Влияние исполнительных функций на производительность водителей пожилого возраста при переключении управления в автопилотируемых автомобилях

Влияние исполнительных функций на производительность водителей пожилого возраста при переключении управления в автопилотируемых автомобилях

Интересное сегодня

Социальные связи: как одиночество влияет на наше здоровье

Влияние одиночества на здоровье Исследования, проведенные командой Гарварда, показывают, что мозг об...

Как стресс и депрессия во время беременности влияют на качес...

Введение Беременность — это период повышенной уязвимости для женщин, сопровождающийся не только горм...

Как использование интернета усиливает страх заражения COVID-...

Введение Интернет стал неотъемлемой частью повседневной жизни людей. В Китае, благодаря быстрому раз...

Влияние раннего стресса, кенгуру-ухода, родительского поведе...

Введение Саморегуляция и исполнительные функции являются ключевыми предикторами будущего когнитивног...

Как улучшить коллективный разум: методы сбора и агрегации мн...

Введение Феномен мудрости толпы (Wisdom of Crowds, WOC), который предполагает, что совокупная информ...

Влияние родительско-детских отношений на зависимость от смар...

Введение Исследование направлено на изучение влияния родительско-детских отношений на зависимость от...

Рисунок 1: Иллюстрации задач для оценки компонентов исполнительных функций.
Рисунок 1: Иллюстрации задач для оценки компонентов исполнительных функций.
Рисунок 2: Сценарий задачи переключения управления: обнаружение стационарной грузовой машины.
Рисунок 2: Сценарий задачи переключения управления: обнаружение стационарной грузовой машины.
Рисунок 3: Производительность вождения: сравнение стандартного отклонения угла рулевого колеса (sdSteer) и времени до столкновения (TTC) между возрастными группами и условиями NDRT.
Рисунок 3: Производительность вождения: сравнение стандартного отклонения угла рулевого колеса (sdSteer) и времени до столкновения (TTC) между возрастными группами и условиями NDRT.
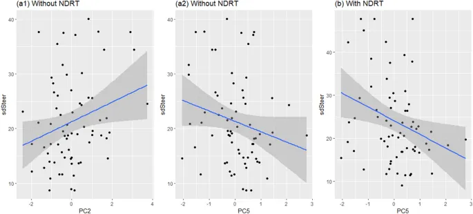
Рисунок 4: Корреляции между компонентами исполнительных функций и производительностью вождения (sdSteer и TTC).
Рисунок 4: Корреляции между компонентами исполнительных функций и производительностью вождения (sdSteer и TTC).
Thumbnail 1
Thumbnail 2
Thumbnail 3
Thumbnail 4
Thumbnail 5
Thumbnail 6
Thumbnail 7
Оригинал исследования на сайте автора

Влияние возрастных особенностей исполнительных функций на эффективность переключения управления в автомобилях с автоматическим пилотированием

Разработка автомобилей с высоким уровнем автоматизации призвана удовлетворить потребности пожилых водителей в мобильности. Однако, часто наблюдается снижение эффективности вождения после запроса на переключение управления (TOR), особенно при выполнении задач, не связанных с вождением (NDRT - Nondriving related tasks). Данное исследование направлено на выявление корреляции между производительностью при переключении управления и лежащими в основе когнитивными факторами, включая исполнительные функции (Executive Functions, EF).

Введение

В 2021 году численность населения в возрасте 60 лет и старше превысила 1 миллиард человек во всем мире, и к 2030 году каждый шестой человек будет старше 60 лет. В стареющих обществах доля пожилых водителей стремительно растет. В Японии, одной из стран с самой высокой долей пожилых граждан, 29,1% населения в 2021 году составляли люди старше 65 лет, а к 2050 году их доля достигнет 37,7%. Более того, доля людей старше 70 лет с водительскими правами достигла 14,5% в 2019 году, увеличившись примерно в 15 раз за последние 30 лет.

Вождение является важным способом поддержания мобильности пожилых людей, что, как известно, сильно влияет на их независимость и качество жизни. Однако пожилые водители чаще попадают в аварии на перекрестках, при смене полосы движения и в дорожно-транспортных происшествиях с участием нескольких транспортных средств. Некоторые пожилые люди даже вынуждены отказываться от вождения из-за снижения физических и умственных кондиций.

Развитие высокоавтоматизированных транспортных средств, также известных как уровень автоматизации 3 (согласно определению SAE International), как ожидается, принесет пользу пожилым водителям, повысив их мобильность. Во время автоматического вождения уровня 3 водители могут заниматься задачами, не связанными с вождением (NDRT); однако в определенных ситуациях (например, неожиданная зона строительных работ или сломанное транспортное средство на шоссе), когда высокоавтоматизированная система дает сбой и выдает запрос на переключение управления (TOR - Takeover Request), например, звуковой сигнал, водители должны быть способны восстановить контроль над автомобилем.

Влияние NDRT на эффективность переключения управления

Известно, что выполнение NDRT влияет на эффективность переключения управления, приводя к большему числу столкновений и большему отклонению от центра полосы движения. Негативное влияние NDRT особенно критично для пожилых водителей, учитывая снижение их водительских способностей. Поэтому поведение пожилых водителей после TOR может быть более осторожным или консервативным, чем у молодых водителей. Например, они предпочитают больше тормозить и поддерживать более безопасную дистанцию. Кроме того, у пожилых водителей замедлилась реакция и принятие решений при восстановлении контроля после TOR. Более того, после периода ручного вождения у пожилых водителей увеличивалось время реакции (RT - Reaction Time) на TOR, в то время как у молодых водителей этого не наблюдалось. Исследование Wu et al. выявило возрастные различия во взаимодействии NDRT и сонливости, показав, что выполнение NDRT не облегчало сонливость у пожилых водителей, а ухудшало их производительность при переключении управления. Распределение зрительного внимания также может различаться между молодыми и пожилыми водителями. То есть, пожилые водители по сравнению с молодыми больше сосредоточены на дороге, а не на NDRT. Кроме того, они реже проверяли зеркала заднего вида, и их время фиксации становилось короче при выполнении NDRT.

Другие исследования не выявили значимых возрастных эффектов на производительность вождения после TOR или времени переключения. Несмотря на различные дизайны исследований, эти противоречивые результаты предполагают, что за возрастными различиями могут стоять другие факторы. Исследование Li et al. изучило производительность, поведение и восприятие пожилых людей при переключении управления в различных возрастных подгруппах, предполагая, что пожилых людей следует рассматривать как гетерогенную группу. Помимо хронологического возраста, важно исследовать индивидуальные различия в производительности вождения в ответ на TOR, используя явные факторы.

Исполнительные функции и поведение пожилых водителей

Вождение — это сложная задача, требующая различных когнитивных способностей. Например, зрительное внимание и висцеро-пространственное познание связаны с общей производительностью вождения: перцептивно-когнитивные способности связаны с контролем скорости и риском аварий, простое время реакции связано с восприятием опасности, а рабочая память — с принятием решений. Эти когнитивные способности связаны с возрастом, поэтому пожилые водители с худшими когнитивными способностями с большей вероятностью демонстрируют опасное поведение за рулем и попадают в аварии. Adrian et al. пришли к выводу, что функциональные способности были более определяющими, чем хронологический возраст, в прогнозировании производительности пожилых водителей. Исследования показали, что возрастное снижение различных когнитивных задач может быть связано со старением лобной доли, также известной как гипотеза старения лобной доли. Кроме того, было продемонстрировано, что лобная доля коррелирует с исполнительными функциями (EF). Исполнительные функции представляют собой набор высших когнитивных процессов, которые координируют низкоуровневые процессы, и могут быть определены как процессы, которые контролируют и регулируют мышление и действие. Исполнительные функции могут играть решающую роль в задачах вождения, поскольку они требуют комплексных когнитивных навыков для обобщения информации и контроля действий, таких как поддержание непрерывного внимания, обработка нерелевантной информации и адаптация к различным требованиям задачи.

Основные компоненты исполнительных функций:

  • Обновление (Updating): способность поддерживать и обновлять информацию в рабочей памяти, отбрасывая устаревшие или нерелевантные данные.
  • Ингибирование (Inhibition): способность подавлять автоматические или доминирующие реакции, фокусируясь на нужной информации или задаче.
  • Сдвиг (Shifting): гибкость мышления, позволяющая переключаться между различными задачами, правилами или умственными установками.

Предыдущие исследования выявили важную связь между производительностью вождения и исполнительными функциями. Daigneault et al. обнаружили, что пожилые водители с более низкими исполнительными способностями чаще попадали в дорожно-транспортные происшествия. Более конкретно, были продемонстрированы корреляции между тремя компонентами исполнительных функций и производительностью вождения. Например, способность к сдвигу (в основном измеряемая с помощью тестов на слежение) была связана с риском аварий, поведением вождения на дороге, восприятием опасности и ошибками вождения в положении полосы. Исследователи также обнаружили, что способность к ингибированию, связанная с избирательным вниманием, была связана с оценками вождения на дороге, производительностью вождения на дороге и ошибками наблюдения. Способность к обновлению, связанная с рабочей памятью, играет важную роль в принятии решений водителями.

В комплексных исследованиях, посвященных трем основным компонентам исполнительных функций, было обнаружено, что компоненты обновления, ингибирования и сдвига значительно коррелируют с производительностью вождения. Walshe et al. рассмотрели различные подпроцессы исполнительных функций и пришли к выводу, что ингибирование и обновление играют важную роль в авариях. Более того, компоненты исполнительных функций, полученные с помощью анализа главных компонент (PCA - Principal Component Analysis) и конфирматорного факторного анализа, показали четкие корреляции между этими латентными факторами и производительностью вождения. Использование скрытых, структурированных компонентов, полученных из результатов когнитивных тестов, а не чистой производительности задач, может снизить сложность исследований исполнительных функций, вызванную так называемой «проблемой нечистоты задач». Исполнительные задачи часто включают другие когнитивные задачи; следовательно, результаты тестов на исполнительные функции могут отражать дополнительные индивидуальные различия, не связанные с исполнительными функциями. Исследование корреляции между производительностью вождения и компонентами исполнительных функций как латентными переменными может избежать этих неопределенностей и дать более достоверные результаты.

В целом, несколько исследований были сосредоточены на возрастных различиях в производительности переключения управления, а также на важности способностей, связанных с исполнительными функциями, в поведении водителя. Однако исследований по взаимосвязи возрастных различий в компонентах исполнительных функций и производительности переключения управления в автоматизированном вождении очень мало. Чтобы заполнить этот пробел, мы разработали серию компьютерных когнитивных тестов и симулированных задач вождения для оценки исполнительных функций водителей и их производительности при переключении управления. Компоненты исполнительных функций были извлечены с помощью PCA, и были исследованы их корреляции с производительностью переключения управления. Цель данного исследовательского исследования двояка: во-первых, изучить, существуют ли возрастные различия в исполнительных функциях и производительности переключения управления в автоматизированном вождении, и, во-вторых, изучить взаимосвязь между конкретными компонентами исполнительных функций и производительностью переключения управления.

Методология

Участники

Активные лицензированные водители в нормальном состоянии здоровья были набраны из местного сообщества (Цукуба, Япония). Мы использовали метод добровольного набора: онлайн и офлайн объявления в местном сообществе, всего 70 участников подписались на исследование. Тридцать пять из них были пожилыми водителями старше 65 лет (средний возраст = 72,8 года, стандартное отклонение = 3,6 года), включая 17 мужчин и 18 женщин. Кроме того, 35 были молодыми водителями в возрасте до 35 лет (средний возраст = 27,8 года, стандартное отклонение = 4,4 года), включая 24 мужчин и 11 женщин. Соотношение полов не различалось значительно между группами (хи-квадрат = 2,12, степеней свободы = 1, p = 0,145). Все участники предоставили информированное согласие в соответствии с протоколом исследования, одобренным Этическим комитетом по исследованиям Национального института передовых промышленных наук и технологий (AIST). Девяносто процентов участников проезжали более 1000 км в год (34% = 1000–5000 км в год; 58% = более 5000 км) и часто ездили в повседневной жизни (30% ездили 3–4 дня в неделю, 59% ездили ежедневно). 54,3% участников указали, что вождение является их единственным средством передвижения ежедневно, а 20% участников указали, что 75% их ежедневных поездок приходилось на вождение. Значительных различий в этих показателях между возрастными группами не было обнаружено.

Процедура

Перед экспериментом экспериментатор приветствовал участников и ознакомил их с целью и содержанием эксперимента. Затем участникам были представлены три когнитивные задачи. Перед каждой задачей участники получали подробные инструкции и достаточное количество тренировочных сессий. После выполнения когнитивных задач участники получали 10-минутный перерыв. Затем им были представлены задачи вождения на симуляторе. Участники прошли две практические сессии вождения: сессия ручного вождения с простыми маневрами (например, смена полосы движения) и сессия автоматизированного вождения со сценариями TOR, аналогичными тем, которые использовались в формальном эксперименте. После ознакомления с управлением симулятором и требованиями задачи вождения участники завершили экспериментальную сессию вождения.

Материалы

Задача вождения проводилась на комплекте настольных симуляторов вождения в AIST. Симулятор вождения включал руль и педали Logitech в качестве устройств ввода, экран Panasonic (87 мм × 154 мм) с полем зрения примерно 45 градусов для визуального представления и комплект программного обеспечения Mitsubishi Driving Simulator для мониторинга и записи.

Задачи для оценки исполнительных функций

Всем участникам было предложено выполнить три компьютерные задачи на ноутбуке для измерения компонентов исполнительных функций (EF). Для всех задач участники наблюдали визуальные стимулы, отображаемые на экране ноутбука с использованием программного обеспечения Psychopy, и реагировали только на целевые стимулы, нажимая ранее указанные кнопки на клавиатуре. Каждая задача длилась 12–15 минут, с 5-минутным перерывом между задачами. Иллюстрации каждой задачи показаны на Рис. 1.

Обновление (Updating)

Этот компонент оценивался с использованием классической версии последовательной задачи n-назад (nback task). В условии 0-назад целевой буквой была первая буква последовательности в блоке; в условии 1-назад целевой буквой была любая буква, идентичная предшествующей букве; в условии 2-назад целевой буквой была любая буква, идентичная букве, появившейся два испытания назад. Буквы в верхнем регистре появлялись в случайном порядке в течение 500 мс с интервалом 2000 мс до начала следующего испытания. Участники выполняли 12 испытаний в каждом блоке и 12 блоков всего. Перед каждым блоком тип задачи этого блока отображался в центре экрана. Каждый блок и испытание представлялись в случайном порядке.

Ингибирование (Inhibition)

Этот компонент оценивался с использованием визуальной версии парадигмы задачи Саймона (Simon task). Каждый блок начинался с фиксирующего креста в центре экрана. В каждом испытании красный или зеленый круг появлялся слева или справа от креста и оставался видимым в течение 500 мс. Участникам было поручено нажать левую кнопку при виде зеленого круга и правую кнопку при виде красного круга. После исчезновения стимула следовал интервал 2000 мс до начала следующего испытания. Участники выполняли 12 испытаний в каждом блоке и 12 блоков всего. Шесть блоков были конгруэнтными условиями, состоящими из конгруэнтных испытаний, в которых стимулы предъявлялись на той же стороне, что и соответствующая кнопка ответа. Другие шесть блоков были смешанными условиями, в которых каждый блок состоял из половины конгруэнтных и половины неконгруэнтных испытаний (стимулы предъявлялись на противоположной стороне по отношению к соответствующей кнопке). Каждый блок и испытание представлялись в случайном порядке.

Сдвиг (Shifting)

Этот компонент оценивался с использованием измененной числовой версии парадигмы переключения задач (task switching paradigm). Эта парадигма включала две задачи, связанные с числами. В каждом испытании числовая цифра (от 1 до 9, исключая 5) отображалась в центре экрана и была окружена сплошным или пунктирным квадратом. Правила задачи определялись следующим образом: если квадрат был сплошным, участники должны были определить, больше или меньше цифра 5; если квадрат был пунктирным, они должны были определить, четная или нечетная цифра. Участникам было поручено нажать две кнопки на клавиатуре в соответствии с различными ответами. Цифры предъявлялись в течение 1500 мс в каждом испытании с интервалом 2000 мс до начала следующего испытания. Участники выполняли 12 испытаний в каждом блоке и 16 блоков всего. Восемь блоков были условиями однородности задач, в которых появлялся только один тип задач, а другие восемь блоков были условиями гетерогенности задач, в которых смешивались два типа, и каждый тип задачи поочередно появлялся дважды. Считалось, что выбор чередующихся серий увеличивает требования к рабочей памяти участников, когда они пытаются отслеживать задачи; таким образом, это был более чувствительный способ выявления групповых различий. Каждый блок и испытание представлялись в случайном порядке.

Эксперимент вождения

Был разработан двухфакторный смешанный эксперимент (2 (возраст) × 2 (NDRT)) с междугрупповым и внутригрупповым факторами. Междугрупповым фактором был возраст (молодые и пожилые водители), а внутригрупповыми факторами — выполнение NDRT (без дополнительной задачи и с выполняемой задачей).

Сценарий задачи вождения

Участники столкнулись с измененной версией задачи смены полосы движения (Lane Changing Task) после TOR в симулированном автомобиле с уровнем автоматизации 3. Аналогичные сценарии в версии с автоматическим вождением часто используются для оценки производительности водителей при переключении управления во время выполнения NDRT. В данном исследовании мы выбрали типичный сценарий: блокирующая полосу стационарная грузовая машина внезапно обнаруживается при смене полосы движения перед автомобилем (см. Рис. 2). Участники, находящиеся в самоуправляемом автомобиле (автомобиль 1), большую часть времени находились в режиме автоматического вождения, до тех пор, пока не получали звуковое предупреждение «Переход на ручное управление» на японском языке как TOR и затем не просили полностью взять управление (руль и педали). Участники должны были сменить полосу движения, чтобы избежать столкновения и обогнать стационарную грузовую машину (автомобиль 2), которая была обнаружена при смене полосы движения ведущим автомобилем (автомобиль 3). Скорость, установленная для автоматического вождения и всех движущихся автомобилей, составляла 25 м/с. TOR происходил на расстоянии 100 м перед стационарной грузовой машиной. Движущиеся автомобили (каждые 50 м один автомобиль) располагались в правой полосе рядом с полосой движения участника, поэтому участники также должны были обращать внимание, чтобы избежать столкновений. Сценарий заканчивался, когда участник проезжал 200 м после стационарной грузовой машины, также отмеченное звуковым сообщением «Автоматическое вождение начинается».

На основе предыдущих исследований времени, отведенного на переключение управления, обычные выборы находились в диапазоне от 4,5 до 7,5 секунд. В данном исследовании мы установили время ожидания в 4 секунды, чтобы сделать сценарий более рискованным и оказать большее давление на участников.

Задача, не связанная с вождением (NDRT)

NDRT во время автономного вождения была выбрана как задача последовательного определения целевой буквы 0-назад. Каждые 2 секунды динамик случайным образом воспроизводил голос с буквой, и участники должны были нажать кнопку на руле, если они слышали целевую букву. NDRT продолжались примерно 40 испытаний до момента TOR и заканчивались воспроизведением звукового сигнала TOR.

Аудиальный, но не визуальный, NDRT был разработан для избежания дополнительного визуального отвлечения в дорожной среде. Основываясь на нашем пилотном исследовании, текущая версия аудио задачи 0-назад средней сложности была выбрана для того, чтобы участники (особенно пожилые) были вовлечены в NDRT во время автоматического вождения.

Измерения

Компоненты исполнительных функций

Для компонента обновления рабочей памяти были измерены время реакции (RT) для каждого правильного ответа и точность в каждом условии в задаче n-назад. Для компонента ингибирования были записаны RT для каждого правильного ответа и точность в конгруэнтных и смешанных блоках, а эффект Саймона (Simon effect) рассчитывался на основе разницы в RT между конгруэнтными и неконгруэнтными испытаниями в смешанных блоках в задаче Саймона. Для компонента сдвига были рассчитаны RT для каждого правильного ответа, точность в условиях однородности задач и гетерогенности задач, а также стоимость переключения (switch cost), рассчитанная как разница в RT между испытаниями после переключения и без переключения в условиях гетерогенности задач в задаче переключения.

Производительность вождения

Данные о производительности вождения записывались с частотой 60 Гц. Сырые данные включали данные о положении, скорости и ускорении автомобиля, а также данные ввода водителя (например, управление рулевым колесом и педалями). Согласно аналогичным исследованиям, мы выбрали две проверенные валидные меры для оценки качества производительности переключения управления:

  • sdSteer: стандартное отклонение угла рулевого колеса, рассчитанное как стандартное отклонение угла рулевого колеса после TOR до окончания ручного вождения. Это указывало на способность восстановить контроль над автомобилем и плавную смену полосы движения.
  • TTC (Time To Collision): время до столкновения, рассчитанное как расстояние в момент смены полосы движения, деленное на мгновенную скорость. Это указывало на способность поддерживать продольный запас безопасности при смене полосы движения в ответ на TOR.

Результаты

Оценка исполнительных функций

Производительность n-назад

Основные эффекты возрастной группы были обнаружены с помощью двухфакторного смешанного дисперсионного анализа (ANOVA): молодая группа показала более быструю реакцию (RT) (F(1,68) = 7,82, p = 0,007) и более высокую точность (F(1,68) = 26,87, p < 0,001), чем пожилая группа. Увеличение сложности задачи также показало значительный основной эффект в виде увеличения RT (F(2,136) = 111,77, p < 0,001) и снижения точности (F(2,136) = 113,26, p < 0,001). Кроме того, были отмечены значимые взаимодействия между возрастной группой и сложностью задачи для RT (F(2,136) = 7,83, p < 0,001) и точности (F(2,136) = 24,16, p < 0,001).

Тест простых эффектов продемонстрировал, что для RT в задачах 0-назад (t = 1,19, df = 63,46, p = 0,240) и 1-назад (t = 1,68, df = 67,67, p = 0,097) не было значительных различий между возрастными группами, в то время как пожилая группа имела значительно более длительные RT (t = 3,55, df = 64,81, p < 0,001). Для точности ответов не было значительных различий между возрастными группами в задаче 0-назад (t = -0,27, df = 67,48, p = 0,785), но были отмечены значительные потери в точности у пожилой группы в задачах 1-назад (t = -2,81, df = 50,87, p = 0,007) и 2-назад (t = -6,36, df = 58,67, p < 0,001).

Производительность задачи Саймона

Мы обнаружили основные эффекты между возрастными группами, при которых молодые участники показали более быстрые RT (F(1,68) = 15,71, p < 0,001), чем пожилые; однако значимых различий в точности (F(1,68) = 1,27, p = 0,264) между возрастными группами не было. Мы также обнаружили значительное увеличение RT (F(1,68) = 16,59, p < 0,001) и снижение точности (F(1,68) = 4,57, p = 0,036) в неконгруэнтных по сравнению с конгруэнтными испытаниями. Однако значимых взаимодействий для RT (F(1,68) = 1,13, p = 0,292) или точности (F(1,68) = 3,43, p = 0,068) не было. Кроме того, значительных различий в эффекте Саймона (t = 1,06, df = 50,55, p = 0,293) между двумя возрастными группами не было.

Производительность задачи переключения

Мы обнаружили основные эффекты между возрастными группами, где молодые участники показали более быстрые RT (F(1,68) = 28,73, p < 0,001) и более высокую точность (F(1,68) = 10,56, p = 0,002), чем пожилые. Также был отмечен основной эффект переключения задач; в переключаемых испытаниях участники показали более длительные RT (F(1,68) = 369,99, p < 0,001) и меньшую точность (F(1,68) = 28,27, p < 0,001). Кроме того, были обнаружены двусторонние взаимодействия в RT между возрастными группами и условиями переключения (F(1,68) = 11,87, p < 0,001). Это можно объяснить значительно большей разницей в RT между переключаемыми и непереключаемыми испытаниями (стоимость переключения, также показанная в Таблице 1) у пожилой группы по сравнению с молодой группой (t = 3,45, df = 53,8, p = 0,001). Описательная статистика для задач EF представлена в Таблице 1.

Анализ главных компонент для компонентов исполнительных функций

PCA был проведен на основе мер когнитивных задач, чтобы сгенерировать более разумные, структурированные компоненты, представляющие способности исполнительных функций, и, таким образом, показать более четкую корреляцию с поведением при переключении управления. Соотношение участников к пунктам в нашем исследовании составляет 7,78:1 (всего 70 участников и 9 мер из разных задач), что больше минимального рекомендуемого соотношения участников к пунктам 5:1. Результаты PCA выбранных мер производительности в задачах EF (нормализованные данные) представлены в Таблице 2. Меры включали RT и точность выполнения задач. Точность в условии 0-назад не была выбрана, поскольку различия между индивидами и группами не были значительными. Меры для RT в задаче Саймона и переключения задач были выбраны как эффект Саймона и стоимость переключения в каждой задаче. Загрузки для каждого компонента представлены в Таблице 2. Главные компоненты были упорядочены по объясняемой дисперсии. Результаты показали, что PC1–PC4 имели собственные значения больше единицы. Что касается PC5, несмотря на собственное значение 0,87, разница в проценте объясняемой дисперсии между PC4 (11,4%) и PC5 (9,6%) не была очевидной, но снижение между PC5 и PC6 (6,3% дисперсии, 0,57 собственного значения) было резким. Учитывая процент объясняемой дисперсии, PC4 и PC5 по отдельности объясняли около 10% дисперсии, и при включении PC5 кумулятивная дисперсия составила более 80% (82,30%). Поэтому мы выбрали первые 5 компонентов по проценту объясняемой дисперсии и получили решение из пяти компонентов для дальнейшего анализа. Интерпретация основного состава каждого главного компонента и компонентов EF показана в Таблице 3.

Производительность вождения

Производительность вождения оценивалась по стандартному отклонению угла рулевого колеса (sdSteer) во время периода ручного вождения и TTC в момент смены полосы движения. Выбросы были определены как точки наблюдения, выходящие за пределы 1,5 * Межквартильного диапазона, который представляет собой разницу между 75-м и 25-м процентилями набора данных. Наблюдения выше и ниже границы заменялись верхним и нижним пределами значений 95-го и 5-го процентилей набора данных. Различия между группами и условиями представлены на Рис. 3.

Стандартные отклонения угла рулевого колеса (sdSteer)

Результаты двухфакторного смешанного ANOVA показали, что возраст оказывал основное влияние на sdSteer: пожилая группа (M = 25,62, SD = 10,08) имела значительно большее sdSteer, чем молодая группа (M = 19,78, SD = 7,31; F(1,67) = 10,72, p = 0,002). Основное влияние также было обнаружено между условиями с NDRT и без него, где sdSteer было выше в условиях с NDRT (M = 24,04, SD = 10,09), чем без (M = 21,28, SD = 8,12; F(1,67) = 6,12, p = 0,016). Значимых взаимодействий между возрастом и участием в NDRT не было (F(1,67) = 0,07, p = 0,788).

Время до столкновения (TTC)

Результаты двухфакторного смешанного ANOVA выявили отсутствие значимого основного эффекта в условиях с участием в NDRT и без него; TTC было больше при участии (M = 1,09, SD = 0,50), чем без участия (M = 0,95, SD = 0,54), хотя разница статистически не была значительной (F(1,67) = 2,97, p = 0,089). Значимых основных эффектов в возрастных группах (F(1,67) = 0,90, p = 0,347) и значимых взаимодействий между возрастом и участием в NDRT (F(1,67) = 1,72, p = 0,194) не было.

Корреляции между компонентами исполнительных функций и производительностью вождения

Корреляции между компонентами EF (результаты PCA мер EF) и производительностью вождения (sdSteer и TTC) анализировались для каждого условия (с/без участия в NDRT) с использованием коэффициентов корреляции Пирсона (см. Рис. 4). Корреляции рассчитывались на данных всех участников обеих групп в каждом условии.

Была обнаружена значимая корреляция между sdSteer и точностью компонента обновления (PC2, r = 0,26, p = 0,029) без участия NDRT, и sdSteer имел тенденцию коррелировать со стоимостью компонента сдвига (PC5, r = -0,22, p = 0,075), хотя корреляция статистически не была значительной. Кроме того, значимых корреляций между TTC и компонентами EF не было.

При участии в NDRT sdSteer был значительно коррелирован со стоимостью компонента сдвига (PC5, r = -0,29, p = 0,015); значимых корреляций между TTC и компонентами EF не было.

Обсуждение

Исполнительные функции и производительность переключения управления

Производительность исполнительных функций

Результаты тестов исполнительных функций показали, что молодые участники имели лучшую производительность как по скорости реакции, так и по точности в большинстве условий всех задач, что указывает на лучшие способности к обновлению рабочей памяти, контролю ингибирования и умственному сдвигу. Возрастные различия соответствуют предыдущим исследованиям исполнительных функций. Результаты точности не показали значительных различий между возрастными группами в некоторых условиях, таких как задача 0-назад, 1-назад и конгруэнтная задача Саймона. Это может быть связано с тем, что задача могла быть слишком легкой для участников обеих возрастных групп, чтобы выявить различия в результатах. Удивительно, но мы не обнаружили значимых различий в эффекте Саймона, который был больше у пожилой группы по сравнению с молодой в аналогичных исследованиях. Однако в нашем исследовании индивидуальные различия в эффекте Саймона были велики внутри пожилой группы. Учитывая, что точность для задач Саймона была относительно высокой даже для пожилой группы, мы полагаем, что наша задача Саймона была недостаточно сложной, чтобы выявить различия в контроле ингибирования, а в основном отражала компоненты, связанные с RT выбора.

Кроме того, результаты PCA данных когнитивных задач выявили конструкт из трех основных компонентов исполнительных функций: обновление рабочей памяти, контроль ингибирования и умственный сдвиг. Этот результат согласуется с предыдущими исследованиями, предполагая, что эти три компонента исполнительных функций являются разделимыми, в то время как когнитивные задачи могут коррелировать друг с другом. Использование компонентов, полученных методом PCA, а не чистых мер производительности задач для дальнейшего анализа, может обеспечить ортогональность этих компонентов, представляющих различные части исполнительных функций. Кроме того, наш конструкт четко различал компоненты, связанные со скоростью реакции (PC1, PC4) и точностью (PC2, PC3) как в обновлении, так и в ингибировании; это могло способствовать детальному анализу роли скорости и точности в корреляции между каждым компонентом исполнительных функций и производительностью вождения.

Производительность вождения

В анализе различий в производительности вождения между возрастными группами и участием в NDRT мы обнаружили значительно менее стабильное боковое маневрирование у пожилых водителей (p = 0,002) и при выполнении NDRT (p = 0,016). Эти выводы соответствуют предыдущим исследованиям влияния возраста и NDRT на производительность переключения управления водителями. Более того, NDRT, используемый в большинстве предыдущих исследований, требовал зрительного внимания, в то время как NDRT в данном исследовании (т.е. задача n-назад) в основном требовал слухового внимания, что указывает на то, что чистая когнитивная нагрузка может значительно влиять на производительность переключения управления.

В анализе TTC в момент смены полосы движения мы не обнаружили значимых различий между возрастными группами; однако у участников наблюдалась тенденция к увеличению TTC при выполнении NDRT, хотя эффект статистически не был значительным (p = 0,089). Результаты количества участников, нажимавших на педаль акселератора после TOR, показали, что молодые водители (15 из 35) имели тенденцию ускоряться при выполнении NDRT по сравнению с пожилыми водителями (6 из 35). Это предполагает, что более высокий TTC в нашем исследовании может быть объяснен консервативным поведением пожилых водителей при реагировании на TOR во время выполнения NDRT. Аналогично, предыдущие исследования показали, что пожилые водители в подобных сценариях склонны проявлять большую осторожность и ездить медленнее, или применять более частое и сильное торможение для поддержания более высокого TTC после перехода на ручное управление.

Корреляции между компонентами исполнительных функций и производительностью вождения

Основным результатом данного исследования является то, что лучшая способность к обновлению и сдвигу была значительно коррелирована с более стабильной боковой динамикой вождения после переключения управления. Компонент сдвига оказался важным для бокового управления в обеих ситуациях, независимо от участия в NDRT. Аналогичные результаты были получены и в предыдущих исследованиях, где способность к сдвигу, измеренная по оценке задачи плюс-минус, была значительно коррелирована с производительностью вождения на дороге. Более того, лучшая способность к сдвигу считается отражением производительности водителей при переключении между NDRT и задачами вождения в экстренных ситуациях. Тенденция влияния компонентов сдвига на стабильность вождения была обнаружена даже без участия NDRT, хотя корреляция статистически не была значительной. Это указывало на то, что способность к сдвигу может играть более важную роль в задаче переключения управления по сравнению с другими задачами вождения, упомянутыми в предыдущих исследованиях, такими как смена полосы движения при ручном вождении. Это может быть частично объяснено сложностью задачи переключения управления: она требует от водителя более частого и срочного переключения между различными наборами задач. Кроме того, предыдущие исследования выявили связь между поведением водителя и способностью к сдвигу в тесте на слежение, где задача может содержать как когнитивный сдвиг (включающий зрительное внимание), так и компонент переключения задач. В данном исследовании как задача для оценки способности к сдвигу (измененная числовая версия задачи переключения), так и NDRT (аудио задача 0-назад) не требовали сдвига зрительного внимания. Таким образом, даже без сдвига зрительного внимания, способность к умственному сдвигу влияла на производительность водителей при реагировании на TOR.

Компонент обновления также был значительно коррелирован с более стабильной производительностью вождения, что соответствует предыдущим исследованиям. Эта значимая корреляция с точностью обновления рабочей памяти была обнаружена в ситуациях без NDRT. Для задачи переключения управления в режиме вождения содержимое рабочей памяти должно обновляться, а нерелевантная информация — удаляться; поэтому плохое обновление сохраняет нерелевантную информацию и снижает обработку релевантной информации. Таким образом, при столкновении с ситуацией, требующей переключения управления, водители с плохой способностью к обновлению не могут очень хорошо обрабатывать поступающую информацию (например, состояние скорости и положения как для самоуправляемого автомобиля, так и для других транспортных средств), что приводит к менее стабильной производительности вождения. Другим важным выводом было обнаружение значимой корреляции с компонентом точности обновления рабочей памяти. В нашем исследовании дизайн задачи вождения оставлял относительно достаточное время для водителей для переключения управления. Это показало, что точность обновления (способность обновлять правильную информацию) по сравнению со скоростью обновления (способность быстро обновлять) может быть более важной для боковой устойчивости в задаче переключения управления.

Предыдущие исследования продемонстрировали вклад компонентов ингибирования в производительность вождения. Кроме того, избирательное внимание, связанное со способностью к ингибированию, было связано с производительностью вождения. Однако данное исследование не выявило значимых корреляций между компонентами ингибирования и производительностью вождения ни в одном из условий; этот результат все еще соответствовал предыдущему аналогичному исследованию, в котором участвовали различные компоненты исполнительных функций. Возможны две причины этого противоречивого результата. Во-первых, наш дизайн простой задачи Саймона мог привести к плохой дифференциации способности к ингибированию. То есть, мы не обнаружили значимых различий в эффекте Саймона между возрастными группами; следовательно, может быть трудно выявить достаточные индивидуальные различия в способности к ингибированию с использованием производительности задачи Саймона. Во-вторых, в сценариях нашего эксперимента приоритет NDRT был ниже, чем у задачи переключения управления; таким образом, NDRT мог считаться менее важным, чем задача вождения, участниками. То есть, поскольку наши меры для компонента ингибирования были сосредоточены на активном подавлении доминирующей реакции, производительность переключения управления могла быть менее связана с этой мерой, если NDRT не превалировала над задачей переключения управления. В таком случае дисперсия производительности переключения управления может быть более связана с индивидуальными различиями в сдвиге, а не в способности к ингибированию.

Мы обнаружили значимые различия в TTC между возрастными группами, но не обнаружили значимых корреляций между компонентами исполнительных функций и TTC. Хотя TTC отражает запас безопасности при реагировании на TOR, он также может зависеть от стиля вождения и стратегии водителей в экстренных ситуациях, а не от исполнительных функций. То есть, другие факторы, не связанные с EF, такие как личность и установки, могут влиять на поведение пожилых водителей.

Применение

Наши выводы способствуют лучшему пониманию водителей с возрастными различиями в исполнительных функциях, взаимодействующих с TOR в высокоавтоматизированных транспортных средствах. Знание взаимосвязи между индивидуальными различиями в исполнительных функциях и поведением водителя может быть использовано для оценки водительской пригодности. Исследования по общей оценке, такие как метод трассировки маршрута, также показали, что он может быть достоверным и надежным инструментом для оценки исполнительных функций и различения водителей с рискованным поведением за рулем. Аналогично, наши выводы могут служить руководством для быстрой скрининговой оценки когнитивного статуса пожилых водителей при переключении управления в высокоавтоматизированных транспортных средствах, например, в качестве экзамена при обновлении водительских прав пожилых водителей или как упрощенная система мониторинга когнитивного статуса пожилых водителей. Более того, понимание этой взаимосвязи может помочь в разработке человеко-машинных интерфейсов (HMI - Human-Machine Interfaces) для поддержки пожилых водителей с учетом их статуса исполнительных функций. Предыдущие исследования также предполагали, что возрастные изменения в когнитивных функциях должны учитываться при проектировании и применении автоматизированного вождения для пожилых водителей, а воспринимаемая пригодность HMI связана с когнитивной производительностью. Выводы данного исследования могут предоставить дополнительную информацию о поведении и когнитивном статусе водителей. Таким образом, эти результаты могут принести пользу проектированию HMI, особенно для водителей с возрастным снижением исполнительных функций.

Ограничения

Хотя исследование выявило возможную корреляцию между компонентами исполнительных функций и производительностью вождения после TOR, существует несколько ограничений, которые необходимо обсудить.

  • Во-первых, использование настольного симулятора могло ограничить нашу способность выявлять достоверные корреляции. Предыдущее исследование показало, что связь компонентов исполнительных функций с вождением может опосредоваться навыками компьютерных игр, и эти связи были еще сильнее при исключении опытных участников. Таким образом, будущие исследования должны использовать симуляторы реального вождения с более высокой степенью реализма для изучения поведения водителей.
  • Во-вторых, из-за дизайна NDRT участники отвечали на NDRT, нажимая кнопки на рулевом колесе, что означает, что RT после TOR могли быть трудно измерить точно. Поскольку исполнительные функции могут сильно коррелировать с RT, требуется дальнейшее исследование корреляции между мерами, связанными с RT, и способностями исполнительных функций.
  • В-третьих, задача, оценивающая контроль ингибирования, оказалась недостаточно эффективной для выявления индивидуальных различий и получения значимых результатов для корреляции с производительностью вождения. Следовательно, дальнейшие исследования необходимы для установления достоверных корреляций между производительностью вождения и способностью к ингибированию с использованием более надежных когнитивных мер.

Заключение

В данном исследовании мы разработали и провели серию компьютерных когнитивных тестов и симулированных задач вождения для оценки исполнительных функций и производительности переключения управления. Мы изучили (1) компоненты исполнительных функций обновления, ингибирования и сдвига, полученные по результатам когнитивных задач, и (2) производительность переключения управления при боковом маневрировании с использованием стандартных отклонений рулевого колеса и продольного запаса безопасности по TTC в момент смены полосы движения. Результаты продемонстрировали значительно более низкие способности к исполнительным функциям у пожилых участников и менее стабильное и более консервативное поведение пожилых водителей при выполнении NDRT. Мы также обнаружили значимую корреляцию между исполнительными функциями (точность обновления рабочей памяти и стоимость сдвига) и производительностью переключения управления. В целом, эти выводы предоставляют важные сведения о поведении и исполнительных функциях пожилых водителей, которые могут быть использованы для дальнейшего расширения выводов данного исследования и повышения безопасности вождения для пожилых людей.

Короткие версии статей можно найти в телеграм-канале.

Посмотреть канал
Кликните еще раз для перехода

Отривин 0,1% Ментол-Эвкалипт — спрей от насморка

Отривин Спрей Назальный 0,1% Ментол-Эвкалипт эффективно устраняет заложенность носа при простуде, ал...

Селенцин бальзам от выпадения волос 200 мл – укрепление и ух...

Селенцин Бальзам-Ополаскиватель 200 мл помогает уменьшить выпадение волос, укрепляет волосяные луков...

Инфинити Омега-3 с кокосовым маслом – комплекс №150 капс.

Инфинити Омега-3 с кокосовым маслом – это гармонично сбалансированный комплекс полезных жирных кисло...

Уролит жидкость для профилактики мочекаменной болезни | Апте...

Уролит – натуральная жидкость для профилактики и комплексного лечения мочекаменной и желчнокаменной ...

Левокарнил 300 мг/мл — энергия, метаболизм, выносливость

Левокарнил раствор для приема внутрь 300 мг/мл — эффективное средство для поддержки обмена веществ и...

Быструмгель 2,5% гель 50 г — купить от боли в спине

Быструмгель 2,5% — эффективное обезболивающее и противовоспалительное средство для наружного примене...