Общий механизм восприятия времени: как мозг обрабатывает миллисекунды в восприятии и движении

Общий механизм восприятия времени: как мозг обрабатывает миллисекунды в восприятии и движении

Интересное сегодня

Источники счастья: Влияние внутренних и внешних факторов

Введение Что делает людей счастливыми? Является ли счастье результатом внутренних личностных ...

Факторы, влияющие на намерение пользователей продолжать испо...

Введение В последние годы городской транспорт развивается быстрыми темпами, однако проблема дорожных...

Альтруистические нарциссы: скрытые признаки и как их распозн...

Альтруистические нарциссы: неожиданные грани самовлюблённости Нарциссизм имеет множество оттенков, и...

Романтическая химия: Как отличить влечение от доброты

Романтическая химия: Как отличить влечение от добротыРомантическая химия крайне трудно предсказуема,...

Удовлетворенность жизнью у молодых людей с сахарным диабетом...

Введение Сахарный диабет 1 типа (СД1) — одно из наиболее распространенных хронических заболеваний у ...

Мыши как модель для исследования негативного последовательно...

Введение в проблему негативного последовательного контраста «Для каждой проблемы в определённой нау...

Рисунок 1
Рисунок 1
Рисунок 2
Рисунок 2
Рисунок 3
Рисунок 3
Рисунок 4
Рисунок 4
Рисунок 5
Рисунок 5
Рисунок 6
Рисунок 6
Thumbnail 1
Thumbnail 2
Thumbnail 3
Thumbnail 4
Thumbnail 5
Thumbnail 6
Thumbnail 7
Thumbnail 8
Thumbnail 9
Оригинал исследования на сайте автора

Введение

Время считается фундаментальной основой нашей когнитивной деятельности. Многочисленные исследования указывают на то, что обработка временной информации (ОВИ) лежит в основе многих когнитивных функций, таких как память, обучение, внимание, двигательная активность, планирование, восприятие и принятие решений, играя thus центральную роль в нашей повседневной деятельности. Адаптация поведения к постоянно меняющейся окружающей среде требует существования гипотетических внутренних часов, ответственных за обработку временной информации, извлекаемой из различных сенсорных модальностей в различных временных доменах.

Регулировка скорости этих гипотетических внутренних часов, эффективность которых основана на скорости внутреннего водителя ритма, варьируется между individuals, приводя к более быстрым часам для одних и более медленным для других. Таким образом, individuals различаются по скорости своего внутреннего водителя ритма, что влияет на их темп и, следовательно, на эффективность, с которой они обрабатывают информацию.

Иерархическая модель временной обработки информации

Согласно модели, предложенной Пёппелем, ОВИ не является монолитным образованием, и можно выделить несколько иерархически упорядоченных временных доменов или операционных окон обработки. Модель Пёппеля предполагала, что базовым доменом являются десятки миллисекунд. Дальнейшие исследования расширили эту модель и выделили два домена на миллисекундном уровне: первый — десятки миллисекунд и второй — сотни миллисекунд. Эти два домена относятся к разным mental processes и могут изучаться с помощью различных экспериментальных парадигм.

Домен десятков миллисекунд

Первый домен, работающий в диапазоне десятков миллисекунд, связан с последовательными аналитическими операциями, в которых последовательные элементы идентифицируются и обрабатываются successively. Существует несколько экспериментальных парадигм, которые оценивают способность individuals к ОВИ в этом домене, и наиболее популярной является задача оценки временного порядка (Temporal-Order Judgement, TOJ).

Эта задача измеряет способность participant воспринимать порядок парных stimuli, разделенных тихим промежутком в несколько десятков миллисекунд. Способность participant индексируется значением его временного порога порядка (Temporal-Order Threshold, TOT) — минимального промежутка, необходимого для идентификации отношения «до-после» представленных stimuli. Согласно литературным данным, более короткий TOT отражает лучшую производительность ОВИ в домене десятков миллисекунд.

Домен сотен миллисекунд

Мы также исследовали домен сотен миллисекунд, который тесно связан с двигательной производительностью. В литературе описано несколько парадигм для оценки способности ОВИ на этом уровне, включая временное воспроизведение или дискриминацию; однако задача постукивания является наиболее широко используемой.

Эта задача относится к моторному времени, поскольку соответствует производству timed motor actions и координации movements. Существует несколько типов задач постукивания. Participants могли бы получить инструкцию постукивать пальцем в synchronisation с последовательностями external events, such as isochronous sounds (задача синхронизации постукивания). В другом типе задачи, после вводной фазы, в которой participants синхронизируют свое постукивание с external sounds, participants просят продолжить постукивание серии без каких-либо external cues (задача продолжения постукивания); в другом типе participant постукивает в соответствии с их комфортным и предпочтительным темпом, без какого-либо давления времени (спонтанная задача постукивания).

Методы исследования

В нашем исследовании для надежного измерения неизмененной производительности моторного времени participants, независимой от рабочей памяти, была implemented задача максимального постукивания. В этой задаче participants инструктировали постукивать repeatedly как можно быстрее. Большинство литературных отчетов рассматривают интервал между ответами (Interresponse Interval, IRI) — временной интервал от начала одного постукивания до начала следующего постукивания — как crucial index в задаче постукивания.

Более быстрый ритм постукивания отражает лучшую временную производительность в домене сотен миллисекунд. Существуют доказательства того, что замедление ритма постукивания связано с возрастом, полом, когнитивными impairments, травмами мозга и нарушениями развития.

Участники исследования

В исследовании приняли участие шестьдесят четыре взрослых человека (30 женщин и 34 мужчины в возрасте от 20 до 27 лет; средний возраст = 23 ± 2 года). Они сообщили об отсутствии неврологических или психических расстройств в анамнезе, а также о том, что не принимали substances, которые могли бы повлиять на центральную нервную систему. Более того, все participants сообщили об отсутствии формального музыкального образования.

Результаты исследования

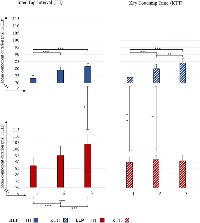
Результаты настоящего исследования выявили взаимосвязи между ОВИ в домене десятков миллисекунд (задачи TOJ) и домене сотен миллисекунд (задача максимального постукивания). В summary, группа высокоуровневых исполнителей (High-Level Performers, HLP) показала более короткий IRI (MHLP = 158 мс), чем группа низкоуровневых исполнителей (Low-Level Performers, LLP) (MLLP = 187 мс), что отражает 18% более быстрый темп постукивания в первой группе.

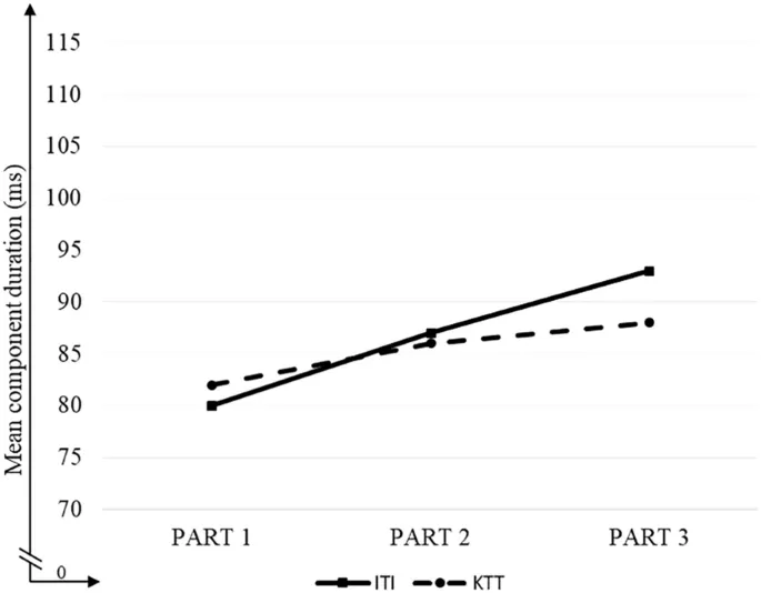
Кроме того, IRI прогрессивно увеличивался в обеих группах в течение трех частей задачи постукивания, что отражает 12% замедление ритма постукивания в consecutive parts. У HLP наблюдалась более короткая продолжительность обоих параметров постукивания (ITI и KTT) по сравнению с LLP. У HLP и LLP были разные patterns замедления ITI и KTT в consecutive parts.

Анализ компонентов постукивания

В то время как оба компонента значительно замедлялись у HLP, LLP демонстрировали замедление только для ITI, причем замедление для KTT было незначительным. Кроме того, значительная разница между группами для ITI была замечена после стабилизации темпа у HLP (только в Part 3), тогда как для KTT она наблюдалась в Part 1 и Part 2. В обеих группах различия в variability производительности были незначительными для всех проанализированных factors.

Обсуждение результатов

Результаты этого исследования указывают на взаимосвязь между эффективностью производительности ОВИ participants в двух различных временных доменах со ссылкой на перцептивное и моторное время. Эти отношения были доказаны для перцептивной задачи TOJ, используемой для оценки производительности ОВИ в домене десятков миллисекунд, и моторной задачи постукивания, используемой для оценки производительности ОВИ в домене сотен миллисекунд.

Основываясь на результатах двух задач TOJ (пространственной и спектральной), которые могут рассматриваться как надежный indicator производительности ОВИ в домене десятков миллисекунд, были идентифицированы группы высокоуровневых исполнителей (HLP) и низкоуровневых исполнителей (LLP). Мы можем предположить, что HLP характеризуются более высокой скоростью водителя ритма, что может привести к более высокой точности восприятия временного порядка. Напротив, LLP могут иметь более медленную скорость водителя ритма, что приводит к худшей производительности задач TOJ.

Ключевой вывод: Как и предполагалось, HLP и LLP демонстрировали последовательно различные patterns производительности в задаче постукивания, которая указывает на производительность в домене сотен миллисекунд.

Нейрофизиологические механизмы

Чтобы понять потенциальные механизмы, лежащие в основе восприятия последовательности событий, мы можем обратиться к базовым процессам в нервной системе, измеряемым oscillatory brain activity. Электрофизиологические исследования показали, что восприятие последовательности контролируется внутренним timing mechanism, работающим в временном окне в несколько десятков миллисекунд, вероятно, implemented в нейронных gamma band oscillations с периодичностью около 40 Гц; отношение «до-после» может быть properly идентифицировано только в том случае, если два stimuli происходят по крайней мере в двух successive oscillatory periods.

Таким образом, oscillations гамма-диапазона соответствуют значениям TOT в задачах TOJ, примененных в нашем исследовании. Следовательно, существуют веские доказательства того, что спонтанные или вызванные стимулом oscillations гамма-диапазона по продолжительности соответствуют TOT.

Заключение и выводы

Результаты настоящего исследования позволяют предположить, что общий механизм времени в домене десятков миллисекунд может также регулировать ОВИ в домене сотен миллисекунд, независимо от специфики задачи (перцептивная vs моторная). Таким образом, производительность человека в домене десятков миллисекунд может указывать на его производительность в домене сотен миллисекунд.

Следовательно, надежное измерение домена десятков миллисекунд может помочь нам сделать reasonable выводы о производительности ОВИ на более высоких уровнях. Это открытие имеет важное значение для понимания fundamental mechanisms работы мозга и может найти применение в различных областях, включая нейрореабилитацию, спортивную подготовку и музыкальное образование.

Исследование имеет некоторые limitations. Сортировка participants на две группы (HLP, LLP) привела к small sample sizes; тем не менее, размеры были sufficient для выполненных анализов (априорный анализ мощности). Вторая стадия, на которой анализировались два отдельных компонента задачи постукивания, имела более exploratory подход.

  • Общий временной механизм работает across different millisecond domains
  • Производительность в perceptual timing predicts производительность в motor timing
  • Скорость внутреннего pacemaker влияет на точность временного восприятия
  • Нейрофизиологической основой могут быть beta и gamma oscillations
  • Исследование поддерживает hierarchical model временной обработки информации

Короткие версии статей можно найти в телеграм-канале.

Посмотреть канал
Кликните еще раз для перехода

Кудесан 20 мл: коэнзим Q10 для сердца и энергии

Кудесан с коэнзимом Q10 — мощный антиоксидант для поддержки сердца и повышения энергии. Улучшает физ...

Акриол Про Крем 2,5%+2,5% 5г — местный анестетик

Акриол Про Крем — эффективное средство для местного применения с двойным действием. Содержит лидокаи...

Ломилан 10 мг №10 — таблетки от аллергии | Аптека

Ломилан — эффективное средство от аллергии в таблетках по 10 мг. Помогает при сезонном и круглогодич...

...

Инфинити Премиум-Ресвератрол 200 мг – природный антиоксидант

Инфинити Премиум-Ресвератрол 200 мг – мощный природный антиоксидант, созданный на основе высококачес...

Бальзам Гардекс Фэмили после укусов насекомых 7Мл

Гардекс Фэмили Бальзам После Укусов — эффективное средство для всей семьи от последствий укусов насе...