
Интересное сегодня
Как улучшить сон ребенка и благополучие родителей: исследова...
Введение Паттерны сна у взрослых значительно отличаются от таковых у младенцев и маленьких детей. Вз...
Мурашки от музыки и политика: как эстетические переживания с...
Что такое эстетические мурашки и почему они важны Эстетические мурашки (aesthetic chills) — это физи...
Тест на стиль привязанности: определите свой тип отношений
Что такое стиль привязанности? Стили привязанности — это ожидания, которые люди формируют относитель...
Генетика против воспитания: новые мифы психологии
Генетика против воспитания Недавние исследования ставят под сомнение многие общепринятые убеждения в...
Распространенность анедонии у женщин с глубоким эндометриозо...
Введение Глубокий эндометриоз (ГЭ) является наиболее тяжелой формой эндометриоза и часто сопровождае...
Тест на память у обезьян: как отличить воспоминание от узнав...
Введение в исследование памяти у приматов Эпизодическая память относится к способности запоминать пе...
Сравнительное влияние кантонского и мандаринского тоновых языков на восприятие музыкального звука
Существующие исследования языково-музыкального переноса предполагают, что владение тоновым языком улучшает восприятие музыкального звука. Однако в этих исследованиях фон тонового языка был недостаточно представлен как бинарная переменная «да/нет». Чтобы расширить предыдущие исследования, мы изучили сравнительное влияние кантонского и мандаринского языковых背景ов на восприятие музыкального звука.
Введение
Музыка и речь имеют различные функциональные и акустические общности. Функционально музыка и речь являются коммуникативными средствами, с помощью которых люди выражают эмоции и идеи. Акустически высота тона (pitch) является важной особенностью, определяющей мелодию музыки. В речи высота тона передает эмоции говорящего, помогает сегментации речи и даже может различать слова в некоторых языках (например, лексические тоны). Учитывая эти общности, исследователи extensively изучили положительное влияние музыкального обучения на речевые и языковые способности, известное как музыкально-языковой перенос. В противоположность этому, эмпирическому вниманию в противоположном направлении, т.е. языково-музыкальному переносу, уделялось мало внимания.
Музыкально-языковой перенос и гипотеза OPERA
Гипотеза OPERA предлагает механизм музыкально-языкового переноса в восприятии речи. Поскольку настоящее исследование focuses на фоне тонового языка, мы проиллюстрируем OPERA на восприятии лексических тонов. Согласно OPERA, музыкальное обучение может улучшить восприятие лексических тонов при условии, что соблюдены пять условий: overlap (перекрытие), precision (точность), emotion (эмоция), repetition (повторение) и attention (внимание).
«Перекрытие» означает, что обработка их акустических особенностей (т.е. основной частоты или F0) задействует перекрывающиеся подкорковые сети. Чтобы «точность» была соблюдена, музыка должна требовать более тонкой обработки F0, чем речь. Например, небольшое отклонение всего на 1 полутон может привести к заметному несоответствию ноты в музыке, тогда как лексические тоны различаются в среднем на 2–7 полутонов.
Языково-музыкальный перенос и двунаправленная гипотеза OPERA
В отличие от импликации OPERA, свидетельства указывают на языково-музыкальный перенос в восприятии музыкального звука. По сравнению с нетоновыми языками, тоновые языки предъявляют более высокие требования к F0 для лексической обработки. По сравнению с англоговорящими, кантонские слушатели более точно обнаруживали музыкальные ноты, не соответствующие тональности. Более того, кантонские слушатели превзошли англоговорящих в различении и запоминании мелодических последовательностей.
Пробел в исследованиях и настоящее исследование
Критически, предыдущие исследования в значительной степени недостаточно представляли фон тонового языка как бинарную переменную «да/нет». Теоретически это может привести к упрощенному взгляду на языково-музыкальный перенос — что фон тонового языка облегчает восприятие музыкального звука. Хотя мы считаем, что этот взгляд в целом верен, разные тоновые языки предъявляют разные требования к восприятию F0, что может привести к разной степени языково-музыкального переноса.
Методы
Участники были набраны в Гонконге через плакаты, электронные письма и социальные сети. Наш окончательный образец состоял из 24 носителей кантонского языка (11 мужчин, 13 женщин) и 24 носителей мандарина (11 мужчин, 13 женщин). Их средний возраст составил 23,62 года (SD = 3,44 года) и 23,46 года (SD = 3,28 года) соответственно.
Результаты
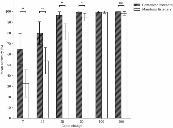
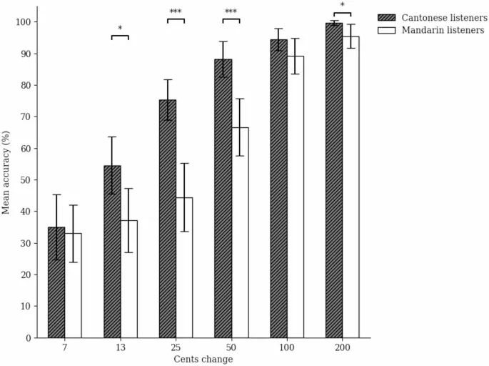
На основе теории обнаружения сигналов мы рассчитали индекс чувствительности (d') в трех задачах. В целом, основной эффект группы был значительным. Кантонские слушатели превзошли мандаринских слушателей в задачах дискриминации статического музыкального звука и музыкального звукового интервала, но не во времени реакции.
Обсуждение
Настоящее исследование aimed изучить сравнительное влияние кантонского и мандаринского языковых背景ов на восприятие музыкального звука. Мы hypothesized, что кантонские слушатели превзойдут мандаринских слушателей в различении статического музыкального звука, музыкальных звуковых интервалов и динамического музыкального звука. Наше исследование выявило значительные групповые различия только в d' и точности, а не во времени реакции.
Заключение
Кантонские слушатели превзошли мандаринских слушателей в восприятии музыкального звука. В соответствии с нашей гипотезой, кантонские слушатели более точно различали статический музыкальный звук, музыкальный звуковой интервал и динамический музыкальный звук, чем мандаринские слушатели. В то время как предыдущие исследования often рассматривали фон тонового языка как бинарную переменную «да/нет», наше исследование suggests, что разные фоны тоновых языков могут lead к varying степеням языково-музыкального переноса.