
Интересное сегодня
Определяющие факторы тревоги о будущем в Южной Корее: анализ...
Введение Неопределенность будущего в современном обществе способна вызывать тревогу, особенно в усло...
Как настройки шума яркости влияют на корковые механизмы цвет...
Введение Псевдоизохроматические стимулы включают шум яркости, который устраняет различия в светимост...
Критерий хи-квадрат (χ²): формула, расчет и интерпретация
Что такое критерий хи-квадрат (χ²)? Критерий хи-квадрат (произносится как «кай») — это непараметриче...
Аутическое выгорание: Опыт, Причины и Восстановление
Введение Аутическое выгорание, глубокий и зачастую изнуряющий опыт, было вынесено на передний план и...
Травма семей заложников: жизнь в ожидании
Введение Семьи заложников в Газе переживают жуткие испытания, связанные с неопределенной утратой. С ...
Совместное расстройство пищевого поведения и психоза: клинич...
Введение Расстройства пищевого поведения (РПП) и психотические расстройства связаны с серьезными нар...
Введение в технику сэойнагэ
Сэойнагэ является одной из наиболее важных и фундаментальных технических действий в дзюдо. Техника сэойнагэ представляет собой сложное двигательное умение, при котором дзюдоист тянет соперника в различных направлениях перед тем, как перебросить его через спину. Сэойнагэ, известный своей эффективной работой верхних и нижних конечностей, считается сложным бросковым приемом, поскольку эта комплексная форма использует степени свободы в большинстве суставов тела. Неустойчивое положение атакующего и скорость вращения туловища напрямую связаны с высоким уровнем исполнения сэойнагэ.
Для правильного выполнения технического действия сэойнагэ спортсмены должны сильно потянуть соперника, сместить его центр тяжести и быстро развернуть туловище, чтобы поднять оппонента. Движение броска через сэойнагэ происходит быстрее в зависимости от уровня мастерства дзюдоиста. Предыдущие исследования указывали на то, что элитные спортсмены (эксперты) демонстрировали отсроченное начало реакции, а также телесные и позные ответы на внешние возмущения по сравнению с начинающими спортсменами (любителями). Более того, элитные спортсмены наклоняют свои тела больше, что позволяет осуществлять быстрое вращение туловища. Достаточно сильное тяговое усилие вперед способствует более быстрому и точному позиционированию.
Фазы выполнения броска
Когда спортсмен тянет соперника вниз руками, чтобы вызвать его реакцию, он может напрямую подсечь ноги соперника для эффективного броска. Процедура позиционирования и броска осуществляется в ситуации потери равновесия (т.е. при смещении центра тяжести соперника вверх и вперед), поэтому направление выведения из равновесия имеет crucialное значение. Увеличение количества фронтального импульса соперника приводит к тому, что скорость выполнения сэойнагэ выглядит более быстрой во время точного выведения из равновесия и позиционирования. Выведение из равновесия, позиционирование и бросок при выполнении навыков сэойнагэ должны быть непрерывно и органично связаны и восприниматься как одно движение.
Методология исследования
В данном исследовании приняли участие двадцать дзюдоистов. Все спортсмены были этническими корейцами. В среднем, элитные спортсмены были возрастом 20,9 лет (стандартное отклонение [СО] = 0,88; диапазон = 20–22) и имели 7,7 лет (СО = 2,54) спортивного опыта. Неэлитные спортсмены в среднем были возрастом 27,5 лет (СО = 2,68; диапазон = 20–29) и имели 4,7 лет (СО = 2,50) спортивного опыта. Участники были разделены на группу элитных спортсменов (ЭГ; n = 10) или группу неэлитных спортсменов (НГ; n = 10).
Оборудование и задачи
Для измерения величины и направления силы использовалась векторная система. Датчик трехосевого тензометрического преобразователя использовался для измерения величины и направления силы по оси Z приблизительно 9800 Н (в 1 тонне), по осям X и Y приблизительно 4900 Н (в 500 кг), и нелинейность (1%). Максимальная нагрузка составляла 150%. В то время как ось Z измеряла испытуемого в горизонтальном направлении, оси Y и X измеряли их в вертикальном и горизонтальном направлениях. Мы измерили величину силы, появляющейся в направлениях X, Y и Z, и сумму векторов силы с частотой дискретизации 200 Гц.
Мы использовали систему оптических камер захвата движения (Optitrack, Natural Point, Inc. USA) для анализа трехмерных изображений, записанных во время выполнения сэойнагэ. Кинематические переменные испытуемых, т.е. угол вращения плеча и таза (вращение против часовой стрелки + значение, вращение по часовой стрелке − значение), угол наклона плеча и таза (задний наклон + значение, передний наклон − значение), и углы тазобедренного и коленного суставов (разгибание + значение, сгибание − значение), измерялись с использованием 20 камер. Частота кадров камеры захвата движения составляла 120 кадров в секунду, и отражающие маркеры были размещены на голове, плече, бедре, колене, лодыжке и задней верхней подвздошной ости для измерения производительности.
Результаты исследования
Основные результаты показали, что элитные спортсмены (ЭГ) демонстрировали более стабильный баланс и контроль силы, чем неэлитные спортсмены (НГ). Эти данные указывают на то, что элитные спортсмены демонстрировали более гибкое вращение плеч и таза и могли приближать тело соперника с помощью правильного сгибания заднего плеча и таза.
Кинематические переменные при выполнении сэойнагэ
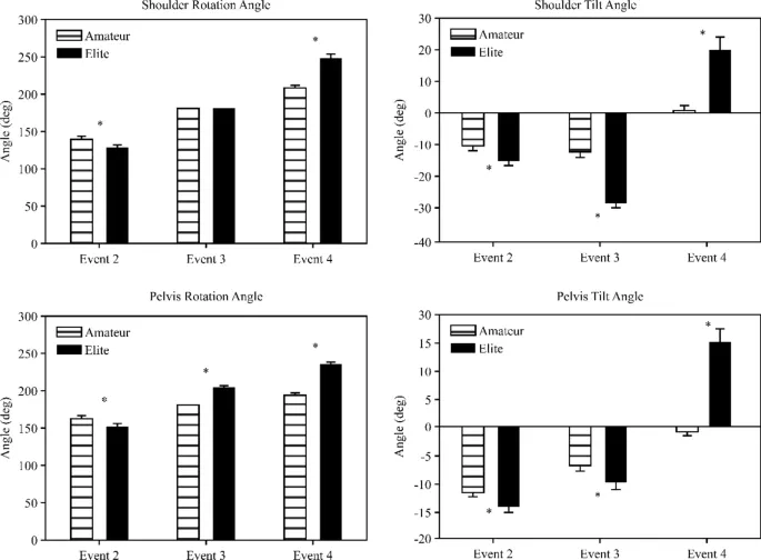
В Событии 2 угол горизонтального вращения плеча составлял 129,13° (СО = 20,37) и 138,9° (стандартное отклонение [СО] = 26,12) в ЭГ и НГ соответственно. После События 3 угол составлял 180°. Впоследствии угол достиг максимального значения в Событии 4 и показал значительную разницу между ЭГ и НГ (247,4° [СО = 36,69] против 208,3° [СО = 18,54]).
Углы переднего и заднего наклона плеча в Событии 2 составляли −15,13° (СО = 9,61) и −10,42° (СО = 10,25) в ЭГ и НГ соответственно. В Событии 3 угол составлял −28,65° (СО = 6,40) и −12,14° (СО = 12,66) в ЭГ и НГ соответственно. В Событии 4 угол наклона в ЭГ и НГ значительно отличался (19,54° [СО = 29,23] против 0,62° [СО = 12,01]).
Анализ движения таза и суставов
Во всех событиях ЭГ проявлял больший угол горизонтального вращения таза, чем НГ. В Событии 2 угол вращения в ЭГ и НГ составлял 163,9° (СО = 26,80) и 153,8° (СО = 22,25) соответственно. В Событии 3 наблюдалась значительная разница между ЭГ и НГ (205,7° [СО = 9,21] против 181,0° [СО = 10,47]). Более того, мы наблюдали значительную разницу между ЭГ и НГ в Событии 4 (235,4° [СО = 23,97] против 194,4° [СО = 15,71]).
Углы переднего и заднего наклона таза значительно отличались между группами. В Событии 3 угол наклона в ЭГ и НГ составлял 9,91° (СО = 7,58) и −6,72° (СО = 4,90) соответственно. Кроме того, угол наклона в Событии 4 составлял 15,13° (СО = 15,92) и −0,74° (СО = 4,90) в ЭГ и НГ соответственно.
Обсуждение и выводы
Настоящее исследование изучило кинематические характеристики сэойнагэ у элитных и неэлитных спортсменов с разными уровнями мастерства. Мы измерили кинематические паттерны реактивных ответов относительно четырех событийных движений сэойнагэ. Основные результаты указали, что элитные спортсмены (ЭГ) показывали более стабильный баланс и контроль силы, чем неэлитные спортсмены (НГ).
Практическое значение исследования
Сэойнагэ оказывает большее влияние, чем лучше вращение тела. Известно, что элитные спортсмены вращают свои тела больше во время сэойнагэ, чем неэлитные спортсмены, согласно исследованиям Франчини и коллег. ЭГ имел меньший угол горизонтального вращения плеча, чем НГ в Событии 2 в точке максимального развития силы. Предположительно, он уделял больше внимания внутреннему тяговому усилию и upward наклону, чем вращению плеча.
НГ в текущем исследовании демонстрировали контроль силы и гибкость своих торсов меньше, чем соответствующие ЭГ во время сэойнагэ. Сниженный контроль торса и силы может быть связан с несогласованностью в торсе и нижних конечностях. Инерционная сила, необходимая для позиционирования соперника, может быть связана с диапазоном наклона плеча и таза.
Эффективный навык сэойнагэ требует стабильности нижних конечностей и когнитивного процесса высокого уровня, такого как формулирование двигательного плана и последующая организация движений согнутого шага в соответствии со свойствами окружающей среды.
Заключение
Это исследование выявило specificческие кинематические характеристики сэойнагэ в реактивном движении с уровнями мастерства. В заключение, результаты этого исследования предполагают, что способность сэойнагэ влияет на планирование двигательного исполнения и реализацию двигательных программ в рамках экспертизы. Основываясь на данных нашего исследования, представляется, что угол вращения и контроль движения, связанные с плечом, тазом, бедром и коленом, являются важным фактором, который имеет тенденцию принимать больший контроль над балансом торса и нижних конечностей во время сэойнагэ.
По сравнению с другими НГ, ЭГ демонстрировали эффективный контроль торса и нижнего движения при событиях сэойнагэ. Результаты настоящего исследования помогут направлять разработку стратегий сэойнагэ у элитных и неэлитных спортсменов, направленных на продвижение их способности к движению торса и нижних конечностей для усиления в ответ на вызовы мастерства. Ограничением нашего исследования является небольшой размер выборки. Дальнейшие исследования с большим размером выборки необходимы для валидации выводов настоящего исследования. Более того, необходимо дальнейшее изучение, чтобы определить, улучшит ли такое тренировочное вмешательство сэойнагэ у неэлитных спортсменов.