Как музыкальное обучение развивает моторику у детей: роль чувства ритма и мозговые механизмы

Как музыкальное обучение развивает моторику у детей: роль чувства ритма и мозговые механизмы

Интересное сегодня

Влияние материнской депрессии и СДВГ на детей в раннем возра...

Влияние материнского психического здоровья на развитие детей В последние годы исследования все больш...

Как взаимодействуют пространственное и временное внимание в ...

Введение Пространственное внимание может распределяться скрыто, без движения глаз. Эндогенное (произ...

Факторы риска рецидива туберкулеза с множественной лекарстве...

Проблема МЛУ-ТБ в глобальном и региональном контекстеТуберкулез с множественной лекарственной устойч...

Прогнозирующая ценность неконтролируемой веб-оценки нейропси...

Введение Нейропсихологическая диагностика является важной процедурой в различных областях здравоохра...

Как просоциальные эмоции влияют на принятие экономических ре...

Введение Человеческое принятие решений зависит от множества факторов. Нейроэкономические исследовани...

Польза досугового спорта для пожилых людей: физическое, псих...

ВведениеДосуг — это опыт радости, удовлетворения и самореализации в любой деятельности, выбранной по...

Рисунок 1
Рисунок 1
Рисунок 2
Рисунок 2
Рисунок 3
Рисунок 3
Рисунок 4
Рисунок 4
Thumbnail 1
Thumbnail 2
Thumbnail 3
Thumbnail 4
Thumbnail 5
Thumbnail 6
Thumbnail 7
Оригинал исследования на сайте автора

Введение: связь ритма, музыки и моторных функций

Ритм является фундаментальным компонентом человеческой биологии. Он лежит в основе широкого спектра сложных форм поведения, таких как речь, музыка, моторный контроль и социальное взаимодействие, и имеет решающее значение для типичного развития. Ритм особенно тесно связан с музыкальным поведением, таким как синхронизация движений с музыкальными ритмическими паттернами (серия временных интервалов, создаваемых звуками и паузами, которые регулярно повторяются во времени). Эта регулярность способствует предсказанию предстоящих звуковых событий и effortless синхронизации с музыкой или с партнером по игре или танцу.

Восприятие ритма в музыке involves извлечение бита из звукового паттерна, что затем позволяет воспринимающему организовывать предстоящие события и ощущать их underlying метрическую структуру. Для сравнения, игра на музыкальном инструменте или танцы involve компоненты ритмического познания beyond восприятия, включая синхронизацию внутреннего когнитивного пульса с пульсом внешних звуковых паттернов и использование этой синхронизации для управления моторным выводом. Триадическая связь между ритмом, музыкой и моторной координацией является focus данного исследования.

Нейронные основы ритмического восприятия

Нейронная схема, involved в познании ритма в музыке, хорошо описана. Она состоит из широко distributed корковой и подкорковой сети, которая поддерживает сенсорные, моторные и когнитивные аспекты обработки ритма и включает supplementary motor area, премоторную, слуховую и inferior parietal кору, а также базальные ганглии и мозжечок. Эти регионы были implicated в slightly различных аспектах ритмического познания. Например, базальные ганглии считаются ядром beat-based timing; премоторная кора contributes к sensorimotor интеграции, а мозжечок поддерживает complex процессы, такие как определение duration дискретных стимулов, коррекция timing ошибок и синхронизация восприятия и действия.

Аудиомоторная coupling в музыкальном восприятии

Интересно, что игра на музыке без auditory обратной связи активирует слуховую кору и, наоборот, моторные регионы, а именно премоторную кору и мозжечок, involved в обработке ритма даже когда задача requires только прослушивание auditory ритмов. Эти findings предполагают, что auditory и моторные процессы функционально coupled; именно эта coupling объясняет, по крайней мере частично, наше compulsion двигаться при прослушивании музыкального ритма.

Музыкальное обучение как framework изучения ритма

Игра на музыкальном инструменте требует точного восприятия и производства ритмических паттернов и их интеграции с моторными командами. Музыкальное обучение является, therefore, ценным framework для изучения ритмического познания, особенно взаимодействия между auditory восприятием и моторными действиями. Музыкальное обучение ассоциируется с enhanced ритмическими навыками, включая ритмическую дискриминацию и production. Оно также ассоциируется с enhanced моторными навыками, такими как движения пальцев, кистей и рук.

Долговременные эффекты музыкального обучения

Несколько longitudinal исследований corroborated причинный характер этих отношений для ритма, а также для моторных навыков. В соответствии с behavioral findings, cross-sectional нейровизуализационные исследования показали, что музыканты отличаются от немузыкантов в организации мозга auditory-motor системы. Кроме того, растущее количество longitudinal исследований предполагает, что музыкальное обучение drives auditory-motor пластичность на структурном и функциональном уровнях.

Методология исследования

В longitudinal training исследовании с детьми мы исследовали роль ритмической предрасположенности в fine motor улучшениях, arising из музыкального обучения, и какие области мозга были бы implicated. Пятьдесят семь 8-летних детей были assigned к either 6-месячному музыкальному обучению (n=21), спортивному обучению (n=18), или контрольной группе (n=18). Они выполняли ритмические и моторные задачи, и structural сканы мозга before и after обучения были collected.

Оценка поведенческих показателей

Протокол behavioral оценки included меры handedness, общей интеллектуальной способности, а также ритмических и fine motor способностей. Ритмические способности тестировались с revised версией rhythm discrimination и rhythm copy субтестов Musical Aptitude Tests (MATs). Fine motor способности оценивались с помощью теста Purdue Pegboard.

Ключевые результаты исследования

Лучшая способность воспринимать ритм before обучения была related к меньшему объему серого вещества в регионах мозжечка, веретенообразной извилины (fusiform gyrus), надкраевой извилины (supramarginal gyrus), вентрального промежуточного мозга (ventral diencephalon), миндалины (amygdala) и нижней/средней височных извилин (inferior/middle temporal gyri).

Влияние музыкального обучения на моторные функции

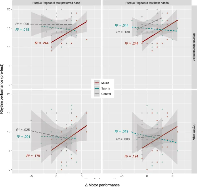
Музыкальное обучение улучшило моторную производительность, и большие улучшения correlated с лучшей предтренировочной ритмической дискриминацией. Музыкальное обучение также induced потерю объема серого вещества в левом мозжечке и веретенообразной извилине, и потеря объема correlated с более высокими моторными gains. Подобных эффектов не было found в спортивной и контрольной группах.

Обсуждение результатов

В этом исследовании мы focus на связи между ритмом, моторными процессами и музыкой. Ритм и моторные процессы extensively examined в отношении к музыкальному опыту и познанию, typically regarding различий между музыкантами и немузыкантами и training-related улучшений в одном или другом. Меньше известно о rhythm-motor interplay во время собственно музыкального обучения, его neural underpinning, и impact на training-related эффекты.

Нейропластичность и развитие мозга

Предрасположенность детей к восприятию ритма была associated с меньшим объемом серого вещества в нескольких областях мозга, включая слуховые и моторные области, которые являются частью широкой bilateral cortico-subcortical мозговой сети, typically engaged в ритмическом познании. То, что меньший, а не больший объем серого вещества был related к лучшей функции, удивительно, особенно потому, что это произошло в регионах, где объем серого вещества peaks относительно поздно в детстве.

Практические implications и выводы

На behavioral уровне мы found, что дети, которые прошли музыкальное обучение, улучшили свои ритмические и моторные навыки больше, чем those в спортивной и контрольной группах. Учитывая, что ритмические и моторные процессы directly implicated в музыкальном performance, эти findings едва ли неожиданны, и indeed они match extant evidence о benefits музыкального обучения для ритмических навыков и моторной производительности.

Важно отметить, что лучшая способность к дискриминации ритма before обучения была associated с большим улучшением моторной производительности с предпочитаемой рукой и с обеими руками в музыкальной группе, но не в спортивной или контрольной группах.

Это finding предполагает, что ритмическая предрасположенность combined с музыкальным обучением induces fine motor обучение. Оно согласуется с evidence из recent исследований с пациентами с болезнью Паркинсона, демонстрирующими, что реабилитация походки через музыку depended от ритмических навыков.

Заключение

Настоящее longitudinal training исследование с детьми revealed взаимодействие между ритмической предрасположенностью и опытом/music training-related моторным обучением, supported behavioral и brain evidence. Исследование было conducted в ecologically valid environment comparing эффекты музыкального обучения с similarly challenging training в спорте и no-specific контрольном условии.

Мы found, что музыкальное обучение улучшило моторную производительность (а также ритм), и что magnitude улучшения depended от способности воспринимать ритм before обучения (т.е. лучшая ритмическая предрасположенность, более значительные улучшения). Таким образом, музыкальные программы, вероятно, будут более эффективными у individuals с ритмической воспринимающей предрасположенностью.

Примечательно, что регион, включающий левый мозжечок и веретенообразную извилину, underpinned связь между ритмической предрасположенностью и моторными улучшениями, induced музыкальным обучением. Насколько нам известно, это первое исследование, демонстрирующее с behavioral и brain evidence, что music-related моторное обучение results из взаимодействия между предрасположенностью и опытом.

Короткие версии статей можно найти в телеграм-канале.

Посмотреть канал
Кликните еще раз для перехода

Medela Purelan 37 г — 100% ланолиновый крем для сухой кожи

Крем Medela Purelan 100% ланолин — безопасное средство для ухода за сухой, раздраженной и чувствител...

Фитоворонка Ушная Классическая №2 — лечение ЛОР-проблем

Фитоворонка Ушная Классическая №2 — эффективное средство для лечения воспалительных заболеваний уха,...

Эфирное масло розы 1мл - купить для ароматерапии

Натуральное эфирное масло розы из Болгарии для ароматерапии и косметологии. Обладает омолаживающим, ...

Хилак Форте капли вишня 30 мл купить в аптеке

Хилак Форте капли для внутреннего применения с вкусом вишни поддерживают здоровье кишечника, помогаю...

Рационика Диет Батончик Ананас 60г | Диетический перекус

Диетический глазированный батончик Рационика с натуральным вкусом ананаса — легкий перекус для подде...

Компрессионные гольфы Релаксан 140Den мужские - купить

Компрессионные гольфы Релаксан Cottonsocks 140Den для мужчин: эффективное средство при начальных ста...