
Интересное сегодня
Роль самотрансцендентности и принятия болезни у пациентов с ...
Хроническая обструктивная болезнь легких (ХОБЛ) является распространенным хроническим заболеванием с...
Совместное расстройство пищевого поведения и психоза: клинич...
Введение Расстройства пищевого поведения (РПП) и психотические расстройства связаны с серьезными нар...
Нейронные сети в психологии: оценка когнитивных процессов и ...
Введение Основная цель исследований в психологии — делать выводы о скрытых когнитивных процессах на ...
Дружелюбный детский медицинский наряд: как это изменяет уров...
Введение Стоматологическая тревожность (DA) — это реакция на неизвестный риск для пациента, вызывающ...
Что такое эксцесс в статистике: виды и значение
Что такое эксцесс в статистике? Эксцесс — это статистическая мера, которая описывает степень концент...
Как физическая активность влияет на творческую деятельность ...
Введение Физическая активность (ФА) связана с увеличением продолжительности жизни и улучшением качес...
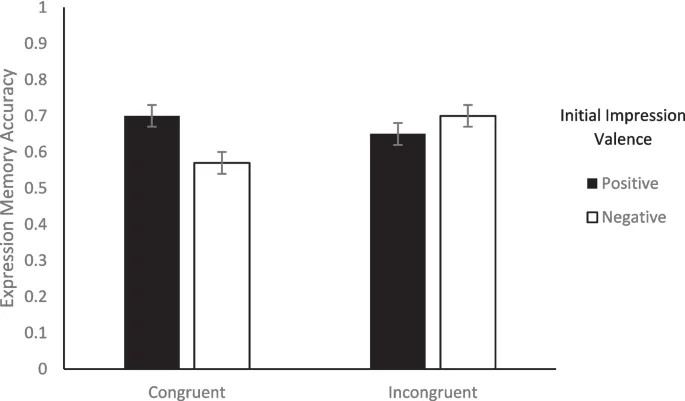
Влияние конгруэнтности на социальную память
Различные типы информации о социальных объектах используются при формировании впечатлений и принятии решений. Поведение и убеждения играют ключевую роль в оценке других людей, поскольку мы спонтанно анализируем действия, чтобы сделать выводы о чертах характера (Todorov & Uleman, 2003). Однако визуальная информация, особенно мимика, также сильно влияет на восприятие. Например, люди быстро оценивают агрессивность, компетентность и надежность по структуре лица (Willis & Todorov, 2006).
Конгруэнтность и её эффекты
Когда визуальная и поведенческая информация противоречат друг другу, люди часто полагаются на мимику, игнорируя более значимые поведенческие данные (Olivola & Todorov, 2010). Это создает когнитивный диссонанс, который может как улучшать, так и ухудшать запоминание. Некоторые исследования показывают преимущество конгруэнтной информации (Cassidy & Gutchess, 2015), в то время как другие обнаруживают, что несоответствия запоминаются лучше из-за повышенной salience (Suzuki & Suga, 2010).
Методология исследования
В эксперименте участвовали 48 студентов, которые оценивали социальные цели по фотографиям лиц (счастливые/злые выражения) и описаниям позитивного/негативного поведения. Последовательные фазы включали:
- Формирование впечатления: участники создавали позитивный/негативный образ на основе мимики и текста.
- Тест памяти: воспроизведение впечатлений, поведенческих деталей и выражений лиц.
- Решение о подходе-избегании: выбор, хотели бы они жить по соседству с каждым объектом.
Ключевые результаты
Конгруэнтность почти не повлияла на память, за исключением лучшего запоминания позитивных выражений в согласованных условиях. При этом:
Правильно воспроизведенные позитивные впечатления и поведение увеличивали выбор подхода, а негативные — избегания. Однако валентность мимики не оказывала значимого эффекта.
Выводы и практическое значение
Отсутствие явного преимущества конгруэнтности предполагает, что предыдущие эффекты могли быть связаны с дизайном экспериментов (например, нарушением ожиданий). Решения о взаимодействии преимущественно опирались на память о поведении, а не на мимику, что подчеркивает адаптивность социального познания. Это открытие важно для понимания механизмов доверия и кооперации в реальных ситуациях.