
Интересное сегодня
Как позитивное восприятие тела во время беременности влияет ...
Влияние восприятия тела во время беременности на психическое здоровье Беременность часто изображают ...
Путь к трансформационному росту: самосознание, ответственнос...
В нашем стремлении к благополучию мы часто ищем как свободу — жить в соответствии с нашим истинным «...
Как синхронизация движений влияет на социальное поведение ау...
Межличностная синхронность и её роль в социальном взаимодействии Межличностная синхронность — это ко...
Как люди с аутизмом выражают эмоции: особенности и советы по...
Как люди с аутизмом выражают эмоции? Если у вас аутизм, вы могли сталкиваться с непониманием со стор...
Психологическое состояние детей после землетрясения в Турции...
Введение Турция является одним из наиболее сейсмически активных регионов мира, что делает ее одной и...
Как фовеальная обратная связь помогает распознавать объекты ...
Введение в механизмы зрительного восприятия Зрительная система человека характеризуется разделением ...
Введение в проблему нервной анорексии
Нервная анорексия (НА) — это расстройство пищевого поведения, которое характеризуется значительно низкой массой тела, поддерживаемой такими моделями поведения, как ограничительное питание, очистительные процедуры (например, самовызываемая рвота, злоупотребление слабительными средствами) и чрезмерные физические нагрузки. Это состояние обычно связано со страхом набора веса. Степень тяжести НА оценивается в соответствии с индексом массы тела (ИМТ) человека в текущих версиях как Диагностического и статистического руководства по психическим расстройствам (DSM-5), так и Международной классификации болезней (МКБ-11).
Классификация тяжести по DSM-5 и МКБ-11
В DSM-5 тяжесть классифицируется как:
- Легкая (ИМТ ≥ 17.0 кг/м²)
- Умеренная (ИМТ ≥ 16.0 кг/м² и < 17.0 кг/м²)
- Тяжелая (ИМТ ≥ 15.0 кг/м² и < 16.0 кг/м²)
- Крайняя (ИМТ < 15.0 кг/м²)
В МКБ-11 тяжесть классифицируется как:
- НА в стадии восстановления с нормальной массой тела (ИМТ ≥ 18.5 кг/м²)
- НА со значительно низкой массой тела (ИМТ < 18.5 кг/м² и ≥ 14 кг/м²)
- НА с опасно низкой массой тела (ИМТ < 14 кг/м²)
Альтернативные подходы к оценке тяжести
Существуют также предложения альтернативно рассматривать сверхценное отношение к весу и форме тела, продолжительность заболевания и предыдущие лечения как показатели тяжести НА. Например, некоторые исследования определяли так называемую тяжелую и длительную НА на основе продолжительности заболевания не менее семи лет. Хэй и Туйз предложили определять тяжелую и длительную НА как: (1) устойчивое состояние диетического ограничения, недостаточного веса и сверхценного отношения к весу и форме тела с функциональными нарушениями, (2) продолжительность заболевания более трех лет, и (3) опыт по крайней мере двух доказательных методов лечения.
Методы исследования
Характеристики выборки
Исследование было одобрено этическим комитетом Университетской больницы LMU в Мюнхене. Сто тридцать девять взрослых с НА, которые проходили стационарное лечение в клинике Шён Розенек (Розенхайм, Германия) в период с 2018 по 2020 год, были приглашены к участию в исследовании через год после выписки. Из них 80 человек приняли участие в исследовании (98% женщин, n = 78; средний возраст: M = 27.3 года, SD = 10.2).
Пятьдесят три человека (66%) имели рестриктивный тип НА (код МКБ-10 F50.00), 26 (33%) имели булимический/очистительный тип НА (код МКБ-10 F50.01), и один (1%) имел атипичную НА (код МКБ-10 F50.1). Сорок человек (50%) имели по крайней мере одно коморбидное психическое расстройство, наиболее распространенными из которых были тревожные расстройства (код МКБ-10 F4; n = 26, 33%) и аффективные расстройства (код МКБ-10 F3; n = 17, 21%).
Классификация тяжести в исследованной выборке
При использовании классификации тяжести согласно МКБ-11, 66.3% (n = 53) имели НА с опасно низкой массой тела (ИМТ < 14.0 кг/м²) и 33.8% (n = 27) имели НА со значительно низкой массой тела (ИМТ ≥ 14.0 кг/м² и < 18.5 кг/м²). При использовании классификации тяжести согласно DSM-5, 85.0% (n = 68) имели крайнюю НА (ИМТ < 15.0 кг/м²), 8.8% (n = 7) имели тяжелую НА (ИМТ ≥ 15.0 кг/м² и < 16.0 кг/м²), 3.8% (n = 3) имели умеренную НА (ИМТ ≥ 16.0 кг/м² и < 17.0 кг/м²), и 2.5% (n = 2) имели легкую НА (ИМТ ≥ 17.0 кг/м²).
Протокол лечения
Все пациенты проходили лечение в специализированном стационарном отделении для пациентов с НА с выраженным дефицитом веса (ИМТ < 15 кг/м²) и/или чрезмерными очистительными процедурами или физическими нагрузками (продолжительность пребывания: M = 102.7 дней, SD = 52.2). Лечение в больнице соответствует немецким S3-рекомендациям по лечению НА с точки зрения критериев госпитализации, элементов лечения и целей терапии.
Таким образом, пациенты получали когнитивно-поведенческую терапию, ориентированную на многомodalное лечение НА, которое включало несколько элементов лечения, таких как индивидуальные психотерапевтические сессии, групповые терапии, лечебная физкультура, занятия по приготовлению пищи, экспозиционная терапия образа тела, консультации по питанию и протоколы приема пищи, а также клиническое ведение медицинских осложнений, включая supplementation микронутриентами.
Результаты исследования
Динамика индекса массы тела
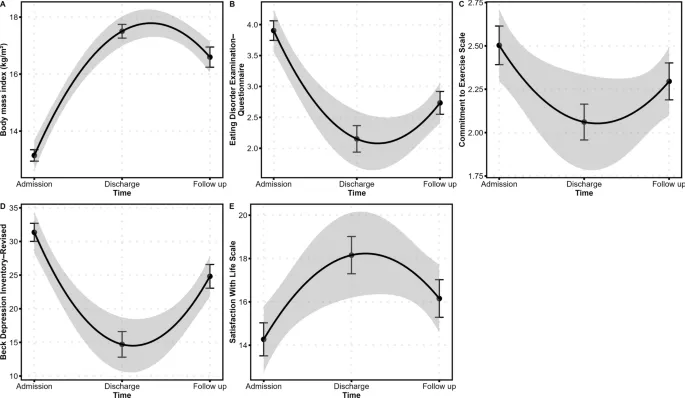
ИМТ изменялся нелинейно в течение трех измерений (эффект времени²: b = -2.27, SE = 0.18, p < 0.001). Конкретно, ИМТ увеличился с момента поступления до выписки (b = 4.38, SE = 0.25, p < 0.001, d = 2.16) и уменьшился с момента выписки до катамнеза (b = -1.17, SE = 0.26, p < 0.001, d = -0.37). Изменения ИМТ различались в зависимости от ИМТ при поступлении (эффект взаимодействия времени² × ИМТ при поступлении: b = 0.23, SE = 0.09, p = 0.010): более низкий ИМТ при поступлении был связан с более крутым увеличением ИМТ в течение измерений.
Психопатология пищевого поведения
Симптоматика расстройства пищевого поведения изменялась нелинейно в течение трех измерений (эффект времени²: b = 0.93, SE = 0.16, p < 0.001). Конкретно, баллы по опроснику EDE-Q снизились с момента поступления до выписки (b = -1.69, SE = 0.21, p < 0.001, d = -1.36) и увеличились с момента выписки до катамнеза (b = 0.60, SE = 0.21, p = 0.004, d = 0.36).
Компульсивные физические нагрузки
Компульсивные физические нагрузки изменялись нелинейно в течение трех измерений (эффект времени²: b = 0.30, SE = 0.08, p < 0.001). Конкретно, баллы по шкале CES снизились с момента поступления до выписки (b = -0.44, SE = 0.11, p < 0.001, d = -0.69) и увеличились с момента выписки до катамнеза (b = 0.29, SE = 0.11, p = 0.007, d = 0.30).
Депрессивные симптомы
Депрессивная симптоматика изменялась нелинейно в течение трех измерений (эффект времени²: b = 10.8, SE = 1.58, p < 0.001). Конкретно, баллы по опроснику BDI-II снизились с момента поступления до выписки (b = -17.1, SE = 2.13, p < 0.001, d = -1.27) и увеличились с момента выписки до катамнеза (b = 9.41, SE = 2.12, p < 0.001, d = 0.64).
Удовлетворенность жизнью
Удовлетворенность жизнью изменялась нелинейно в течение трех измерений (эффект времени²: b = -2.23, SE = 0.69, p = 0.002). Конкретно, баллы по шкале SWLS увеличились с момента поступления до выписки (b = 3.61, SE = 0.93, p < 0.001, d = 0.57) и уменьшились с момента выписки до катамнеза (b = -1.86, SE = 0.94, p = 0.048, d = -0.16).
Обсуждение результатов
Эффективность стационарного лечения
Текущее исследование изучило результаты лечения у лиц с НА, проходивших лечение в специализированном отделении для тяжелой и крайней НА, при поступлении, выписке и через год после выписки. Специфические для расстройства и связанные симптомы существенно улучшились во время лечения, но несколько ухудшились после лечения. Например, средний ИМТ увеличился с 13.2 кг/м² при поступлении (при этом все пациенты имели недостаточный вес [ИМТ < 18.5 кг/м²]) до 17.5 кг/м² при выписке (при этом 27 из 80 пациентов [33.8%] имели ИМТ ≥ 18.5 кг/м²), но уменьшился до 16.6 кг/м² через год (при этом 18 из 73 пациентов [22.5%] имели ИМТ ≥ 18.5 кг/м²).
Влияние исходных параметров на результаты
Эти изменения модулировались ИМТ при поступлении, так что более низкий ИМТ при поступлении был связан с более значительной прибавкой веса от поступления до выписки. Этот эффект может объясняться несколькими факторами. Биологически, большая прибавка веса у тех, у кого был lower ИМТ, может быть обусловлена более низким уровнем метаболизма в состоянии покоя в начале лечения. Психологически, многие пациенты accept, что им приходится набирать вес during лечения, но отказываются превышать certain self-установленные thresholds (например, 50 кг), которые быстрее достигаются теми, кто начинает с более high ИМТ при поступлении.
Долгосрочные перспективы лечения
Сопровождая pattern изменений массы тела, психопатология пищевого поведения, компульсивные физические нагрузки и депрессивные симптомы уменьшились during стационарного лечения, но увеличились afterwards. Similarly, удовлетворенность жизнью увеличилась during стационарного лечения, но уменьшилась afterwards. Эти изменения не модулировались ИМТ при поступлении, указывая на то, что пациенты показали improvements в этих аспектах independent от их initial массы тела.
Заключение и выводы
Текущее исследование показывает, что добровольное стационарное лечение, которое включает высококалорийный график refeeding с контролируемыми приемами пищи, индивидуальными психотерапевтическими сессиями, групповыми терапиями, тщательным медицинским monitoring и supplementation микронутриентами у пациентов с тяжелой и крайней НА, приводит к существенным improvements, которые partially сохраняются после выписки. Однако улучшения симптомов несколько ухудшаются после выписки, несмотря на психотерапевтическое последующее наблюдение, что указывает на то, что лица с тяжелой и крайней НА требуют более длительных, alternating подходов к лечению (например, интервальное лечение), чтобы обеспечить long-term восстановление.
Важный вывод: Несмотря на значительное улучшение состояния пациентов во время стационарного лечения, сохраняется высокий риск рецидива в течение первого года после выписки, что underscores необходимость разработки более эффективных стратегий последующего наблюдения и поддержки.
Интерпретация результатов ограничена пациентами стационара с НА, проходившими лечение в Германии, и, thus, может не распространяться на другие страны с различными системами здравоохранения. Кроме того, масса тела при катамнезе основывалась на self-отчете, что может быть subject смещениям. Тем не менее, лица с НА extremely точно сообщают о своей собственной массе тела.