
Интересное сегодня
Что такое настоящая любовь?
Введение Любовь не всегда является драматическим и потрясающим опытом, который мы видим в фильмах. Э...
Астроциты: Ключевые регуляторы стрессовых реакций в мозге
Астроциты, ранее известные как клетки, поддерживающие нервные клетки, были идентифицированы как ключ...
Влияние уровня кортизола на риск болезни Альцгеймера у женщи...
Введение Исследование, проведенное Университетом Техаса в Сан-Антонио, выясняет, как уровень кортизо...
Как религиозные убеждения влияют на уровень счастья: исследо...
Введение Концепция счастья определяется как комплексная оценка и особый духовный опыт, формируемый л...
Ожирение как хроническое заболевание: новые критерии диагнос...
Ожирение: от фактора риска к хроническому заболеванию Традиционно ожирение рассматривалось как факто...
Как избежать поляризации в группе: стратегии выбора связей д...
Введение Социальным группам часто необходимо приходить к консенсусу относительно единого курса дейст...
Введение
Недавние исследования показали, что распознавание устных слов относительно устойчиво к небольшим изменениям порядка фонем в словах. В результате речевой ввод типа [kat] не только поддерживает соответствующее лексическое представление cat, но также и лексическое представление, содержащее те же фонемы в другом порядке tack. Кроме того, было показано, что не-слова типа /baksɛt/, созданные транспозицией двух фонем реального слова /baskɛt/, воспринимаются как более похожие на базовое слово /baskɛt/, чем не-слова типа /bapfɛt/, созданные заменой двух фонем тех же слов. Эти наблюдения явно свидетельствуют о некоторой гибкости в кодировании порядка фонем во время распознавания устных слов.
Теоретическая основа
Учитывая, что фонемы встречаются быстрой последовательностью в устных словах, можно утверждать, что эффекты транспонированных фонем являются principally результатом шумного снизу-вверх назначения фонем их позициям в слове, подобно назначению букв позициям в слове в overlap model. В настоящей работе мы переходим к масштабу слов и предложений (в отличие от фонем и слов), где можно ожидать, что неоднозначность порядка слов будет значительно уменьшена по сравнению с порядком фонем.
Методы
Участники
100 участников были набраны через платформу Prolific для онлайн-экспериментов. Они сообщили, что являются носителями французского языка, и их возраст составлял от 18 до 62 лет.
Материалы
Стимулы и дизайн были такими же, как в исследовании Mirault et al. 40 пар грамматически правильных предложений, состоящих из пяти слов, были использованы для создания критических неправильных последовательностей с транспонированными словами и контрольных последовательностей.
Процедура
Эксперимент был запрограммирован с использованием программного обеспечения Labvanced. Участникам было предложено надеть наушники и настроить громкость на комфортный уровень. Каждое испытание начиналось с фиксационного креста длительностью 500 мс, за которым следовало аудиопредложение со средней скоростью 274 мс на слово.
Результаты
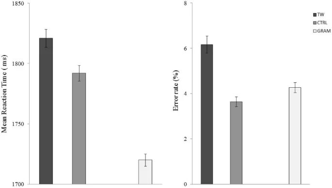
Шесть участников были исключены из анализа. Анализ показал значительный эффект транспозиции как во временных характеристиках реакции, так и в точности ответов. Участники были на 28 мс медленнее при классификации последовательностей с транспонированными словами как грамматически неправильных по сравнению с контрольными последовательностями.
Обсуждение
Настоящее исследование построено на предыдущей работе, исследуя, можно ли наблюдать эффект транспозиции слов в быстрых грамматических решениях для последовательностей устных слов таким же образом, как эффект наблюдался с последовательностями письменных слов. Мы наблюдали, что участникам было сложнее классифицировать последовательность с транспонированными словами как грамматически неправильную по сравнению с подобранными неправильными контрольными последовательностями.
Сравнение с письменной речью
Сравнение эффектов транспозиции слов между исследованиями предоставляет важную подсказку относительно того, почему RSVP эксперимент является исключением. Хотя не показано на рис. 2, это единственный эксперимент, показывающий более быстрые RTs к неправильным последовательностям, чем к грамматически правильным предложениям.
Заключение
Мы протестировали те же стимулы, что и Mirault et al., в задаче грамматического решения, но на этот раз с аудиопредставлением последовательностей слов. Мы обнаружили ту же схему эффектов, что и в оригинальном исследовании Mirault et al. Это первая демонстрация эффекта транспозиции слов в быстрых грамматических решениях для речи, и далее демонстрирует ключевую роль, которую играют синтаксические и возможно семантические ограничения в генерации эффектов транспозиции слов в целом.