Взаимосвязь интероцепции и когнитивных функций при фибромиалгии: научное исследование

Взаимосвязь интероцепции и когнитивных функций при фибромиалгии: научное исследование

Интересное сегодня

Синдром выгорания у преподавателей вузов: причины, последств...

Введение В последние годы растёт обеспокоенность состоянием здоровья преподавателей университетов. П...

Вклад психологии в достижение Целей устойчивого развития: ан...

Введение В 1958 году, в течение первого десятилетия своего существования, Организация Объединенных Н...

Влияние модели 5А на психологические симптомы при СПКЯ: резу...

Введение Синдром поликистозных яичников (СПКЯ) — эндокринное нарушение у женщин, клинические проявле...

Как дым от лесных пожаров влияет на мозг и как защитить здор...

Влияние дыма от лесных пожаров на мозг В последние недели лесные пожары в Лос-Анджелесе привели к ги...

Нейронные схемы, время и пол: ключ к пониманию импульсивност...

Влияние нейронных схем, времени и пола на принятие решений Исследователи из Кембриджского унив...

Роль контрастных признаков в зрительном восприятии крыс: исс...

Введение в визуальное восприятие паттернов Все сложные зрительные задачи, такие как распознавание об...

рисунок 1
рисунок 1
рисунок 2
рисунок 2
рисунок 3
рисунок 3
Thumbnail 1
Thumbnail 2
Thumbnail 3
Оригинал исследования на сайте автора

Введение в проблему интероцепции при фибромиалгии

Интероцепция, внутреннее чувство телесного состояния, представляет собой способность обнаруживать, представлять и интерпретировать различные сигналы организма, такие как сердцебиение, жажда, вкус, зуд или боль. Это важно для координации сознательных и бессознательных гомеостатических (или аллостатических) адаптаций, управления эмоциональными и когнитивными реакциями и способствует выбору поведения. Изучение интероцепции оказалось сложной задачей, и дебаты относительно измерений интероцепции продолжаются, отражая многомерную природу концепции и проблемы измерения субъективных понятий.

Одна из наиболее принятых точек зрения рассматривает три основных компонента интероцепции:

  • Точность интероцепции (Interoceptive Accuracy, IAc) - способность обнаруживать сигналы тела в интероцептивных задачах, измеряемая, например, с помощью задачи обнаружения сердцебиения, где количество сердцебиений, о которых сообщает человек, сравнивается с фактическим количеством сердцебиений, записанных на электрокардиограмме
  • Чувствительность интероцепции (Interoceptive Sensibility, IS) - самооцененная способность воспринимать и регулировать сигналы тела, оцениваемая с помощью вопросников, таких как Многомерная оценка интероцептивной осознанности (MAIA)
  • Осознанность интероцепции (Interoceptive Awareness, IAw) - отношение между уверенностью человека в обнаружении своего сердцебиения и фактической точностью

Клиническая значимость интероцептивных способностей

Улучшенные интероцептивные способности позволяют рано обнаруживать сигналы телесного вреда, саморегуляции и поведения восстановления, которые способствуют здоровью и исцелению. Развитие интероцептивных способностей может быть необходимым для людей, сталкивающихся с хроническими болевыми состояниями, где восприятие сигналов тела должно быть интегрировано для pursuit соответствующих поведений здоровья и стратегий саморегуляции.

Однако данные о хронических болевых состояниях описывают атипичную точность интероцепции и интероцептивную чувствительность. В частности, при фибромиалгии - хроническом болевом состоянии с болью, усталостью, проблемами сна и когнитивной дисфункцией как основными симптомами - исследования точности интероцепции показали смешанные результаты. Несколько исследований предполагают более низкую точность интероцепции по сравнению с неклиническими людьми, но другие не смогли подтвердить эти находки.

Методология исследования

Тридцать пациенток с фибромиалгией были набраны через направления врачей из ревматологического отделения местной больницы в Лиссабоне. Врач описал общую цель исследования (изучить способность сообщать о боли и других субъективных мерах), а также процедуры. Те, кто был готов участвовать, предоставили свою контактную информацию. Приглашались к участию только те, у кого был формальный диагноз от врача, согласно критериям Американского колледжа ревматологии (ACR) 1990 года и recent диагностическим критериям.

Критерии включения и исключения

Дополнительные критерии включения были: возраст старше 18 лет, женский пол, стабильная медикаментозная терапия в течение по крайней мере 4 недель до их участия и предоставление подписанного информированного согласия. Критерии исключения включали беременность или грудное вскармливание, persistent или тяжелую инфекцию в течение предыдущих 30 дней, диагностированные психиатрические состояния, коморбидность с другими ревматическими заболеваниями, неконтролируемое медицинское состояние (например, сахарный диабет, ишемическая болезнь сердца) или признаки демиелинизирующего заболевания.

Оценка интероцепции

Точность интероцепции (IAc) измерялась с помощью задачи обнаружения сердцебиения (HDT), разработанной исследователями. Эта задача сравнивает самоотчет участников о подсчитанных сердцебиениях с объективными сердцебиениями, собранными с помощью электрокардиографии (ЭКГ). Участники сидели в тихой комнате без отвлечений, в удобном кресле с опорой для рук. Им было предложено оставаться расслабленными, избегать внезапных движений и сосредоточиться на своих внутренних переживаниях без проверки пульса или использования каких-либо вспомогательных средств.

Задача началась с 5-минутного периода отдыха, за которым последовала тренировочная попытка продолжительностью 15 секунд. Затем участники выполнили три фазы подсчета различной продолжительности в фиксированном порядке (25, 35, 45 секунд) с 30 секундами отдыха между попытками. Каждая фаза подсчета начиналась и заканчивалась тоном, во время которой участникам было предложено молча считать сердцебиения на основе телесных ощущений без физических манипуляций или манипуляций с дыханием, сообщая о подсчитанных сердцебиениях в конце каждой фазы.

Когнитивная оценка

Исполнительные функции включают процессы высшего когнитивного порядка и сильно модулируются эмоциональными и мотивационными процессами. Предыдущие исследования продемонстрировали, что пациенты с фибромиалгией могут иметь более низкую производительность, чем неклинические группы, в этих исполнительных задачах, особенно тех, которые требуют рабочей памяти и ингибиторного контроля. На основе этих исследований мы оценили исполнительные функции с помощью двух легких в администрировании и хорошо валидированных задач: цифрового теста памяти для измерения рабочей памяти и задачи Струпа для измерения ингибиторного контроля.

Результаты исследования

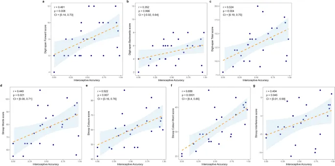
Точность интероцепции (IAc) положительно коррелировала с показателями цифрового теста памяти вперед и общими показателями, показывая умеренные и большие размеры эффекта соответственно. Также наблюдалась тенденция к значимости для задачи цифрового теста памяти назад. Кроме того, IAc показала сильную положительную корреляцию с показателями задачи Струпа: в слове, цвете, цвете-слове и интерференции, показывая средние и большие размеры эффекта.

Взаимосвязь интероцептивной чувствительности и когнитивных функций

В измерении интероцептивной чувствительности (IS) подшкалы MAIA регуляции внимания, саморегуляции и доверия показали умеренные отрицательные корреляции с задачей цифрового теста памяти назад. Не наблюдалось других значимых корреляций между IS и когнитивными задачами.

Значительные отрицательные корреляции были обнаружены между средней уверенностью (CA) и индексом расхождения (DI) и производительностью на показателях цифрового теста памяти вперед, а также на общих показателях цифрового теста памяти. Значительные отрицательные корреляции также наблюдались между CA и DI с производительностью задачи Струпа: слово Струпа, цвет Струпа и цвет-слово Струпа. Все значимые корреляции показали умеренные и большие размеры эффекта.

Обсуждение результатов

Текущее исследование изучило взаимосвязь между измерениями интероцепции и когнитивного функционирования у пациентов с фибромиалгией. Мы обнаружили, что два домена интероцепции по-разному относятся к когнитивной производительности: более низкая точность интероцепции (IAc) была связана с более низкой когнитивной производительностью, особенно в задачах рабочей памяти и ингибиторного контроля, а более высокая интероцептивная чувствительность (IS) в регуляции внимания, саморегуляции и доверии к телесным состояниям была связана с более низкой производительностью в задаче рабочей памяти.

Растущее количество литературы ранее продемонстрировало, что интероцепция связана с эмоциональным благополучием и производительностью в эмоциональных и саморегуляторных задачах как в здоровых, так и в клинических группах

Парадоксальные эффекты интероцепции

Интересно, что, с другой стороны, мы нашли доказательства того, что у пациентов с фибромиалгией более высокая интероцептивная чувствительность (IS) и осознанность интероцепции (IAw) могут иметь пагубные effects на когнитивное функционирование, в конечном итоге истощая ресурсы, которые могли бы быть направлены на когнитивные задачи. В соответствии с предыдущими исследованиями и недавним систематическим обзором и мета-анализами у пациентов с хронической болью, мы обнаружили, что чем выше количество лет симптомов фибромиалгии, тем выше самооцененная способность доверять сигналам тела и саморегулировать их, и тем выше осознанность интероцепции.

Это увеличение показателей измерений интероцепции может указывать на потребность пациентов сознательно и ежедневно интегрировать аномальные телесные состояния из-за хронической боли и других симптомов. Ресурсы для этого постоянного мониторинга могут истощать когнитивные ресурсы пациента. Отрицательные корреляции, найденные между IS и показателями цифрового теста памяти, предполагают, что более высокая тенденция направлять когнитивные ресурсы на обнаружение и мониторинг внутренних состояний (например, болезненных) может быть связана со сниженной способностью манипулировать сложными когнитивными задачами, особенно если у пациентов более сильная симптоматика.

Клинические implications и выводы

В summary, пациенты с фибромиалгией с более низкой способностью точно воспринимать телесные сигналы, particularly на cardiac модальности, могут иметь трудности с использованием этих ключевых сигналов для направления когнитивных способностей. Обнаружение телесных сигналов, specifically cardiac сигналов, eventually связанных с обнаружением ошибок, регуляцией и эмоциональным состоянием, являются предикторами когнитивной производительности у пациентов с фибромиалгией.

Однако, парадоксально, усилия по саморегуляции симптомов и телесных состояний могут способствовать трудностям манипулирования когнитивной информацией. Эти находки заслуживают дальнейшего исследования, чтобы преодолеть их ограничения, такие как (1) отсутствие контроля attentional способностей, психологических симптомов и использования medication, (2) корреляционная природа, (3) single-site набор, и (4) маленький размер выборки на нижнем пороге для статистической мощности.

Тем не менее, текущее исследование подчеркивает необходимость разобраться в роли различных доменов интероцепции в когнитивной производительности и использовать эти знания для предоставления новых путей для specific therapeutic targets на каждом домене интероцепции и на том, какие interventions (например, интероцептивный vs. когнитивный тренинг) могли бы минимизировать когнитивную дисфункцию и снизить страдающий опыт пациентов с фибромиалгией.

Короткие версии статей можно найти в телеграм-канале.

Посмотреть канал
Кликните еще раз для перехода

Москитол Защита для взрослых пластины от комаров 12 шт.

Москитол Защита Для Взрослых — пластины от комаров с эффективной формулой, обеспечивающей длительную...

Грудной сбор №4 — отхаркивающее и противовоспалительное сред...

Грудной сбор №4 в фильтр-пакетах — натуральный травяной комплекс для облегчения состояния при острых...

Бэби Формула Мишки Кальций жевательные пастилки №30 для дете...

Жевательные пастилки Бэби Формула Мишки Кальций с витамином D3 и фосфором для детей от 3 лет. Специа...

Крем Uriage Roseliane CC SPF 30 для чувствительной кожи

Uriage Roseliane CC крем SPF 30 для чувствительной кожи с покраснениями. Средство с тонирующим эффек...

Сабельник Таблетки №60 — средство для суставов

Сабельник в форме таблеток №60 — эффективное средство для поддержания здоровья суставов и опорно-дви...

Наколенник Леонардо из верблюжей шерсти №5 – поддержка и защ...

Наколенник Леонардо №5, изготовленный из натуральной верблюжей шерсти, обеспечивает надежную поддерж...