Аутизм и методы отслеживания взгляда: ранняя диагностика через совместное внимание

Аутизм и методы отслеживания взгляда: ранняя диагностика через совместное внимание

Интересное сегодня

Влияние психологических факторов на экологическое поведение ...

Влияние психологических факторов на экологическое поведение и благополучие Изменение климата — это ...

Как артериальное давление, осознание болезни и приверженност...

Влияние гипертонии на качество жизни и эмоциональное состояниеГипертония, или повышенное артериально...

Как спасти ваши отношения и стать счастливее, чем когда-либо

Мы с моим парнем переживали проблемы несколько месяцев и в начале ноября решили расстаться. Но к кон...

Связь функциональной активности сети значимости с самооблада...

Связь функциональной активности сети значимости с самообладанием Взаимодействие сети значимости с це...

Влияние экономического положения и образа жизни на психическ...

Психическое здоровье и его значение Психическое здоровье является неотъемлемой частью общего благопо...

Составность мышления у павианов: эксперименты с отрицанием

Введение Базовой ментальной операцией, лежащей в основе структурной сложности языка, является состав...

рисунок 1
рисунок 1
рисунок 2
рисунок 2
рисунок 3
рисунок 3
рисунок 4
рисунок 4
рисунок 5
рисунок 5
рисунок 6
рисунок 6
Thumbnail 1
Thumbnail 2
Thumbnail 3
Thumbnail 4
Thumbnail 5
Thumbnail 6
Оригинал исследования на сайте автора

Введение

Расстройство аутистического спектра (РАС) — это гетерогенное состояние как по фенотипическим характеристикам, так и по тяжести поведенческих симптомов (Jeste & Geschwind, 2014). Сопутствующие состояния чрезвычайно распространены у детей с РАС: примерно 60–70% имеют хотя бы одну коморбидность (Hirota & King, 2023), а 48% испытывают две или более сопутствующих проблем (Simonoff et al., 2008). Эти факторы усложняют диагностический процесс и создают дополнительные трудности для точной постановки диагноза.

Современные методы диагностики

В настоящее время диагностический процесс РАС включает нейроразвивающий анамнез, клинические оценки языка, функциональности, интеллектуальных способностей и оценку образовательных или профессиональных навыков. Также проводятся медицинские обследования и использование стандартизированных инструментов, таких как тесты и генетические исследования, чтобы исключить другие неврологические состояния или оценить возможные коморбидности (Johnson & Myers, 2007). Однако в некоторых странах использование этих золотых стандартов диагностики может быть ограничено из-за высоких финансовых затрат и необходимости специальной подготовки и экспертизы оценщиков (Klin, 2015).

Роль отслеживания взгляда

В этом контексте всё больше исследований используют объективный метод отслеживания взгляда для количественной оценки визуального внимания в поиске потенциальных биомаркеров, способствующих раннему выявлению РАС (Johnson & Myers, 2007; Magán-Maganto et al., 2017; Pierce et al., 2016). Технология отслеживания взгляда фиксирует направление взгляда детей через видеокамеру устройства, либо в естественной обстановке, либо на экране компьютера, и может применяться с самого раннего возраста.

Совместное внимание и РАС

Совместное внимание (СВ) — это ключевой социально-когнитивный навык, который начинает формироваться уже в 5 месяцев и продолжает развиваться. Эта способность включает в себя разделение внимания и фокусировку на объектах и событиях с другими, а также понимание намерений других людей (Tomasello et al., 2005; Mundy et al., 2018). СВ играет значительную роль в ранней коммуникации, развитии языка и социальном взаимодействии.

Типы совместного внимания

  • Ответ на совместное внимание (ОСВ): способность следить за взглядом другого человека.
  • Инициация совместного внимания (ИСВ): способность привлечь внимание другого человека и направить его на общий опыт.

Методы и участники исследования

В исследовании приняли участие 784 ребёнка в возрасте от 7 до 48 месяцев из малообеспеченных районов Сан-Паулу. Все дети прошли оценку с помощью шкалы CARS (Childhood Autism Rating Scale) и тестирование с использованием айтрекера Tobii Pro Fusion.

Процедура тестирования

Движения глаз записывались с частотой 120 Гц. Каждый ребёнок располагался на расстоянии примерно 50 см от экрана. Перед началом процедур проводилась калибровка из пяти точек для повышения точности данных.

Результаты

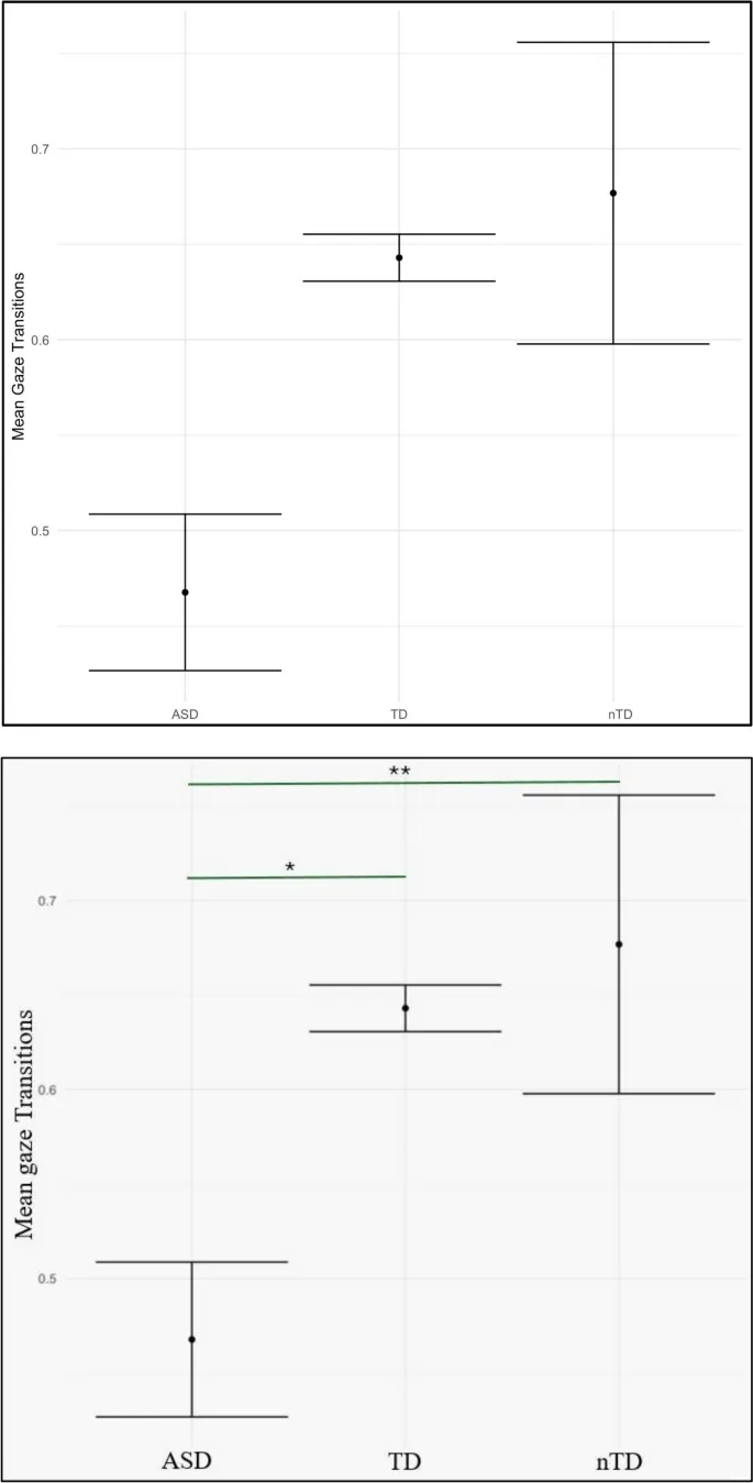
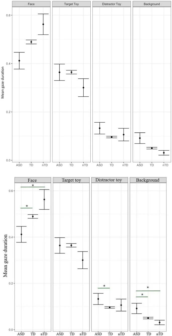
Результаты показали, что дети с РАС проводят меньше времени, глядя на лицо человека, и больше — на фон, по сравнению с типично развивающимися детьми и детьми с другими нарушениями развития. Также у них отмечалось меньше переходов взгляда между областями интереса.

Точность классификации

Кривая ROC показала AUC = 0,65 для идентификации детей с РАС в混合ной выборке, что указывает на умеренную точность метода.

Обсуждение

Исследование подтвердило, что отслеживание взгляда может быть эффективным инструментом для скрининга РАС в естественных условиях, особенно в регионах с низким социоэкономическим статусом. Однако метод не заменяет полноценную диагностику, а служит дополнительным инструментом.

"Сниженное внимание к социальной информации отличает детей с РАС от типично развивающихся детей и детей с другими нарушениями развития."

Заключение

Использование технологии отслеживания взгляда в условиях яслей демонстрирует потенциал для разработки стандартизированных процедур скрининга РАС. Дальнейшие исследования должны быть направлены на повышение точности метода и его интеграцию в клиническую практику.

Короткие версии статей можно найти в телеграм-канале.

Посмотреть канал
Кликните еще раз для перехода

Бутылочка Курносики 240 мл с силиконовой соской | Аптека

Детская бутылочка Курносики объемом 240 мл изготовлена из безопасного полипропилена с силиконовой со...

Клинекс-Велти носовые платки Персик | Мягкие бумажные салфет...

Клинекс-Велти Платки Бумажные Носовые Персик — мягкие и прочные салфетки для бережного ухода за коже...

Ручной молокоотсос Philips Avent с бутылочкой 125 мл

Ручной молокоотсос Philips Avent с эргономичным дизайном обеспечивает комфортное сцеживание без накл...

Лошадиная Сила Маска для Волос Питательная 250 мл

Питательная маска «Лошадиная Сила» для восстановления и ухода за ослабленными и секущимися волосами....

Валериана+Хмель+Мята драже 200 мг №50 — поддержка нервной си...

Драже 'Валериана+Хмель+Мята' — натуральный комплекс для поддержки нервной системы. Сочетание экстрак...

Линдем Экстрагард фиксатор для двери – купить в аптеке

Линдем Экстрагард – эффективный фиксатор для двери, который обеспечивает дополнительную безопасность...