
Интересное сегодня
Влияние личностных качеств на восприятие зрительного контакт...
Введение В реальной жизни зрительный контакт является мощным социальным сигналом, который выполняет ...
Эффективные компоненты программ добровольного домашнего визи...
Введение Родительство может быть стрессовым и требует регулярной переоценки новых жизненных ситуаций...
Защитные факторы, влияющие на здоровье мигрантов в строитель...
Введение Работа в строительной отрасли связана с высокими физическими нагрузками и неблагоприятными ...
Психологическое благополучие сотрудников Гражданской Гвардии...
Введение Гражданская Гвардия является одним из двух силовых ведомств Испании наряду с Национальной п...
Как бороться с дезинформацией: стратегия обхода вместо опров...
Введение: новые подходы к борьбе с дезинформацией Снижение негативного воздействия дезинформации тр...
Связь сенсорной гиперчувствительности и аутистических черт у...
Введение Расстройство аутистического спектра (РАС) — это нейроразвивающееся состояние, характеризующ...
Введение
Дошкольный возраст является критически важным периодом для развития внимания и поведенческого формирования. Это время, когда высокая восприимчивость мозга к различным переживаниям повышает его уязвимость как к положительным, так и к отрицательным влияниям (Belsky, 2013; Brown & Jernigan, 2012). Материнская депрессия была идентифицирована как значительный фактор риска, связанный с развитием детей, в особенности усугубляющий интернализирующее и экстернализирующее поведение, а также общую психопатологию, особенно в семьях с низким доходом (Baker et al., 2020; Goodman et al., 2011). Выявление защитных факторов для противодействия этим эффектам является крайне важным. Продолжительность сна, известная своей регулирующей ролью в эмоциях и поведении (Mindell et al., 2017), может быть потенциальным защитным фактором. Данное исследование изучает, как достаточный сон может смягчить влияние материнской депрессии на дошкольников, подчеркивая необходимость целевых программ вмешательства для детей из группы риска.
Материнская депрессия и развитие дошкольников
Депрессия — это распространенное психическое расстройство, характеризующееся prolonged sadness (продолжительной грустью) и disinterest (потерей интереса) (Gelaye et al., 2016), особенно распространенное среди женщин детородного возраста (Kessler, 2003). Она создает долгосрочные риски для психологического развития детей из-за своего рекуррентного характера (Ten Have et al., 2018) и может приводить к когнитивным и поведенческим проблемам (Goodman et al., 2011; Bagner et al., 2010). Материнская депрессия может формировать развитие ребенка через два основных пути: она может ухудшать родительское поведение, приводя к менее позитивным взаимодействиям (Lovejoy et al., 2000; Bernard et al., 2018), и нарушать домашние рутины, способствуя созданию хаотичной среды, которая подрывает саморегуляцию и социально-эмоциональный рост детей (Manczak et al., 2017; Hur et al., 2015).
Хронические стрессоры могут усугублять материнскую депрессию (Bartolomucci & Leopardi, 2009), но защитные факторы, такие как структурированные daily routines (повседневные routines) (Nolen-Hoeksema & Watkins, 2011; Ivanova & Israel, 2006; Selman & Dilworth-Bart, 2024) и adequate sleep (достаточный сон) (Zajicek-Farber et al., 2012), могут смягчать ее негативное влияние на детей.
Продолжительность сна
Сон крайне важен для дошкольников, которым обычно требуется 10–13 часов сна каждую ночь для поддержания здоровья и развития (El-Sheikh et al., 2013, Hirshkowitz et al., 2015). Недостаточный сон может ухудшать когнитивные функции и способствовать социально-эмоциональным проблемам (Astill et al., 2012; Turnbull et al., 2013; Hysing et al., 2016). Однако поддержание адекватного сна в раннем детстве может быть challenging (сложной задачей) (Reynaud et al., 2018), особенно под давлением материнской депрессии, которая может нарушать постоянный график сна (Warren et al., 2006; Covington et al., 2019).
Влияние социально-экономических факторов
Эта проблема часто усугубляется экономическими disadvantage (неблагоприятными условиями), которые связаны с более короткой продолжительностью сна (El-Sheikh et al., 2013). В условиях низкого дохода и высокого риска эти challenges (трудности) усиливаются такими факторами, как непостоянное время отхода ко сну из-за нерегулярного рабочего графика родителей и disorganization (дезорганизации) домашнего хозяйства (Marsh et al., 2020; Hoyniak et al., 2022). Эти социально-экономические и environmental (средовые) факторы критически изменяют patterns (модели) сна и подчеркивают сложное взаимодействие переменных, влияющих на благополучие ребенка (Boles et al., 2016; Grandner et al., 2016).
Роль материнского состояния
Кроме того, матери с депрессией также могут struggle (бороться) с собственными проблемами сна, что затрудняет их способность управлять режимом сна своих детей (Goyal et al., 2007). Их повышенная negativity (негативность) и harshness (строгость) могут further prevent (дополнительно мешать) детям успокоиться и достичь состояния, необходимого для хорошего сна (Lovejoy et al., 2000). Эти факторы крайне важны, поскольку дошкольники сильно зависят от своих матерей в уходе, а недостаточный сон может значительно ухудшить их когнитивное и поведенческое развитие (Reynaud et al., 2018).
Сон как защитный фактор
Материнская депрессия может осложнять режим сна и траектории развития детей, но adequate sleep (достаточный сон) может смягчать эти неблагоприятные исходы. Установление consistent sleep practices (последовательной практики сна), такой как установление раннего времени отхода ко сну (Mindell et al., 2009) при involvement (вовлечении) вторичных caregivers (лиц, осуществляющих уход) (Martin et al., 2022), может помочь обеспечить достаточный сон и ослабить давление материнской депрессии. Учитывая критическую роль сна в эмоциональной и behavioral regulation (поведенческой регуляции) (Mindell et al., 2017), он обладает потенциалом уменьшать влияние материнской депрессии на поведение дошкольника. Следовательно, достаточный сон может предложить детям матерей с депрессией benefits (преимущества), выходящие за рамки просто buffering (буферизации) материнского стресса.
Цели и гипотезы исследования
Исследования демонстрируют, что связь между продолжительностью сна и благополучием может следовать U-образной кривой как у взрослых (Cappuccio et al., 2010), так и у детей, как подчеркивают James и Hale (2017), что указывает на то, что как недостаточный, так и избыточный сон могут detrimental (пагубно) влиять на благополучие. Тем не менее, противоречивые findings (результаты), такие как полученные Price et al. (2016), указывают на линейную связь, оставляя вопрос об optimal sleep durations (оптимальной продолжительности сна) для развития ребенка нерешенным.
Учитывая, что режим сна может быть особенно нарушен у детей матерей с депрессией (Covington et al., 2019), понимание характера этой связи, будь то линейная или нелинейная, становится критически важным. Данное исследование направлено на выяснение роли продолжительности сна в благополучии детей в контексте материнской депрессии, тем самым заполняя пробел в текущем понимании и потенциально направляя будущие стратегии вмешательства.
Основные цели
Основной целью этого исследования было изучить, как продолжительность сна и материнская депрессия взаимодействуют, влияя на проблемы с вниманием, экстернализирующие и интернализирующие проблемы у дошкольников из семей с низким доходом и высоким риском. Мы hypothesize (выдвигаем гипотезу), что более длительная продолжительность сна будет mitigate (смягчать) связь между материнской депрессией и проблемами с вниманием, экстернализирующими и интернализирующими проблемами.
Методология исследования
Мы сообщаем, как мы определили все исключения данных, размер выборки, манипуляции и меры в исследовании, в соответствии со стандартами отчетности для количественных исследований (Appelbaum et al., 2018; Simmons et al., 2012). Это исследование анализировало обезличенные, общедоступные данные из Future of Families and Child Wellbeing Study (FFCWS). В соответствии с федеральными правилами США (45 CFR 46.102(e)(1)) эти вторичные анализы не составляли исследования с участием людей; следовательно, обзор IRB (Institutional Review Board - Этический комитет) и информированное согласие для настоящих анализов не требовались.
Участники
Данные для этого исследования были получены из Future of Families and Child Wellbeing Study (FFCWS; подробный дизайн исследования можно найти в Reichman et al., 2001). FFCWS, longitudinal survey (лонгитюдное исследование), отслеживало более 4800 детей, родившихся в 20 крупных городах США в период с 1998 по 2000 год. Выборка исследования была stratified (стратифицирована) и случайным образом отобрана из городов США с населением более 200 000 человек.
Меры и инструменты
Материнская депрессия: В исследовании депрессия измерялась с помощью Composite International Diagnostic Interview – Short Form (CIDI-SF; Kessler et al., 1998), предназначенного для оценки симптомов депрессии и обычно используемого для диагностики больших депрессивных расстройств (APA, 1994).
Продолжительность сна: Когда детям исполнялось 5 лет, матери сообщали об общем количестве часов, которые их ребенок спал в будний день.
Детские меры: Контрольный список детского поведения (Child Behavior Checklist, CBCL/4-18) использовался для оценки экстернализирующих, интернализирующих проблем и проблем с вниманием у детей (Achenbach, 1992) в интервью с основным опекуном.
Результаты исследования
Результаты статистического анализа настоящего исследования представлены в следующих подразделах. Предварительный анализ показал, что большинство детей в выборке спали от 8 до 10 часов ночью, причем наибольший процент детей (33%) спал 10 часов. Значительное число детей (24%) спали 9 часов, а 22% спали 8 часов. Кроме того, около 88% участвующих матерей сообщили об отсутствии клинической депрессии, а 12% сообщили о клинической депрессии.
Ключевые выводы
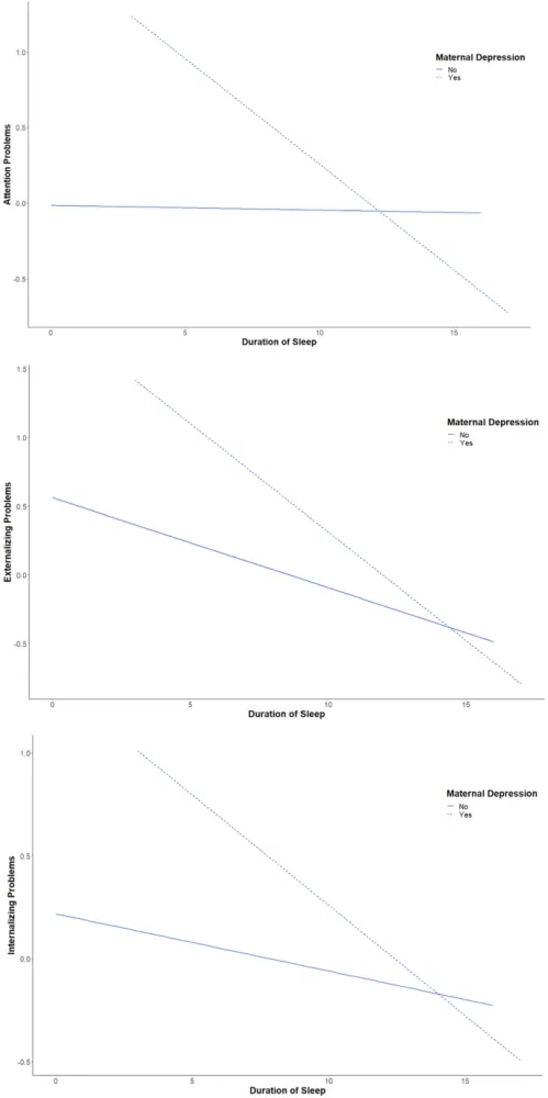
- Для проблем с вниманием мы наблюдали значительный эффект взаимодействия между продолжительностью сна и материнской депрессией.
- Для экстернализирующих проблем проявилась схожая картина: взаимодействие между продолжительностью сна и материнской депрессией было значительным.
- Для интернализирующих проблем взаимодействие между продолжительностью сна и материнской депрессией также было значительным.
Обсуждение результатов
Мы изучили, как продолжительность сна взаимодействует с материнской депрессией и связана с проблемами внимания, экстернализирующего и интернализирующего поведения у дошкольников. Что касается проблем с вниманием, взаимодействие между продолжительностью сна и материнской депрессией значимо влияет на исходы. В случае экстернализирующих проблем наблюдалось значимое взаимодействие, при котором более длительная продолжительность сна ассоциировалась с меньшим количеством экстернализирующего поведения. Для интернализирующих проблем взаимодействие также было значимым.
Заключение и выводы
В заключение, наше исследование показывает, что более длительная продолжительность сна смягчает влияние материнской депрессии на проблемы с вниманием, экстернализирующее и интернализирующее поведение у дошкольников. Эти результаты подчеркивают важность adequate sleep (достаточного сна) в раннем детстве, особенно для детей из группы риска due to (из-за) проблем с психическим здоровьем матери.
Достаточный сон является краеугольным камнем здорового развития ребенка и может служить мощным буфером против негативного воздействия материнской депрессии на формирующуюся психику дошкольника.