти, между представлениями о телесном «я» и памятью должно существовать взаимодействие.
Автобиографическая память и телесное самосознание
Сознательное воспоминание личных переживаний и фактических знаний, связанных с собой, называется автобиографической памятью (АП). АП может включать либо сознательное переживание личного опыта конкретного события из прошлого (эпизодическая автобиографическая память — ЭАП), либо воспоминание фактических знаний о собственном прошлом или о себе (личностно-семантическая автобиографическая память — ЛСАП). Поскольку ЭАП касается сознательного воспоминания события, она может включать повторное переживание более молодой версии собственного тела, какой она была во время исходного события. Теоретически модель «Системы само-памяти» исследует основной механизм построения АП. Модель ССП предложила термин «работающее я», который относится к взаимодействию между саморепрезентациями и рабочей памятью, управляемой целями. Другим ключевым компонентом ССП является база автобиографических знаний, которая включает эпизодическую и фактическую автобиографическую информацию. Модель ССП утверждает, что когда воспринимаются такие сигналы, как визуальные, слуховые и другие сенсорные стимулы, они запускают взаимодействие работающего «я» с базой автобиографических знаний, что способствует построению и воспоминанию АП. Возможно, что временное изменение представления о своем теле, вызванное иллюзией владения частью тела (лицом) с чертами из другого временного периода в прошлом (т.е. детским лицом), может активировать базу детских автобиографических знаний и способствовать улучшенному воспоминанию АП из того периода.
Предыдущие исследования и методология
В предыдущих исследованиях экспериментальные иллюзии всего тела использовались для изучения взаимодействия между телесным «я» и памятью. Иллюзия всего тела относится к перцептивной иллюзии, при которой человек испытывает искаженное представление о своем теле в целом: это может включать изменения в отношении того, каким телом он чувствует владение (т.е. участники могут чувствовать владение манекеном/виртуальным телом/телом другого человека), его опыт того, где, кажется, расположено «я», может быть изменен, а также могут быть изменения тактильных representations. Бергуигнан и коллеги вызвали иллюзорный «внетелесный» опыт у участников, носящих гарнитуру виртуальной реальности (VR), через которую они переживали и кодировали событие либо с перспективы от первого лица (моделируя «внутрителесный опыт»), либо с перспективы от третьего лица (ТПП), моделируя «внетелесный опыт». Они оценили влияние этого иллюзорного изменения телесного «я» на воспоминание события, сравнивая производительность воспоминания между условиями «внетелесного опыта» и «внутрителесного опыта». Они обнаружили, что показатели воспоминания эмоциональных, фактических, пространственных и временных аспектов событий, закодированных во время условия «внетелесного опыта», были значительно ниже по сравнению с условием «внутрителесного опыта», что свидетельствует об ухудшающем эффекте иллюзии на кодирование памяти. В другом исследовании Иллюзии всего тела Ирие и Эрссон вызвали чувство владения телом манекена, viewed с перспективы от первого лица в заранее записанных натуралистичных 3D-средах. Были созданы условия сильного и слабого чувства владения телом манекена. Сильное владение телом создавалось в синхронных условиях, при которых участники видели прикосновение к манекену и чувствовали прикосновение на своем теле в одно и то же время и в одном и том же месте. Слабое владение телом создавалось в асинхронных условиях, при которых участники видели прикосновение к манекену и чувствовали тактильные ощущения на своем теле в разное время и в разных местах. Авторы обнаружили, что точность памяти, немедленное переживание, отсроченная эмоциональная интенсивность и яркость были enhanced для воспоминаний о видео, которые просматривались при переживании сильного чувства владения телом по сравнению со слабым чувством владения телом манекена.
Методы и результаты исследования
В настоящем исследовании мы предположили, что «энфейсмент» (ощущение владения и контроля над лицом) более молодой версии собственного лица облегчит лучшее воспоминание эпизодических деталей детских АП по сравнению с «энфейсментом» собственного «нефильтрованного» лица, viewed на экране. В соответствии с нашей гипотезой мы обнаружили, что участники, которые «энфейсировали» детскую версию своего собственного лица, продемонстрировали более детальное воспоминание эпизодических детских АП, чем участники, которые «энфейсировали» свое неизмененное лицо. Можно утверждать, что предоставление соответствующих телесных триггеров или сигналов через иллюзию энфейсмента может, таким образом, облегчить воспоминание большего количества эпизодических деталей события, пережитого, когда участник был моложе. Дальнейшее попарное сравнение показало, что участники в группе с детским фильтром лица вспоминали больше эпизодических деталей durante свободного воспоминания детских АП по сравнению с недавними АП после условия висуомоторной синхронности. В соответствии с гипотезой также можно предсказать, что участники в группе без фильтра лица смогут вспомнить больше деталей недавних АП по сравнению с участниками в группе с детским фильтром лица. Мы обнаружили, что недавние АП не significantly differed между группами «детский фильтр лица» и «без фильтра лица». Однако попарные сравнения показали, что участники в группе без фильтра лица вспоминали больше эпизодических деталей durante специфического probing based recollection недавних АП по сравнению с детскими АП. Интересно, что этот эффект был обнаружен в условии висуомоторной асинхронности, а не в условии синхронности. Можно предположить, что при просмотре своего неизмененного лица в асинхронном условии внимание diverted на воспоминание АП, а не на переживание висуомоторного конфликта. В поддержку этого предположения, это различие наблюдалось только для recollection based on specific probing, требующего большего внимания к деталям, чем free recollection. Тем не менее, эти findings являются первыми, позволяющими предположить, что временные изменения представления о своем теле могут модулировать доступ к (и направленное воспоминание) автобиографической памяти.
Обсуждение и выводы
Настоящее исследование предоставляет доказательства взаимодействия между телесным «я» и автобиографической эпизодической памятью. Мы утверждаем, что взаимодействие происходит на уровне построения следов памяти. Однако важным ограничением текущего исследования было то, что мы не наблюдали эффекта висуомоторной синхронности на recollection АП. Мы рекомендуем будущим исследованиям контролировать сходство морфированного виртуального лица с лицом участника. Текущий эксперимент не оценивал, в какой степени участники felt, что морфированное лицо напоминает их детское лицо. Мы рекомендуем будущим лабораторным исследованиям измерять сходство с реальным детским лицом, потому что вариации в том, насколько морфированное лицо похоже на детское лицо, могут объяснить некоторые вариации эффекта иллюзии на разных individuals. Мы также рекомендуем modified research protocol для будущих (лабораторных) экспериментов, в котором анкета иллюзии энфейсмента заполняется после интервью АП, а не до, чтобы избежать любого эффекта ожидания или break в воздействии иллюзии на recollection АП. Исследование было further limited отсутствием проверки достоверности recollected воспоминаний. Рекомендуется включать меры verification памяти в будущие экспериментальные designs для контроля ложных или confabulated воспоминаний. Также важно отметить, что даже though мы achieved хорошую и отличную межэкспертную надежность для оценки памяти, был широкий доверительный интервал для оценок памяти на основе specific probing. Мы также рекомендуем будущие исследования с более robust межэкспертной надежностью путем достижения более узкого доверительного интервала. Тем не менее, это исследование provides предварительные доказательства того, как временные изменения представления и опыта телесного «я» могут влиять на доступ к памяти.