Влияние истории выбора на визуальный поиск: смещение внимания и подавление дистракторов

Влияние истории выбора на визуальный поиск: смещение внимания и подавление дистракторов

Интересное сегодня

Предвкушение терапевтического пути после предиктивного тести...

Предвкушение терапевтического пути после предиктивного тестирования на аутизм Разрабатываются основ...

Как стрессоры-вызовы влияют на девиантное инновационное пове...

Введение В условиях глобальной экономической конкуренции текстильная промышленность сталкивается с н...

Эффективность четырехдневного лечения панического расстройст...

Введение Панические атаки могут быть крайне неприятными и вызывать интенсивный страх. Если вы испыты...

Трипофобия у детей 4-5 лет: научное исследование дискомфорта...

Введение в проблему трипофобии Дискомфорт при виде скоплений отверстий или кругов, таких как семенн...

Как трудности регуляции эмоций влияют на нецивилизованное об...

Введение и теоретическая основа Интернет революционизировал межличностное общение, но компьютерно-по...

Исследование механизмов музыкально-индуцированной аналгезии:...

Введение Аналгезия, или облегчение боли, может быть достигнута различными способами, от фармакологич...

Рисунок 1
Рисунок 1
Рисунок 2
Рисунок 2
Рисунок 3
Рисунок 3
Рисунок 4
Рисунок 4
Рисунок 4
Рисунок 4
Рисунок 5
Рисунок 5
Рисунок 6
Рисунок 6
Thumbnail 1
Thumbnail 2
Thumbnail 3
Thumbnail 4
Thumbnail 5
Thumbnail 6
Thumbnail 7
Оригинал исследования на сайте автора

Влияние истории выбора на визуальный поиск: смещение внимания и подавление дистракторов

Исследования визуального поиска часто демонстрируют эффекты истории выбора, указывающие на то, что признаки ранее выбранных объектов могут влиять на выбор этих признаков при последующем поиске. Этот феномен, известный как прайминг выделения (Priming of Popout, PoP), проявляется в ускорении поиска, когда выделяющие признаки объекта повторяются между пробами, даже если конкретный признак непредсказуем. Изначально этот эффект приписывали нескольким механизмам: увеличению заметности признаков (feature-based enhancement), смещению в принятии решений при выделении (bias in attentional decisionmaking) и облегчению постселективных реакций (facilitation of postselection responses). Однако традиционные парадигмы поиска часто смешивали эти механизмы. Настоящее исследование расширяет предыдущие работы, используя задачу идентификации зонда (probe identification task) в рамках парадигмы выделения для изоляции смещения внимания, отделяя его от механизмов постселективного извлечения и перцептивной заметности.

Классический эффект прайминга выделения (PoP)

Эффект PoP, впервые описанный Мальчковичем и Накаямой (Maljkovic & Nakayama, 1994), заключается в том, что поиск выделяющегося объекта (color singleton) среди однородных дистракторов ускоряется, когда цвет цели повторяется по сравнению с условиями, когда цвет цели и дистракторов меняется. Это наблюдение, несмотря на непредсказуемость конкретного цвета, указывает на влияние повторения признаков. Эффект PoP наблюдался с различными выделяющими признаками, включая цвет, ориентацию, форму и размер. Истории выбора также были обнаружены в задачах конъюнктивного поиска. Данная работа вносит вклад в понимание PoP путем выделения вклада смещения внимания независимо от перцептивной заметности или прайминга реакции. Это достигается за счет новой адаптации задачи с буквенным зондом, позволяющей оценить смещение внимания через вспоминание зонда и оценить вклады активации цели и подавления дистрактора — двух процессов, которые обычно смешиваются при сравнении повторений и переключений.

Предложенные механизмы истории выбора

Несколько процессов были предложены для объяснения эффектов истории выбора:

  • Предиактивные (увеличенная заметность признаков): Согласно этим объяснениям (например, Becker, 2008; Bichot & Schall, 2002; Kumada, 2001), неявное кодирование признаков цели в предыдущей пробе (Trial N–1) повышает активацию этого признака в текущей пробе (Trial N). Таким образом, эффекты истории выбора возникают за счет «подсвечивания» повторяющегося признака путем увеличения его заметности. Исследования на приматах показали, что активация в фронтальном глазном поле (frontal eye field), связанном с картой заметности, была выше в пробах с повторением цели по сравнению с пробами с переключением.
  • Смещение при принятии решений: Другие исследования предполагают, что история выбора может смещать решение о том, куда направить внимание, не изменяя при этом перцептивную заметность (например, Amunts et al., 2014; Burnham, 2023; Lleras et al., 2008). В терминах диффузионных моделей (diffusion modeling) это отражает сдвиг в начальной точке процесса принятия решений, что наблюдалось в задачах PoP. Это предполагает, что история выбора повлияла на решение о том, что именно выбирать. Было также показано, что PoP и эффект предварительного просмотра дистрактора (distractor preview effect) возникают только тогда, когда требуется выбор цели, что указывает на то, что не сама заметность приводит к эффектам истории выбора, а активное взаимодействие с признаками цели.
  • Облегчение постселективных реакций: Возможно также, что история выбора облегчает постселективные реакции (например, Hillstrom, 2000; Huang et al., 2004; Huang & Pashler, 2005). Исследования показали, что повторение признаков цели взаимодействует с повторением реакции, предполагая, что история выбора повлияла на постселективные процессы. Изменения задачи между пробами также влияли на PoP, что предполагает влияние прайминга на выбор реакции, связанной с каждой задачей. Несмотря на свидетельства в пользу каждого из этих механизмов, многие исследователи сходятся во мнении, что история выбора отражает множественные механизмы.

Проблема смешения механизмов

Одна из сложностей в задачах PoP заключается в том, что сравнение проб с повторением (target and nontarget features repeat) и проб с переключением (target and nontargets features switch) не позволяет оценить независимые вклады активации от предыдущего выбора цели и ингибирования от игнорирования предыдущих дистракторов. То есть, история выбора может возникать из-за активации от предыдущего признака цели, ингибирования от предыдущего признака дистрактора, или обоих. В пробах с повторением реакция может быть быстрее, потому что признак текущей цели был активирован, а признак текущего дистрактора был подавлен. В пробах с переключением реакция может замедляться, потому что активация предыдущей цели сместила внимание к текущему дистрактору, а ингибирование предыдущего признака дистрактора замедлило выбор текущей цели. Таким образом, активация от предыдущей цели и ингибирование от предыдущего дистрактора смешиваются при переходах повторения и переключения, поэтому для оценки вкладов активации цели и ингибирования дистрактора необходима базовая линия.

Представленное исследование

Настоящее исследование было направлено на количественную оценку того, как история выбора способствует смещению внимания при принятии решений, путем независимого манипулирования повторением и переключением признаков цели и дистрактора. Этот подход основан на предыдущих работах, но расширяет их.

Эксперименты 1 и 2

В двух экспериментах, помимо проб с повторением и переключением, были включены базовые пробы (baseline trials) в стандартной задаче выделения. В Эксперименте 1 базовые пробы характеризовались тем, что ни цвет предыдущей цели, ни цвет предыдущих дистракторов не переносились на текущую пробу. В Эксперименте 2 было несколько базовых условий, в которых только цвет цели, только цвета дистракторов, или оба цвета могли повторяться, переключаться или быть новыми между пробами.

Задача идентификации зонда

В обоих экспериментах, помимо составной задачи поиска (compound search task), в которой наблюдатели делали быстрые реакции на то, какая сторона цели отсутствует, были включены пробы идентификации зонда. На этих пробах наблюдатели идентифицировали буквы, появлявшиеся на цели и дистракторах. Эта задача с зондом была адаптирована из работы Гаспелина и др. (Gaspelin et al., 2015) и происходила в меньшинстве проб. Она начиналась так же, как и пробы визуального поиска: выделяющийся по цвету объект появлялся среди объектов, идентичных по форме элементам поиска, с цветами, которые повторялись, переключались или были новыми (базовое условие) по сравнению с предыдущей пробой. Однако, через 200 мс, буквы кратковременно (100 мс) появлялись на каждом объекте, затем стирались и заменялись экраном ответа, служившим маской. Наблюдатели должны были вспомнить как можно больше букв, причем большее вспоминание ожидалось от тех объектов, на которые было направлено внимание.

Рисунок 1. Последовательность проб для задач визуального поиска и идентификации буквенных зондов. Стимулы не в масштабе.

Преимущества задачи с зондом

Задача с зондом предоставила способ изучения смещения внимания при принятии решений без влияния постселективного извлечения или увеличения заметности. Кратковременное (100 мс) предъявление буквенных зондов в сочетании с немедленным переключением задачи было разработано для ограничения влияния обработки, связанной с постселективными реакциями. Быстрое появление и ортогональный ответ (идентификация буквы, а не дискриминация формы) должны были изолировать распределение внимания от смещений на уровне принятия решений или моторики. Важно, что поскольку история выбора не должна увеличивать заметность однородных дистракторов, различия во вспоминании зонда от этих объектов служат доказательством смещения внимания, а не захвата снизу вверх. Если активация предыдущей цели смещала решение о выборе предыдущего цвета цели, вспоминание букв, появлявшихся на дистракторах, должно быть выше в пробах с переключением по сравнению с базовыми пробами, с небольшой разницей во вспоминании букв от дистракторов между пробами с повторением и базовыми пробами. Кроме того, вспоминание букв-зондов от одноцветной цели должно быть ниже в условии переключения, если смещение решения было обусловлено ингибированием наиболее недавнего цвета дистрактора. Таким образом, задача с буквенным зондом позволила изучить активацию цели и ингибирование дистрактора при принятии решений, смещенных историей выбора.

Эксперимент 1

Задача поиска с выделением

В Эксперименте 1 на большинстве проб выполнялась задача поиска с выделением, которая была случайно перемешана с задачей идентификации буквенных зондов. В каждой пробе появлялось пять ромбов. Один был выделяющимся по цвету объектом (целью), а остальные четыре — дистракторами, не являющимися одиночными (nonsingleton distractors). На большинстве проб испытуемые определяли, отсутствует ли у ромба левый или правый угол (задача поиска), а на других пробах на каждом ромбе появлялись прописные буквы английского алфавита, и испытуемые должны были вспомнить как можно больше из них (задача буквенного зонда). Ожидалось, что эффекты повторения цвета и эффекты переключения будут проявляться по сравнению с базовым условием в значениях времени реакции (RT). Для идентификации буквенных зондов, если прайминг смещал принятие решений в пользу выбора наиболее недавнего цвета цели (активация цели) и игнорирования наиболее недавнего цвета дистрактора (ингибирование дистрактора), вспоминание букв на одноцветной цели должно быть ниже в пробах с переключением по сравнению с базовыми пробами.

Методы

Участники

Предыдущие исследования в лаборатории показали сильные эффекты PoP (dz > 1). В данном исследовании, с тремя переходами (повторение, база, переключение), анализ мощности (power analysis) с использованием GPower (Faul et al., 2007) показал, что для обнаружения сильного эффекта (f = .25) с мощностью 0.90 (α = 0.05) требовалось не менее 12 испытуемых. 17 студентов Университета Скрантона подписались и приняли участие (11 женщин; одна левша). Возраст участников варьировался от 18 до 23 лет (M = 18.82, SD = 1.33 года), и они сообщили о нормальном или скорректированном до нормального зрении. Все испытуемые прошли тест на дальтонизм Ишихара.

Аппаратура

Эксперимент был запрограммирован и представлен с использованием E-Prime (2.0.10242) на компьютере Dell 755 (1.96 ГБ ОЗУ, 2.33 ГГц). Испытуемые сидели на расстоянии 60 см от монитора Dell E178Fpv с разрешением 1024 x 768 при частоте 60 Гц. Для реагирования в задаче поиска использовалась пятикнопочная коробка ответов, а для задачи буквенного зонда — компьютерная мышь.

Стимулы

Дисплеи поиска содержали пять ромбов (1.1° x 1.1°) на черном фоне (0.16 кд/м², RGB: 0, 0, 0), причем каждый ромб отсутствовал в левом или правом углу (0.14°). Один ромб был выделяющимся по цвету объектом (целью), а четыре других — однородно окрашенными дистракторами. Цвета цели и дистракторов выбирались случайным образом в каждой пробе, будучи красными (20.44 кд/м², RGB: 255, 0, 0), зелеными (20.62 кд/м², RGB: 10, 177, 31), синими (19.07 кд/м², RGB: 91, 123, 253) или желтыми (21.84 кд/м², RGB: 142, 133, 15). Для обеспечения единой базовой линии для переходов повторения и переключения, красные и зеленые ромбы появлялись вместе, или синие и желтые ромбы появлялись вместе; других цветовых комбинаций не было. Белый крест (25.77 кд/м², RGB: 255, 255, 255) появлялся в течение всей пробы для поддержания фиксации. Каждый ромб появлялся в одном из 12 случайных положений на окружности воображаемого эллипса (10° по ширине x 8° по высоте), центрированного на экране. Положения выбирались случайным образом, но положение цели никогда не повторялось между пробами.

Дисплей буквенного зонда состоял из пяти белых букв шрифтом Sans Serif (примерно 0.5° × 0.5°), выбранных случайным образом без повторений из английского алфавита, с одной буквой, наложенной на каждый из пяти ромбов на дисплее. Дисплей ответа зонда содержал все 26 букв английского алфавита и кнопку «OK». Дисплей ответа зонда также служил маской для дисплея зонда.

Процедуры

После получения согласия испытуемые проходили тест на дальтонизм Ишихара, который успешно прошли все. Затем монитор настраивался так, чтобы точка фиксации находилась на уровне глаз испытуемого. Испытуемые получали устные инструкции, которые также отображались на мониторе. Им сообщали, что большинство проб будут представлять собой задачу визуального поиска для обнаружения ромба необычного цвета, но на некоторых пробах их задача заключалась в идентификации белых букв, которые будут появляться на ромбах. Испытуемым сообщали, что цвета ромбов могут быть красным, зеленым, синим или желтым, но не сообщали о парах цветов. Испытуемым сообщали о вероятностях каждой задачи в блоке, но задача в любой конкретной пробе выбиралась случайным образом.

Для обеих задач (Рис. 1) испытуемым сообщали, что они увидят пять ромбов, один из которых будет отличаться по цвету. Для задачи поиска им говорили, чтобы они как можно быстрее и точнее указали, отсутствует ли у цели левый или правый угол. Испытуемые нажимали левую кнопку на коробке ответов, если отсутствовал левый угол, и правую кнопку, если отсутствовал правый угол. Для задачи буквенного зонда испытуемым было поручено не реагировать на отсутствующий угол на одноцветной цели, а запомнить как можно больше букв. Затем они использовали компьютерную мышь, чтобы выбрать от нуля до пяти букв и нажали «OK», когда больше не могли вспомнить буквы.

Все пробы начинались с дисплея фиксации в течение 500 мс, за которым следовал дисплей с пятью ромбами, так что обе задачи, поиск и буквенный зонд, начинались одинаково. Для задачи поиска (71,4% проб в блоке) ромбы оставались видимыми до 2000 мс или до тех пор, пока не был сделан ответ. Если испытуемый отвечал неправильно или проходило 2000 мс, проигрывался тон частотой 500 Гц в течение 100 мс. Для задачи буквенного зонда (28,6% проб в блоке) пять ромбов появлялись на 200 мс, а затем появлялись белые буквы (по одной на ромб) на 100 мс. Ромбы и буквы стирались, и появлялся дисплей ответа зонда, остававшийся видимым до тех пор, пока испытуемый не нажимал «OK», чтобы начать следующую пробу. Участникам не предоставлялась обратная связь о точности вспоминания букв.

Участники сначала проходили тренировочный блок из 48 проб только с задачей визуального поиска, за которым следовал второй тренировочный блок из 32 проб визуального поиска и 16 проб буквенного зонда. Затем участники проходили 10 блоков по 112 проб каждый (80 задач визуального поиска и 32 задачи буквенного зонда). В конце каждого блока испытуемым рекомендовалось отдохнуть глазами перед продолжением.

Результаты

Переходы между пробами были созданы на основе цветов, присутствовавших в текущей пробе (Trial N) и предыдущей пробе (Trial N–1): (1) Повторение: цвета цели и дистракторов повторялись. (2) Переключение: цвет цели менялся на цвет дистрактора. (3) База: Текущая проба (Trial N) не содержала цветов из предыдущей пробы (Trial N–1). Для всех анализов (время реакции (RT), ошибки, ответы на зонд) производительность оценивалась только на текущей пробе (Trial N), если в предыдущей пробе (Trial N–1) выполнялась задача поиска. Это было сделано для того, чтобы перенос (прайминг) на текущую пробу (Trial N) был одинаковым для задачи поиска и задачи зонда, и чтобы изменение режима ответа от того, что наблюдатель переводил руку с мыши на клавиатуру, не влияло на производительность в задаче поиска. Для анализов RT использовались только пробы с правильным ответом в обеих пробах (Trial N и Trial N–1), что привело к удалению 7.61% допустимых проб. Для анализа ошибок использовались только пробы с правильным ответом в предыдущей пробе (Trial N–1). Для анализов буквенных зондов использовались только пробы с правильным ответом в предыдущей пробе (Trial N–1), что привело к удалению 3.83% допустимых проб. Проценты правильно вспоминаемых букв-зондов рассчитывались на основе того, появлялась ли вспоминаемая буква на одноцветной цели или на дистракторе (в среднем по всем четырем дистракторам). Среднее время реакции (MRT), процент ошибок и проценты правильно вспоминаемых букв каждого испытуемого представлены в Таблице 1 и на Рис. 2.

Таблица 1. Среднее время реакции (RT), стандартные отклонения, процент ошибок и процент правильно вспоминаемых буквенных зондов на одноцветных целях и дистракторах для условий переключения цвета, повторения цвета и базовых переходов между пробами.

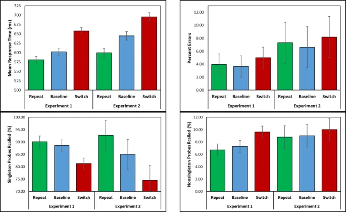
Рисунок 2. Среднее время реакции (RT), процент ошибок и процент одноцветных целей и дистракторов, буквенных зондов, вспоминаемых в условиях повторения, переключения и базы. Эксперименты 1 и 2. Погрешности представляют собой 95% доверительные интервалы.

Время реакции

Однофакторный дисперсионный анализ повторных измерений (repeatedmeasures ANOVA) с тремя уровнями (Повторение, Переключение, База) выявил значительный эффект перехода [F(2,32) = 99.42, MSE = 271.22, p <.001]. Пост-хок тесты Тьюки показали, что RT были быстрее в условиях повторения (M = 352 мс) по сравнению с базовыми условиями (M = 406 мс) и условиями переключения (M = 416 мс), а также быстрее в базовых условиях по сравнению с условиями переключения. Это указывает на классический эффект PoP, где повторение признаков цели ускоряет реакцию, а переключение замедляет ее. Никакого значимого взаимодействия с условием предъявления зонда не обнаружено.

Идентификация буквенных зондов

Анализ вспоминания буквенных зондов показал, что на одноцветной цели вспоминание было выше в условиях повторения (M = 16.02%), чем в базовых (M = 13.17%) или переключающих (M = 13.00%) условиях. Это свидетельствует о том, что внимание было больше сосредоточено на цели, когда ее признаки повторялись. На дистракторах вспоминание было выше в условиях переключения (M = 10.02%), чем в базовых (M = 7.65%) или условиях повторения (M = 7.49%). Этот результат указывает на то, что внимание было смещено в сторону дистракторов, когда цвет цели переключался, что, вероятно, отражает ингибирование предыдущего цвета дистрактора.

Анализ смещения внимания

Чтобы количественно оценить вклад активации цели и ингибирования дистрактора, был проведен анализ, основанный на предсказаниях модели. Если бы только активация цели влияла на смещение внимания, то вспоминание букв на дистракторах должно было бы быть одинаковым в условиях повторения и переключения. Если бы только ингибирование дистрактора влияло на смещение внимания, то вспоминание букв на одноцветной цели должно было бы быть одинаковым в условиях повторения и переключения. Поскольку наблюдались оба эффекта (увеличенное вспоминание на цели в условиях повторения и увеличенное вспоминание на дистракторах в условиях переключения), это свидетельствует о комбинированном влиянии активации цели и ингибирования дистрактора. Оценка вклада каждого компонента показала, что активация цели объясняет примерно 2.4% эффекта PoP, а ингибирование дистрактора — еще 2.4%. Сумма этих вкладов (4.8%) оказалась близка к общему наблюдаемому эффекту PoP в задаче с зондом (4.6%).

Взаимодействие формы/реакции

Для изучения эпизодического извлечения в задаче поиска был проведен аналогичный анализ 2 (Форма/Реакция: Одинаковая, Различная) × 3 (Переход: Повторение, База, Переключение) повторных измерений ANOVA по RT задачи поиска. Результаты показали значительный основной эффект перехода [F(2,60) = 109.44, MSE = 659.26, p <.001, ηp2 =.78], который взаимодействовал с формой/реакцией [F(2,60) = 10.22, MSE = 239.48, p <.001, ηp2 =.25]. PoP был больше, когда форма/реакция цели была той же, что и в предыдущей пробе (76 мс; t(30) = 11.91, SE = 6.60, p <.001, d = 1.16), чем когда форма/реакция отличалась (57 мс; t(30) = 10.27, SE = 5.57, p <.001, d = 0.75). Таким образом, форма/реакция оказали переносное влияние на производительность визуального поиска, но не оказали переносного влияния на реакции зонда. Это свидетельствует о том, что эффекты прайминга в задаче зонда не были вызваны эпизодическим извлечением.

Совместимость формы дистрактора

Также возможно, что форма одноцветной цели облегчала вспоминание букв, появлявшихся на объектах-дистракторах, форма которых совпадала с формой цели. На каждой пробе два объекта-дистрактора совпадали по форме с целью (совместимые), а два других — не совпадали (несовместимые). Вспоминание зондов букв, появлявшихся на дистракторах, анализировалось в зависимости от того, совпадала ли форма дистрактора с формой цели. Объединенные данные из Экспериментов 1 и 2 не выявили разницы во вспоминании зондов, появлявшихся на дистракторах с формами, совместимыми с формой цели (M = 9.02%, SD = 7.31%), или несовместимыми с формой цели [M = 8.81%, SD = 7.35%; t(30) = 0.46, SE = 0.0046, p = .649, d = .08]. Вкратце, эти анализы предполагают, что форма одноцветной цели не оказала заметного влияния на вспоминание зонда, и что эффекты прайминга на вспоминание зонда не отражали эпизодическое извлечение.

Общая дискуссия

Настоящее исследование использовало задачу обнаружения и вспоминания зонда для изучения того, как активация цели и ингибирование дистрактора способствуют смещению внимания при выделении в задачах поиска с выделением. Как обсуждалось ранее, несколько процессов могут способствовать эффектам истории выбора: (1) преактивная прибыль (preattentive gain), (2) смещение при принятии решений в отношении внимания и (3) постселективное извлечение. Поскольку стандартные задачи PoP могут смешивать эти процессы, случайное чередование задачи с буквенным зондом с задачей визуального поиска позволило изолировать смещение внимания. В частности, быстрая активизация букв и переключение на задачу зонда должны исключить влияние постселективного извлечения, а история выбора не должна влиять на заметность однородных дистракторов, поэтому любое увеличение вспоминания зонда от дистракторов должно отражать смещение внимания для выбора цвета наиболее недавней цели. Как Эксперимент 1, так и Эксперимент 2 выявили PoP в RT и в вспоминании зондов, появлявшихся на одноцветной цели и дистракторах-дистракторах. В частности, (1) RT были ниже в пробах с повторением, чем в базовых или переключающих пробах; (2) вспоминание зондов на одноцветной цели было выше в пробах с повторением, чем в базовых или переключающих пробах; и, что наиболее интересно, (3) вспоминание зондов на дистракторах-дистракторах было выше в пробах с переключением, чем в базовых или пробах с повторением, что, вероятно, отражало смещение внимания для выбора предыдущего цвета цели. Кроме того, более низкий процент вспоминаемых зондов с одноцветных целей в пробах с переключением, вероятно, отражает смещение внимания для игнорирования или подавления предыдущего цвета дистрактора. В итоге, результаты предполагают, что принятие решений, смещенное вниманием, подвергалось влиянию повторения признаков и переключения признаков.

Эксперимент 2: Независимая оценка вкладов

Эксперимент 2 был разработан для того, чтобы отдельно оценить уникальные вклады активации цели и ингибирования дистрактора в смещение внимания. Путем назначения двух из четырех возможных цветов одноцветным целям и дистракторам-дистракторам, Эксперимент 2 продемонстрировал, что активация цели и ингибирование дистрактора способствовали эффектам истории выбора в основном аддитивным образом. Таким образом, в любой данной пробе одновременный выбор признаков цели и игнорирование признаков дистрактора смещали будущие решения внимания в сторону ранее выбранного цвета и в сторону от ранее проигнорированного цвета.

Новизна и вклад исследования

Данные эксперименты являются первыми, насколько известно автору, в использовании задачи вспоминания зонда в задаче поиска с выделением, которая ранее использовалась для изучения эффектов захвата внимания и контингентного захвата внимания. Настоящее исследование вносит вклад в литературу по истории выбора, исследуя лежащий в основе компонент истории выбора, в данном случае, как история выбора вызывает смещение внимания для выбора признаков наиболее недавно привлеченной цели, а также для игнорирования наиболее недавних дистракторов. Предыдущие исследования варьировали задачу или требование к реакции для изучения влияния постселективных процессов, задержку перед изменением цвета на дисплее для изоляции ранней активации или использовали диффузионное моделирование для оценки вкладов процессов истории выбора. Каждое из этих исследований предоставляло свидетельства того, что один процесс или более одного процесса способствовали истории выбора. Кроме того, Беккер и др. (Becker et al., 2023) использовали отслеживание взгляда для изучения того, куда попадают первые фиксации и где взгляд задерживается (т.е. цели против дистракторов) после переходов повторения и переключения, и действительно обнаружили, что активация от предыдущей цели смещала последующие движения глаз. Поскольку большинство объяснений сходятся во мнении, что несколько процессов способствуют эффектам истории выбора, необходимы тщательное исследование и обзор области для определения того, когда, как и в каком порядке эти компоненты задействуются и способствуют истории выбора.

Остающиеся вопросы

Остается несколько нерешенных вопросов. Первый — насколько производительность (прайминг) в задаче зонда действительно отражает внимание, а не эпизодическое извлечение. Анализ сходства формы/реакции не выявил никакого влияния предыдущей реакции цели поиска на производительность зонда, и было показано, что задача зонда отражает внимание; следовательно, маловероятно, но не невозможно, что эпизодическое извлечение продолжалось до эффектов прайминга на вспоминание зонда. Во-вторых, каков временной ход активации цели и ингибирования дистрактора? Давно известно, что эффекты PoP возникают из дисплеев раньше, чем Trial N–1. Например, Мальчкович и Накаяма (Maljkovic & Nakayama, 1994) обнаружили прайминг от признаков цели и дистракторов уже на N–5 пробах раньше, который увеличивался с недавним появлением признаков прайминга. К сожалению, представленное исследование не было настроено для изучения такого накопления, поскольку потребовалось бы независимо варьировать недавность повторения цели и дистрактора по нескольким лагам, чтобы обеспечить достаточное количество проб.

Заключение

В заключение, настоящее исследование случайным образом чередовало задачу обнаружения и вспоминания зонда со стандартной задачей поиска с выделением для изучения того, как смещение внимания при принятии решений способствует эффектам истории выбора. Результаты подтверждают, что эффекты истории выбора вызывают смещение внимания через активацию признаков цели и ингибирование признаков дистрактора.

Короткие версии статей можно найти в телеграм-канале.

Посмотреть канал
Кликните еще раз для перехода

Нормобакт L саше №10 – пробиотик, пребиотик, здоровье ЖКТ

Нормобакт L – комплекс пробиотика Lactobacillus rhamnosus GG и пребиотика фруктоолигосахаридов, помо...

Помогуша Сироп Противопаразитарный для детей 3+ — 100 мл

Помогуша Сироп Противопаразитарный для детей с 3 лет — эффективное средство для защиты организма мал...

Биодерма Фотодерм AR Крем SPF 50+ защита и тон

Биодерма Фотодерм AR Крем SPF 50+ — солнцезащитный крем для лица с тонирующим эффектом, специально с...

Ападент зубная паста реминерализующая 120 мл

Ападент реминерализующая зубная паста 120 мл эффективно укрепляет эмаль, восстанавливает минералы и ...

Аффилайн Nahrin 500 мл — лимфодренажное средство

Аффилайн Nahrin — натуральный лимфодренажный комплекс на основе растительных экстрактов, помогает мя...

Acuvue Oasys HydraLuxe -4,50 №30 линз

Однодневные контактные линзы Acuvue Oasys with HydraLuxe BC 8,5 -4,50 №30 обеспечивают комфорт и чет...