
Интересное сегодня
Как работа без памяти о личной жизни влияет на психику: Урок...
Представьте, что каждый день вы приходите на работу, не помня, кто вы за её пределами. Ваша личная ж...
Потерянные питомцы в США в 2024 году: статистика и советы по...
Потерянные питомцы в США: тревожная статистика 2024 года 2024 год принес уникальные вызовы для амери...
Пик эмпатии: как молодость формирует наше понимание боли дру...
В новом исследовании, проведенном Школой психологии Университета Кента, было обнаружено, что молодые...
Исследование взаимосвязей между межличностным доверием, семе...
Введение Термин "физическая активность" описывает разнообразие структурированных и целенаправленных ...
Разница между всю жизнь одинокими и состоящими в отношениях ...
ВведениеХотя быть замужем или в долгосрочных отношениях часто рассматривается как норма, все больше ...
Различия между выгоранием и эмоциональными срывами при СДВГ:...
СДВГ-выгорание и эмоциональные срывы: сходства и различия Выгорание и эмоциональные срывы часто встр...
Введение
Социальные сети могут быть значительным источником стресса для подростков (Orben et al., 2022; Wolfers & Utz, 2022). Широкое использование соцсетей среди подростков вызывает интерес у исследователей, политиков и родителей. Согласно опросам, после пандемии COVID-19 94% подростков 16–17 лет регулярно используют хотя бы одно приложение или сайт (Ofcom, 2022), а подростки 13–18 лет тратят в среднем 8 часов 39 минут в день на развлечения в интернете, включая 1 час 27 минут на соцсети (Common Sense Media, 2021). Однако связь между использованием соцсетей (часто измеряемым как экранное время) и психическим здоровьем подростков сложна.
Эмоциональный интеллект как адаптивный маркер в подростковом возрасте
Эмоциональный интеллект (ЭИ) можно измерять двумя способами: как черту (эмоциональная самоэффективность) или как способность (навыки работы с эмоциями). Трейт-ЭИ (TEI) частично определяется личностью, тогда как способность-ЭИ (AEI) охватывает восприятие, понимание и управление эмоциями (Mayer et al., 2008). Подростки с высоким ЭИ могут лучше использовать соцсети и защищаться от их негативного влияния.
Обработка эмоций в соцсетях: роль ЭИ
Один из потенциальных рисков соцсетей — эмоциональное воздействие негативного контента. Подростки с высоким ЭИ могут быстрее распознавать и оценивать эмоциональные посты, что усиливает их реактивность. Гипотеза гиперчувствительности предполагает, что люди с высоким ЭИ более восприимчивы к эмоциям (Fiori & Ortony, 2021), что может быть как полезным, так и вредным в зависимости от контекста.
Регуляция эмоций и ЭИ
Эффективное управление эмоциями (ER) критически важно для психологического благополучия. Модель Gross (2007) включает пять стратегий регуляции эмоций, из которых в данном исследовании рассматриваются три: модуляция реакции, направление внимания и выбор ситуации. ЭИ может влиять на эти процессы, помогая подросткам адаптироваться к эмоциональному контенту.
Методы исследования
В исследовании участвовали 189 подростков (16–18 лет), которые оценивали посты в смоделированной ленте соцсетей. Использовались валидированные тесты для измерения ЭИ, личности, когнитивных способностей и благополучия. Участники оценивали свои эмоциональные реакции, внимание и вероятность взаимодействия с постами.
Результаты
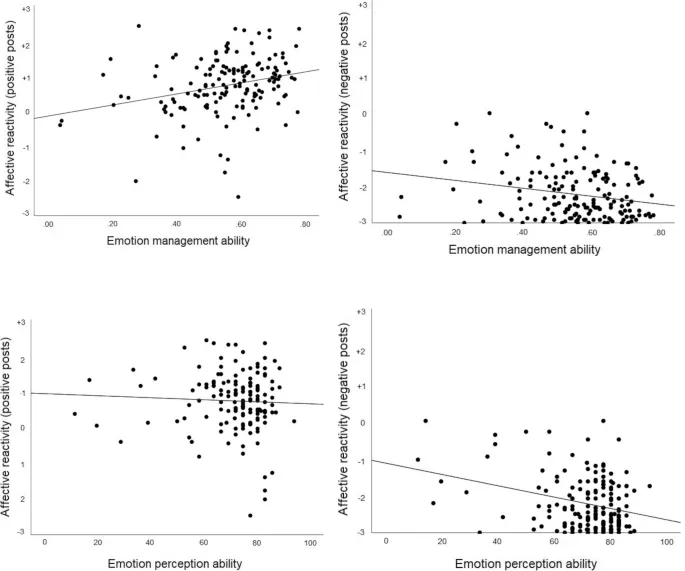
Гипотеза 1: Подтвердилось, что AEI (способность управлять и воспринимать эмоции) предсказывает силу эмоциональных реакций на контент. Подростки с высоким AEI сильнее реагировали как на позитивные, так и на негативные посты.
Гипотеза 2: Не подтвердилась — TEI не влиял на направление внимания. Однако способность управлять эмоциями коррелировала с вниманием к негативным постам.
Гипотеза 3: Не подтвердилась — ЭИ не влиял на выбор взаимодействия с постами.
Обсуждение
Исследование поддерживает гипотезу гиперчувствительности ЭИ: подростки с высоким AEI демонстрируют усиленные эмоциональные реакции. Усиление позитивных реакций может улучшать благополучие, тогда как реакция на негативный контент требует дальнейшего изучения. Будущие исследования могут дополнить самоотчеты объективными данными (например, отслеживанием взгляда).