Двигательная сигнатура расстройств аутистического спектра у взрослых без нарушений интеллекта

Двигательная сигнатура расстройств аутистического спектра у взрослых без нарушений интеллекта

Интересное сегодня

Определяющие факторы тревоги о будущем в Южной Корее: анализ...

Введение Неопределенность будущего в современном обществе способна вызывать тревогу, особенно в усло...

Влияние личностных черт на поведение в области профилактики ...

Введение Рак молочной железы представляет собой значительную мировую проблему охраны здоровья, затра...

Анализ симптомов тревоги у пациентов с хронической обструкти...

Введение Целью данного исследования является изучение классов симптомов тревоги у пациентов, страдаю...

Удовлетворенность жизнью у молодых людей с сахарным диабетом...

Введение Сахарный диабет 1 типа (СД1) — одно из наиболее распространенных хронических заболеваний у ...

Как стресс от рабочих ролей влияет на вовлечённость сотрудни...

Введение На фоне усиливающейся рыночной гомогенизации и распространения «инволюции» в социальной эко...

Опыт и отношение родителей к раскрытию информации детям с ге...

Опыт и отношение родителей к раскрытию информации детям с генетическими синдромами и их братьям и се...

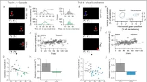
Рис. 1. Система видеоанализа и конфигурация исследования
Рис. 1. Система видеоанализа и конфигурация исследования
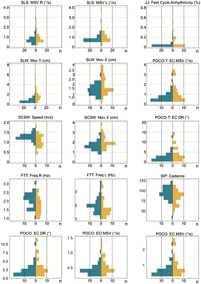
Рис. 2. Гистограммы различий в скорости походки между группой РАС и контрольной группой
Рис. 2. Гистограммы различий в скорости походки между группой РАС и контрольной группой
Thumbnail 1
Thumbnail 2
Thumbnail 3
Thumbnail 4
Thumbnail 5
Оригинал исследования на сайте автора

Двигательная сигнатура расстройств аутистического спектра у взрослых без нарушений интеллекта

Двигательные особенности, такие как диспраксия (нарушение моторного планирования и выполнения движений) и аномальная походка, являются характерными чертами расстройств аутистического спектра (РАС). Однако двигательное поведение у взрослых с РАС редко подвергалось количественной оценке. В данном пилотном исследовании мы стремимся количественно изучить двигательную сигнатуру взрослых с РАС без нарушений интеллекта, используя бесконтактную технологию захвата движения на основе визуального восприятия.

Методология исследования

В исследовании приняли участие 82 человека: 37 взрослых с РАС и 45 здоровых испытуемых (контрольная группа, КГ). У всех участников был коэффициент интеллекта (IQ) выше 85, а возраст находился в пределах от 18 до 65 лет. Участники выполнили девять двигательных задач, а их движения были зафиксированы 3D-инфракрасной камерой. С помощью специализированного программного обеспечения были количественно оценены анатомические модели, и полученные кинематические параметры сравнивались между группами с РАС и КГ. Кроме того, изучалась связь между специфическим двигательным поведением и степенью выраженности аутистических симптомов, оцениваемой по шкалам Autism Diagnostic Observation Schedule 2 (ADOS-2) и Autism Spectrum Quotient (AQ).

Основные результаты

Взрослые с РАС продемонстрировали большую медиолатеральную (в стороны) отклонение при ходьбе, повышенное покачивание (колебание) во время выполнения тестов на поддержание равновесия (обычное, тандемное положение и стойка на одной ноге). Также наблюдалось снижение скорости ходьбы и каденции (частоты шагов), большая аритмичность при выполнении прыжков «jumping jack» и нарушение мелкой моторики рук при выполнении теста на постукивание пальцами (p < 0.48) по сравнению с контрольной группой.

«Взрослые с РАС, по-видимому, демонстрируют специфическую двигательную сигнатуру при этом расстройстве, затрагивающую тайминг движений и аспекты равновесия», — отмечают исследователи.

Более того, в группе с РАС некоторые из этих параметров умеренно коррелировали со степенью выраженности симптомов РАС. Полученные данные, по-видимому, подкрепляют знания о двигательных признаках, описанных у детей и подростков с РАС.

Значение исследования

Количественная оценка двигательных функций с помощью визуально-перцептивных вычислений может стать перспективным инструментом для выявления тонких двигательных нарушений при РАС и, возможно, быть полезной в будущем для диагностики этого расстройства.

Введение

Помимо основных симптомов расстройств аутистического спектра (РАС), таких как трудности в социальной коммуникации и взаимодействии, а также ограниченные, повторяющиеся модели поведения, интересов или действий, у детей и подростков с РАС описываются специфические двигательные признаки, такие как диспраксия. Однако информации о моторных функциях у взрослых с РАС крайне мало.

Двигательные признаки при РАС были описаны еще в 1943 году Каннером, который наблюдал у детей с РАС моторную «неловкость». С момента нейроанатомического описания гипоплазии (недоразвития) червя мозжечка у людей с РАС в 1988 году было предпринято множество попыток количественной оценки моторных функций. Метаанализ показал, что от 21% до 100% детей и подростков с РАС демонстрируют выраженные изменения в двигательном поведении. Данные о нарушениях межполушарной координации (мозолистое тело) и неврологических «мягких» признаках, таких как дисдиадохокинез (нарушение последовательных противоположных движений), у детей с РАС без нарушений интеллекта указывают на общее отличие моторных функций. Функциональные отличия в моторике у детей с РАС были связаны с нарушениями социальных, коммуникативных и поведенческих навыков, и, следовательно, с общей степенью тяжести РАС.

Моторные навыки у детей в возрасте от 3 до 16 лет обычно оцениваются с использованием наборов клинических оценок, например, Movement Assessment Battery for Children (MABC2). MABC2 включает в себя задания на выполнение и чек-лист. Во время выполнения заданий дети проходят серию тестов на мелкую и крупную моторику, оценивающих области «ловкость рук», «равновесие» и «прицеливание и ловля». С помощью чек-листа родитель или опекун оценивает моторные функции ребенка по 30-пунктовой шкале. Перин и коллеги провели оценку физиологического профиля (Physiological Profile Assessment, PPA) у детей с РАС и здоровых детей, оценивая зрение, периферическую чувствительность, силу мышц нижних конечностей, время простой реакции и равновесие, что подтвердило, среди прочего, постуральную нестабильность у детей с РАС.

В последние годы произошел значительный прогресс в методах количественной оценки различных моторных функций, например, с использованием чувствительных к давлению дорожек (например, GAITRite Walkway®), носимых датчиков движения (например, Mobility Lab) или полноростового захвата движения с использованием видеосистем (Vicon Motion Systems®, Motognosis Labs). Эти новые технологии использовались для количественной оценки моторных функций у детей с РАС, например, характеристик походки с использованием GAITRite Walkway® и других 3D-систем захвата движения, а также постурального контроля посредством тестов на удержание равновесия с использованием силовых плат. Однако предварительные данные о моторных функциях у лиц с РАС в основном основаны на исследованиях детей и подростков.

«Неловкость», наблюдаемая в детском возрасте при РАС, по-видимому, сохраняется, как показало 10-летнее проспективное исследование. Кроме того, степень выраженности двигательных признаков у детей с РАС, по-видимому, положительно коррелирует с тяжестью РАС во взрослом возрасте. В исследовании, где диагноз РАС оценивался по самоотчетам у взрослых, неуклюжесть и другие симптомы диспраксии встречались почти в семь раз чаще, чем в контрольной группе. В том же исследовании диспраксия в общей популяции взрослых была связана с более выраженными аутистическими чертами.

В последние годы были предприняты некоторые усилия по оценке моторных навыков у взрослых с РАС. В метаанализе Лама и коллег, из 18 исследований только 3 количественно оценили характеристики походки, такие как скорость ходьбы и время цикла походки, специально у взрослых с РАС, причем одно из них включало всего четырех участников. Например, анализ походки с использованием чувствительной к давлению дорожки GAITRite выявил снижение скорости ходьбы и уменьшение постуральной стабильности у молодых взрослых с РАС. Снижение скорости ходьбы у взрослых с РАС также было отмечено в исследовании Армитано и коллег с использованием чувствительной к давлению поверхности walkway (Zeno Walkway). Тем не менее, количественной, системной оценки различных двигательных характеристик у лиц с РАС по-прежнему не хватает.

Однако информация о моторных навыках важна для диагностического процесса. Особенно взрослые с РАС без нарушений интеллекта диагностируются очень поздно или не диагностируются вовсе по сравнению с лицами с РАС и нарушениями интеллекта. Часто диагноз РАС ставится как случайное открытие, когда взрослые с РАС без нарушений интеллекта обращаются за помощью по поводу психического коморбидного состояния, например, депрессии. Тем не менее, влияние двигательных признаков у взрослых с РАС на уровень нарушения и участие в жизни общества еще предстоит определить. Более точное описание двигательной сигнатуры РАС у взрослых поможет восполнить этот пробел.

В данном пилотном исследовании мы оцениваем применение клинически применимой методики оценки различных моторных функций у взрослых с РАС без нарушений интеллекта. Мы получили количественное описание двигательного поведения на основе короткого протокола двигательных тестов с использованием визуально-перцептивных вычислений. Этот протокол ранее был технически валидирован на здоровых испытуемых, и метод использовался в нескольких группах пациентов, например, при рассеянном склерозе, с высокой степенью удобства использования. Двигательная сигнатура РАС определялась путем сравнения с контрольной группой здоровых людей и путем исследования взаимосвязи между двигательными параметрами и степенью выраженности синдрома РАС. Мы предполагаем, что взрослые с РАС без нарушений интеллекта будут отличаться по моторным функциям от здоровых людей. Следуя данным, полученным у детей с РАС, мы предполагаем снижение скорости движений и ухудшение мелкой моторики у взрослых с РАС без нарушений интеллекта. Мы также предполагаем наличие связи между отличительными двигательными особенностями РАС и степенью выраженности аутистических симптомов на основе предварительных данных о связи между поведенческими данными о двигательных особенностях РАС и степенью выраженности симптомов РАС.

Методы

Исследуемая выборка

В общей сложности мы обследовали 82 субъекта: тридцать семь взрослых с РАС без нарушений интеллекта (средний возраст ± стандартное отклонение 36,9 ± 1,7 года, 18 женщин) и сорок пять здоровых испытуемых (средний возраст 33,0 ± 1,3 года, 24 женщины), подобранных по возрасту и полу. Были включены лица с IQ выше 85, чтобы обеспечить понимание и правильное выполнение инструкций. Прием противосудорожных препаратов был критерием исключения, чтобы исключить потенциально искажающие нейрологические побочные эффекты. Также были исключены сопутствующие неврологические расстройства и возраст старше 65 лет, чтобы избежать возможного искажения, связанного с возрастной нейродегенерацией. Кроме того, наличие в анамнезе любого психического расстройства, а также оценка по Autism Spectrum Quotient (AQ) — анкете аутистических черт — выше 32 баллов у здоровых испытуемых приводили к исключению.

Все участники группы РАС были диагностированы в специализированной амбулаторной клинике РАС при Charité — Universitätsmedizin Berlin, Германия. Диагностический процесс включал стандартные инструменты: Autism Diagnostic Observation Schedule module 4 (ADOS-2), немецкая версия, полуструктурированные клинические интервью на основе Диагностического и статистического руководства по психическим расстройствам, 4-е издание (DSM-IV) критерии РАС, и, если родитель был доступен (n = 21), Autism Diagnostic Interview—Revised (ADIR), немецкая версия. Если родитель был недоступен, пациента просили привести достаточные примеры аутистических симптомов, которые присутствовали еще в детстве. Диагноз РАС устанавливался консенсусом экспертов с учетом клинических интервью и оценок по шкалам. Опытные психологи и психиатры проводили интервью ADOS-2 и другие интервью, например, структурированное клиническое интервью I и II DSM-IV, для выявления других психических расстройств в соответствии с DSM-IV. Кроме того, AQ также оценивался у лиц с РАС.

Здоровые испытуемые были набраны через базы данных сервера психологических экспериментов Гумбольдтского университета Берлина, через печатные и онлайн-доски объявлений в различных подразделениях Charité, а также через онлайн-посты в социальных сетях.

Этика

Исследование было одобрено местным этическим комитетом Charité Berlin (EA1/392/16) и проводилось в соответствии с Хельсинкской декларацией. Все участники дали письменное информированное согласие перед началом исследования.

Клиническая оценка

Все участники заполнили ряд анкет, включая демографическую анкету для получения данных о возрасте, поле, уровне образования и родном языке. Было проведено структурированное клиническое интервью I и II DSM-IV. Вербальный IQ и нарушения понимания языка оценивались с помощью немецкого теста на словарный запас (Wortschatztest, WST). Качество жизни оценивалось с помощью инструмента WHOQOL-BREF, охватывающего широкие домены: физическое здоровье, психологическое здоровье, социальные отношения и окружающая среда. WHOQOL включает пункт о самостоятельно сообщаемых «негативных чувствах» («плохое настроение», «отчаяние», «депрессия», «тревога»). Также в обеих группах самостоятельно оценивались неуклюжесть и ведущая рука.

Количественная оценка двигательных функций

Участники выполнили девять двигательных задач, которые считаются хорошо зарекомендовавшими себя тестами на координацию движений и общую моторику. Они были выбраны в соответствии с предыдущими описаниями двигательной сигнатуры у детей и подростков с РАС и были технически валидированы на здоровых испытуемых. Подробное описание задач приведено в Таблице 1. Условия съемки включали прилегающую к телу одежду и удобную обувь участников, а также равномерно освещенную среду без отвлекающих предметов. Двигательные задачи выполнялись в соответствии со стандартизированными инструкциями оператора. Участникам не разрешалось говорить во время оценки.

«В ходе выполнения каждой задачи участники записывались 3D-инфракрасной камерой (Microsoft Kinect для Xbox one) с частотой дискретизации 30 Гц. Датчик располагался на штативе на высоте 1,4 м с вертикальным углом −8°. Для всех задач, кроме ходьбы и постукивания пальцами, участники находились на расстоянии 2,5 м от датчика. Чтобы охватить полные циклы походки, участники начинали на расстоянии 5 м от датчика, что было немного вне диапазона датчика, и затем шли прямо к датчику. Задача постукивания пальцами выполнялась на расстоянии 1,5 м от датчика для улучшения глубины разрешения отслеживаемых рук. Система видеоанализа и конфигурация исследования проиллюстрированы на Рис. 1. Данные о движении были получены с помощью программного обеспечения Motognosis Labs v1.0 (Motognosis GmbH, Berlin, Germany)».

Данные о глубине записи анализировались для получения набора кинематических параметров. К ним относились колебания туловища на уровне бедра во время всех тестов на удержание равновесия, описываемые как диапазон 3D-колебаний [°] и средняя скорость колебаний [°/с]. Результаты тестов на ходьбу описывались скоростью ходьбы [м/с] и движением на уровне бедра в медиолатеральном направлении [см]. Тесты на повторяющиеся движения, например, шагание на месте, прыжки «jumping jack» и постукивание пальцами, описывались частотой движений. В тестах на повторную оценку (например, ходьба с комфортной скоростью) рассчитывалось среднее значение. Аритмичность определялась по задачам шагания на месте и прыжков «jumping jack», а асимметрия шагания — по шаганию на месте. Описание всех 15 выходных параметров приведено в Таблице 2.

Статистический анализ

Клинические и демографические данные, а также результаты анкет сравнивались между взрослыми с РАС без нарушений интеллекта и контрольной группой с использованием парного t-критерия Стьюдента. В качестве основного этапа анализа количественные результаты визуально-перцептивных вычислений (VPC) сравнивались между взрослыми с РАС и контрольной группой с использованием двусторонних независимых t-критериев; размеры эффекта определялись с помощью критерия Коэна d с установленным p < 0,05. Результаты t-критерия подтверждались с использованием множественной линейной регрессии с контролем самоотчетных аффективных симптомов (пункт 26) из WHOQOL. Ввиду исследовательского характера данного исследования p-значения не были скорректированы по Бонферрони.

Для лиц с РАС связь между количественными двигательными результатами и оценкой ADOS-2 и AQ исследовалась с помощью корреляции Спирмена. Статистический анализ проводился с использованием IBM SPSS Версия 22.0.

Результаты

В данном пилотном исследовании мы обследовали 82 субъекта (РАС: n = 37, средний возраст ± стандартное отклонение 36,9 ± 1,7 года, 18 женщин; КГ: n = 45, возраст 33,0 ± 1,3 года, 24 женщины). Один пациент с РАС был исключен из статистического анализа, так как не соответствовал условиям съемки (см. сбор данных). Группы не различались статистически значимо по возрасту, полу, вербальному IQ, росту, ведущей руке и ИМТ (Таблица 3). Лица с РАС значительно чаще сообщали о «неуклюжести» в самоотчетных анкетах (p-значение < 0,001) по сравнению со здоровыми испытуемыми. Обзор клинических и демографических данных представлен в Таблице 3.

Все меры представлены как средние со стандартным отклонением в скобках, если не указано иное. ADOS-2 = Autism Diagnostic Observation Schedule module 4, AQ = Autism Spectrum Quotient (Baron-Cohen et al., 2001), WHOQOL = The abbreviated version of the WHOQOL, The World Health Organization Quality of Life.

У здоровых испытуемых наличие психических расстройств в анамнезе или прием текущих психиатрических препаратов был критерием исключения. Список пожизненных психиатрических диагнозов и текущих психиатрических препаратов у лиц с РАС доступен в дополнениях. Семь человек с РАС сообщили о наличии в анамнезе диагноза депрессивного расстройства.

Количественная оценка двигательных функций с помощью VPC

При количественной оценке двигательных функций с помощью VPC взрослые с РАС продемонстрировали отличия в выполнении двигательных задач по сравнению с контрольной группой (см. Таблицу 4). Во время задачи «ходьба с комфортной скоростью» взрослые с РАС шли медленнее, чем контрольная группа. Кроме того, наблюдалось большее медиолатеральное отклонение тела по сравнению с контрольной группой при ходьбе с комфортной скоростью и по прямой линии. При шагании на месте с выбранной самостоятельно скоростью лица с РАС демонстрировали более низкую частоту шагов (каденцию) по сравнению с контрольной группой, в то время как статистически значимых различий с контрольной группой не наблюдалось при выполнении той же задачи с внешним ритмом. Далее, снижение частоты повторяющихся движений наблюдалось как для крупных движений (10 прыжков «jumping jack»), так и для мелких движений (10 постукиваний пальцами правой руки) у лиц с РАС по сравнению с контрольной группой. Аритмичность циклов движений ног при прыжках «jumping jack» была выше у лиц с РАС, чем у контрольной группы. Стоит отметить, что аритмичность времени шага во время задачи шагания на месте была в целом выше, чем аритмичность, наблюдаемая во время выполнения прыжков «jumping jack» как в группе РАС, так и в контрольной группе, и различие между группами не достигло статистической значимости.

Результаты были подтверждены анализом множественной линейной регрессии с контролем сообщаемых симптомов депрессии в WHOQOL-BREF в обеих группах. Статистически значимых различий не было обнаружено (см. дополнительные материалы, Таблица 3).

«Подборка групповых различий в количественных показателях между РАС и контрольной группой, например, скорости походки при ходьбе с комфортной скоростью, показана с помощью «бабочковых» гистограмм на Рис. 2».

Корреляция с тяжестью симптомов РАС

При исследовании корреляций на предмет связи между двигательными показателями и степенью выраженности симптомов РАС у взрослых с РАС было выделено подмножество из 9 из 15 параметров с групповыми различиями по сравнению с контрольной группой: скорость колебаний тела при стоянии с открытыми глазами и в тандемном положении с закрытыми глазами, диапазон 3D-колебаний на уровне бедра при стоянии с закрытыми глазами, в тандемном положении с закрытыми глазами и при стоянии на одной ноге, скорость ходьбы и колебания на уровне бедра в медиолатеральном направлении при ходьбе в субъективно комфортной скорости, каденция при шагании на месте и частота постукивания пальцами правой руки. Однако корреляции с оценками ADOS-2 и AQ были в основном малыми (r < 0,390, см. Таблицу 5) и лишь умеренными для параметра комфортной скорости ходьбы (r = −0,410 при корреляционном анализе с ADOS-2).

Обсуждение

Взрослые с РАС без нарушений интеллекта продемонстрировали значительно более медленные движения, что выразилось в снижении скорости походки, снижении каденции при шагании на месте и снижении частоты постукивания правой рукой. Кроме того, повторение крупных движений ногами показало более высокую аритмичность по сравнению с выполнением у здоровых испытуемых. Другая особенность двигательного поведения была связана с контролем равновесия, на что указывают увеличенные колебания во время различных условий стояния и увеличенные медиолатеральные движения тела во время ходьбы. В совокупности наши результаты предполагают, что взрослые с РАС без нарушений интеллекта демонстрируют специфическую двигательную сигнатуру по сравнению с контрольной группой, которая включает аспекты тайминга движений и постурального контроля. Кроме того, некоторые двигательные особенности показали малую или умеренную корреляцию со степенью выраженности аутистических симптомов.

Аналогично предварительным данным, полученным у детей и подростков с РАС, наши данные подтверждают наличие специфической двигательной сигнатуры у взрослых с РАС без нарушений интеллекта. Взрослые с РАС без нарушений интеллекта демонстрировали более медленные движения, проявляющиеся в снижении скорости походки и каденции, в то время как снижение скорости походки не является специфичным для РАС и было описано при других психических расстройствах, например, депрессии. Сравнительная скорость во время шагания на месте с внешним ритмом и снижение скорости при ходьбе с комфортной скоростью в наших результатах предполагают, что взрослые с РАС в принципе способны ходить быстрее, но им комфортнее ходить с пониженной скоростью.

В предыдущем исследовании дети с РАС демонстрировали увеличенную ширину шага и уменьшенную длину шага, что позволяло им иметь более широкую базу опоры при ходьбе. Это, а также сниженная скорость походки и каденция могут указывать на тенденцию лиц с РАС к повышению устойчивости при ходьбе. В исследовании Наяте и коллег дети с РАС, когда их просили идти с предпочтительной скоростью, затем быстрее и медленнее, увеличивали базу опоры при более быстрой ходьбе. Однако длина шага и каденция не оценивались во время задач ходьбы в нашем исследовании.

Увеличенная постуральная нестабильность у субъектов с РАС по сравнению с контрольной группой также проявляется в увеличении колебаний в медиолатеральном направлении во время ходьбы. Это соответствует предыдущим данным о постуральной нестабильности при походке у взрослых с РАС без нарушений интеллекта. Увеличенное медиолатеральное колебание во время тестов на удержание равновесия может указывать на повышенную постуральную нестабильность; однако скорость колебаний во время тестов на удержание равновесия не оценивалась отдельно для медиолатерального и переднезаднего направлений в нашем исследовании.

Марку и коллеги сообщили о более высокой распространенности атипичной ведущей руки (смешанная ведущая рука, амбидекстрия и леворукость) у лиц с РАС в метаанализе и интерпретировали это как повышенную латерализацию у лиц с РАС. В нашей когорте наблюдалась тенденция к неправорукости среди лиц с РАС по сравнению с контрольной группой, однако эта тенденция не достигла статистической значимости и основывалась только на самоотчетах. Поскольку задача постукивания пальцами может указывать на ловкость рук, наши результаты о сниженной частоте постукивания пальцами правой руки, но не левой руки у лиц с РАС согласуются с предыдущими исследованиями атипичной ведущей руки. Кроме того, оценка аритмичности и динамики амплитуды движения может быть добавлена в будущие исследования для оценки возможности церебрального и/или мозжечкового поражения.

Нарушение вестибулярного контроля в сочетании с мелкими и крупными двигательными аномалиями были связаны с аномалиями мозжечка в исследованиях, посвященных подросткам с РАС. В частности, сообщалось об уменьшении количества клеток Пуркинье в мозжечке, гипоплазии полушарий мозжечка и субъединиц червя, и, наконец, нарушении связи между базальными ганглиями и мозжечком. Понимание нейробиологических основ различий в моторных функциях при РАС может помочь лучше понять патофизиологию РАС.

Другим важным результатом этого исследования является положительная корреляция между некоторыми различиями в моторных функциях и степенью выраженности аутизма (оценка ADOS-2 module 4 и оценка AQ) у взрослых с РАС без нарушений интеллекта. Социальная моторная синхронизация, автоматическая координация собственного тела с социальной средой, является неотъемлемой частью взаимодействия с другими и отрицательно связана с тяжестью аутизма. Моторная эмпатия определяется как тенденция автоматически имитировать и синхронизировать мимику и движения другого человека. Предполагается, что имитация движений других приводит к просоциальному поведению во время межличностного взаимодействия, а также к лучшему самоанализу когнитивных стилей и саморегуляторных способностей.

В наших результатах скорость походки при ходьбе в комфортной скорости была сопоставима у взрослых с РАС без нарушений интеллекта, несмотря на различные размеры тела. Двигательные признаки у лиц с РАС, такие как более низкая частота шагов (каденция) при шагании на месте в самостоятельно выбранном темпе, в то время как различий с контрольной группой не наблюдалось при выполнении той же задачи с внешним ритмом, могут привести к снижению социальной синхронизации.

Сильные стороны и ограничения

Сильные стороны

«Одной из сильных сторон этого исследования является количественная оценка двигательной сигнатуры у лиц с РАС с использованием 3D-инфракрасной камеры (Microsoft Kinect®) и визуально-перцептивных вычислений». Дальнейшие исследования могут включать более разнообразные кинематические параметры, такие как каденция и длина шага во время задач ходьбы. Будущие исследования должны распространить анализ на лиц с нарушениями интеллекта. Также этот метод следует воспроизвести для изучения подгрупп внутри лиц с РАС, например, лиц с РАС с различной двигательной сигнатурой, лиц с РАС с нарушениями интеллекта или без них.

Ограничения

Из-за ограниченного размера выборки различия по полу не анализировались в нашей выборке. Однако распределение по полу статистически не различалось между двумя наблюдаемыми группами. Учитывая высокую представленность участников мужского пола в предыдущих исследованиях расстройств аутистического спектра в клинических условиях, статистически не различающееся соотношение участников женского и мужского пола в нашем исследовании следует рассматривать как сильную сторону данного исследования.

Важно отметить, что психические коморбидные состояния у лиц с РАС не были критерием исключения в данном исследовании. Психические расстройства нельзя полностью исключить как искажающие факторы, которые могут объяснять некоторые из значительных различий между группой РАС и контрольной группой. Однако результаты не изменились при контроле симптомов депрессии (пункт 26 WHOQOL), как показано в дополнительных материалах (Таблица 3). Кроме того, психические коморбидные состояния в группе РАС в данном исследовании репрезентативны для общей популяции РАС без нарушений интеллекта и, следовательно, способствуют естественному характеру этого исследования. Поскольку оператор был обучен зачитывать вслух стандартизированные инструкции во время моторных оценок, а участникам не разрешалось говорить, смещение в инструкциях, предположительно, незначительно.

Кроме того, связь между моторными функциями и степенью выраженности симптомов РАС следует интерпретировать осторожно из-за исследовательского характера данного исследования. Большинство корреляций между параметрами двигательной активности, оценками ADOS-2 и AQ были малыми (r < 0,390), и лишь умеренными для параметра комфортной скорости ходьбы в корреляционном анализе между двигательной сигнатурой и оценкой ADOS-2.

Перспективы

VPC представляется осуществимым инструментом для выявления множественных нарушений моторных функций у лиц с РАС. Будущие исследования должны быть направлены на установление специфичности двигательной сигнатуры РАС путем сравнения с данными, полученными при других психических или нейродегенеративных расстройствах. Исследования, изучающие нейроанатомические и нейрофункциональные корреляты наших результатов, помогут сформулировать гипотезы об их происхождении. Кроме того, необходимы будущие исследования для учета гетерогенности феноменологии РАС, которая включает, но не ограничивается двигательными функциями. Для внедрения VPC в качестве диагностического инструмента должен быть разработан стандартизированный двигательный счет с помощью видеоанализа, и его валидность должна быть протестирована на дополнительных когортах РАС и клинических контрольных группах. Наконец, поскольку степень выраженности симптомов РАС коррелировала с некоторыми двигательными дисфункциями у лиц с РАС, наши результаты могут послужить отправной точкой для изучения терапевтического потенциала, например, в качестве биообратной терапии на основе видеоанализа двигательного поведения. Первые данные показывают, например, что биообратная связь в реальном времени с использованием Kinect для реабилитации после тотального эндопротезирования коленного сустава привела к улучшению походки и качества жизни.

Заключение

Наши результаты показывают, что взрослые с РАС без нарушений интеллекта демонстрируют специфическую двигательную сигнатуру по сравнению с контрольной группой, связанную с таймингом движений и постуральным контролем, а возможно, и с мелкой моторикой. Данные конкретизируют знания, полученные из клинических описаний моторных функций при РАС. 3D-видеоанализ представляется осуществимым инструментом для простой и количественной оценки множественных моторных функций у пациентов с РАС с потенциалом использования в исследовательских и клинических целях.

Короткие версии статей можно найти в телеграм-канале.

Посмотреть канал
Кликните еще раз для перехода

Шалфей пастилки №24 – пастилки для свежего дыхания

Шалфей пастилки №24 — растительное средство для комфортного состояния горла. Мягко освежают дыхание,...

Бандаж абдоминальный Клинса L 22 см – послеоперационный

Абдоминальный послеоперационный бандаж Клинса, размер L, ширина 22 см, обеспечивает надежную поддерж...

Стики пластырь бактерицидный невидимый №10

Стики Пластырь Бактерицидный Невидимый 2,5x5,6 см №10 помогает защитить поврежденную кожу от бактери...

Крем для ног от трещин До и После – Уход за ступнями

Крем До и После для ног эффективно борется с трещинами на ступнях, обеспечивая интенсивное увлажнени...

Вальмонт Крем для губ интенсивный уход 15 мл

Вальмонт Премиум Крем для губ 15 мл — интенсивный восстанавливающий уход для нежной кожи губ. Питает...

Масло Веледа для младенцев с календулой 200 мл

Масло Веледа с календулой разработано специально для ухода за нежной кожей младенцев. Не содержит эф...