
Интересное сегодня
Влияние ожирения на мозг: как распределение жира ускоряет ст...
Ожирение как глобальная проблема здоровья мозга Ожирение стало глобальной проблемой здоровья с далек...
Как использовать тематический анализ в смешанных методах исс...
Можно ли использовать тематический анализ в смешанных методах исследования? Да, тематический анализ ...
Как выражение эмоций влияет на моральное наказание в Дилемме...
Введение в проблему морального наказания Существование морального наказания — факт, что кооперативны...
Как когнитивные способности влияют на длину естественной реч...
Введение Исследование изучает влияние когнитивных способностей и социодемографических факторов на дл...
Как недовольство телом и образ жизни влияют на депрессивное ...
Введение За последние два десятилетия распространенность депрессивных симптомов среди подростков уве...
Психическое здоровье спасателей: эффективные методы лечения ...
Стоимость спасения жизней: невидимое бремя Представьте себе завершение ночной смены, где каждый вызо...
Введение в психофизику усилия
Усилие можно определить различными способами. Некоторые исследователи описывают его как работу, необходимую для достижения желаемого результата (Wolpe et al., 2024), тогда другие формулируют его как энергию, затрачиваемую на выполнение действия (Halperin & Vigotsky, 2024). Несмотря на эти различные определения, существует консенсус, что усилие представляет собой объективный процесс - отличный от субъективного опыта, связанного с ним: восприятия усилия. Восприятие усилия значительно варьируется между individuals и имеет важные последствия для психического здоровья и благополучия.
Исследования оценки усилия в нейронауке
Однако на сегодняшний день большая часть нейробиологических исследований усилия была сосредоточена на оценке усилия в рамках парадигм принятия решений (Berwian et al., 2020; Bonnelle et al., 2015; Le Heron et al., 2018; Treadway et al., 2009; Valton et al., 2024). Исследования оценки усилия обычно изучают, как individuals делают выбор между двумя или более вариантами, отличающимися своими требованиями к усилию и связанными с ними наградами (Ang et al., 2023; Chong et al., 2017; Culbreth et al., 2018; Husain & Roiser, 2018; Müller et al., 2021).
Ограничения decision-making подходов
Используя computational modelling, эти парадигмы позволяют исследователям количественно оценить, насколько individuals подвержены влиянию или чувствительны к усилию и вознаграждению при оценке различных действий. Однако задачи принятия решений в первую очередь capture anticipatory aspects обработки усилия и вознаграждения: как individuals оценивают потенциальные затраты усилия до того, как actually experiencing it.
Важное различие между anticipatory и experiential аспектами обработки усилия особенно важно при исследовании мотивационных нарушений в клинических состояниях
Методология исследования
Участники исследования
Мы набрали participants через публичные объявления в университете и платформах социальных сетей. Критерии скрининга включали возраст 18-45 лет, отсутствие хронических медицинских заболеваний и отсутствие острых психических заболеваний, требующих медикаментозного лечения. Все participants подписали информированное согласие перед началом эксперимента.
Экспериментальная процедура
Participants выполняли компьютеризированную задачу физического усилия, запрограммированную на Python 3.8 с использованием библиотеки PsychoPy (Peirce et al., 2019). Задача включала сжатие двух ручных динамометров для достижения целевой зоны с последующей оценкой субъективного восприятия усилия.
- Использование двух динамометров (по одному для каждой руки)
- Чередование рук для минимизации мышечной усталости
- Запись силы с помощью динамометров BIOPAC с частотой дискретизации 250 Гц
Дизайн force matching
Мы приняли дизайн "force-matching", требующий от participants поддерживать прилагаемое усилие в пределах specified target area, а не превышать порог целевого усилия, как это делается во многих предыдущих исследованиях физического усилия.
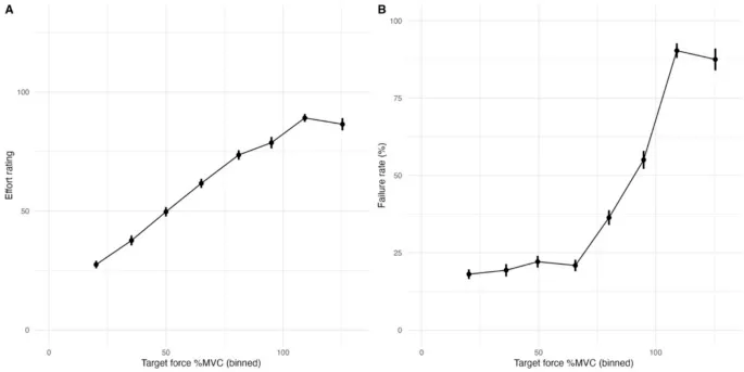
Результаты исследования
Связь между оценкой усилия и силой
Участники последовательно увеличивали свою оценку с увеличением целевой силы. Кроме того, процент неудач увеличивался с увеличением целевой силы, как и ожидалось. Квадратичная функция лучше всего описывала взаимосвязь между прилагаемым усилием и оценкой усилия.
Ассоциации с депрессивными симптомами
Мы обнаружили значимые скорректированные по FDR ассоциации между чувствительностью к силе и чувствительностью к неудаче с депрессивными симптомами. Specifically, наблюдалась negative association между чувствительностью к силе и депрессивными симптомами, но не между чувствительностью к силе и симптомами апатии.
Когнитивные и моторные детерминанты
Мы исследовали дополнительные когнитивные и сенсомоторные факторы, последовательно влияющие на оценку усилия от trial-to-trial. Некоторые features показали высокую согласованность across participants, в то время как другие показали высокую индивидуальную variability в их вкладе в оценку усилия.
Обсуждение результатов
Наше исследование имело три цели: количественную оценку индивидуальных различий в том, как усилие и неудача влияют на восприятие усилия; тестирование корреляций с депрессивными симптомами и апатией; и exploration дополнительных когнитивных и моторных contributors к восприятию усилия.
Клинические implications
Наши результаты подчеркивают важность изучения fluctuations в восприятии усилия - не только в anticipated effort valuation - как potential core construct в психопатологии. Различие между anticipatory и experiential аспектами усилия поддерживается нейробиологическими исследованиями.
Ограничения исследования
Исследование имеет несколько limitations: техническая ошибка в калибровке силы, использование целевой области в задаче, тестирование people из general population, фокус на physical effort без измерения cognitive effort.
Заключение
Это исследование предоставляет evidence что субъективное восприятие усилия формируется чувствительностью к усилию и результату. Индивидуальные различия в том, как participants weighing эти factors были associated с депрессивными симптомами, но не с апатией.