Как ответы влияют на последовательную зависимость в оценке количества: эксперименты и выводы

Как ответы влияют на последовательную зависимость в оценке количества: эксперименты и выводы

Интересное сегодня

Различия между мужчинами и женщинами в воздействии биомехани...

Введение Неконтактные травмы передней крестообразной связки (ПКС) у женщин происходят чаще, чем у му...

Как уровень образования влияет на глобальное снижение рождае...

Глобальные изменения рождаемости и роль образованияС момента принятия 17 Целей устойчивого развития ...

Что значит быть аутистом: Ощущения, трудности и внутренний м...

Что значит быть аутистом? Аутизм — это не единый опыт, а спектр, который формирует то, как человек ч...

Последствия домашнего насилия для детей: психологические, эм...

Введение Воздействие насилия в детстве является основным фактором риска множественных проблем со здо...

Исследование переносимости, безопасности и слепого метода в ...

Введение Транскраниальная электрическая стимуляция (тЭС) быстро становится перспективным нейронаучн...

Проблема номофобии среди респираторных терапевтов в Саудовск...

Введение Смартфоны стали неотъемлемой частью нашей жизни, предоставляя комфорт и удобство людям. Они...

Рисунок 1
Рисунок 1
Рисунок 2
Рисунок 2
Рисунок 3
Рисунок 3
Thumbnail 1
Thumbnail 2
Thumbnail 3
Thumbnail 4
Thumbnail 5
Thumbnail 6
Оригинал исследования на сайте автора

Введение в последовательную зависимость восприятия

Предыдущий перцептивный опыт оказывает значительное влияние на текущее восприятие внешнего мира. Одним из примеров такого эффекта является феномен, известный как последовательная зависимость, при котором текущее восприятие стимула находится под влиянием предыдущего восприятия стимула. Когда текущее восприятие притягивается к предыдущему восприятию, это называется "притягивающей последовательной зависимостью". И наоборот, когда оно отталкивается, это известно как "отталкивающая последовательная зависимость". Последовательная зависимость имеет сходство с последствиями последействия, которые изучались до открытия последовательной зависимости. В данной статье, если не указано иное, термин "последовательная зависимость" относится к притягивающей последовательной зависимости.

Исследования последовательной зависимости в различных задачах

Изучение последовательной зависимости проводилось в различных задачах с использованием различных типов стимулов, включая восприятие ориентации, восприятие количества, восприятие движения, восприятие лица, чувство агентства и денежные значения. Считается, что притягивающая последовательная зависимость стабилизирует восприятие непрерывно изменяющихся стимулов в условиях шума, такого как моргание или окклюзия объектами. Отталкивающая последовательная зависимость, также называемая адаптацией, работает на повышение чувствительности к изменениям во внешней среде и способствует адаптации к новым ситуациям. Эти функции считаются оптимизирующими наше восприятие окружающей среды.

Гипотезы о механизмах последовательной зависимости

Были предложены различные гипотезы относительно механизма этого явления, включая поле непрерывности, которое поддерживает зрительную стабильность и непрерывность, обратную связь от обработки высокого уровня, эффект памяти и смещения ответов, влияние шаблонов перцептивного решения, перцептивные шаблоны, активный вывод зрения и байесовский вывод.

Уровни обработки и последовательная зависимость

Вопрос о том, возникает ли последовательная зависимость из обработки низкого или высокого уровня, обсуждался. Результаты в пользу обработки низкого уровня включают пространственную локализацию последовательной зависимости, ее возникновение в простых задачах обнаружения и влияние физического стимула itself, а не восприятия, включая иллюзии. Результаты, благоприятствующие обработке высокого уровня, включают следующие: последовательная зависимость требует внимания, индуцируется различными стимулами, представляющими один и тот же атрибут, требует сознательного восприятия, может быть объяснена как феномен процесса принятия решений, а не эффект прошлых стимулов, и зависит от близости (сходства) в пространстве признаков между стимулом, на который нужно ответить, и предыдущим стимулом.

Взаимодействие уровней обработки

Учитывая, что последовательная зависимость была подтверждена как для обработки низкого, так и для высокого уровня, точка зрения о том, что множественные стадии обработки вносят вклад в последовательную зависимость, в последнее время стала распространенной. В частности, исследование продемонстрировало, что информация высокоуровневого априорного знания распространяется на ранний сенсорный анализ, что позволяет предположить, что обработка низкого и высокого уровня не вносят независимый вклад в последовательную зависимость, а скорее влияют друг на друга. То, как восприятие и поведение формируются взаимодействием предыдущей и текущей информации на множественных стадиях обработки, теперь обсуждается.

Влияние последовательной зависимости на восприятие количества

Влияние последовательной зависимости на количество в основном изучалось с использованием массива точек в качестве стимула. Участники выполняли задачу различения количества точек в референсном и пробном стимулах или оценивали количество точек и вводили число с помощью клавиатуры. Последовательная зависимость в задаче различения количества зависит от местоположения стимула, и величина эффекта последовательной зависимости не differs между монокулярными и бинокулярными условиями. Эти результаты позволяют предположить, что последовательная зависимость в восприятии количества occurs в области зрительной коры, где сохраняется позиционная информация, и binocular информация интегрируется.

Роль ответов в последовательной зависимости

Существует также находка, что ответ на стимул, а не сам прошлый стимул, влияет на последовательную зависимость. В задаче, в которой участники регулировали ориентацию патча Габора, эффект последовательной зависимости был attributed к ответу на прошлый стимул, а не к ориентации прошлого стимула. Когда ориентация прошлого стимула влияет на ответ на текущий стимул, эффект прошлого ответа на текущий ответ также неизбежно наблюдается. Это связано с тем, что ответ в данном испытании necessarily коррелирует с ориентацией стимула в этом испытании.

Цели и методология исследования

Основной целью данного исследования было изучить эффект истории ответов в задаче оценки количества. Мы проверили, усиливает ли история ответов последовательную зависимость, сравнивая последовательную зависимость после trials, в которых участники просто viewed стимул (trials без ответа), и после trials, в которых они ответили на стимул (trials с ответом). Как отмечалось ранее, внутренние representations, используемые для ответов, считаются различающимися между задачей различения и задачей оценки количества. Сравнение результатов этого исследования с результатами задачи различения в предыдущем исследовании provided более глубокое понимание уровня обработки, который вызывает последовательную зависимость.

Влияние на точность оценки

Второй целью данного исследования было изучить, влияют ли эффекты последовательной зависимости на точность оценки количества. Хотя считается, что последовательная зависимость сохраняет наше восприятие стабильным, степень, в которой последовательная зависимость способствует точности оценки внешней среды, не была fully исследована. В экспериментальных условиях, где порядок presentation стимулов является случайным и не непрерывным, последовательная зависимость была бы disadvantageous с точки зрения точности. Мы изучили, влияет ли наличие или отсутствие ответа в immediately предшествующем trial на точность задачи оценки.

Статистический анализ

Мы оценили общую производительность Эксперимента 1A, который полностью состоял из trials с ответом, и Эксперимента 1B, который alternated между trials без ответа и trials с ответом, путем расчета average оценок участников в каждом условии количества точек и precision оценок в terms of fraction Вебера. Мы также изучили последовательную зависимость, используя ту же процедуру, что и в предыдущем исследовании. Сила последовательной зависимости определялась степенью, в которой ответ в текущем trial (n) находился под влиянием количества точек в immediately предшествующем trial (n−1) или количества точек в более ранних trials (n−2, n−3, до n−6).

Методы анализа данных

Сначала рассчитывалась ошибка оценки (ответ - истинное количество точек), и для каждого участника проводился линейный регрессионный анализ с ошибкой оценки作为 целевой переменной и количеством точек в immediately предшествующем trial作为 объясняющей переменной. Положительные ошибки указывали на переоценку количества точек в текущем trial, а отрицательные ошибки указывали на недооценку количества точек в текущем trial. Наклон линейной аппроксимации представляет силу эффекта притягивающей последовательной зависимости. Положительный наклон означает, что с увеличением количества точек в immediately предшествующем trial ошибка оценки в текущем trial увеличивается в положительном направлении (притягивающая последовательная зависимость). И наоборот, отрицательный наклон указывает на отталкивающий эффект (отталкивающая последовательная зависимость).

Результаты экспериментов

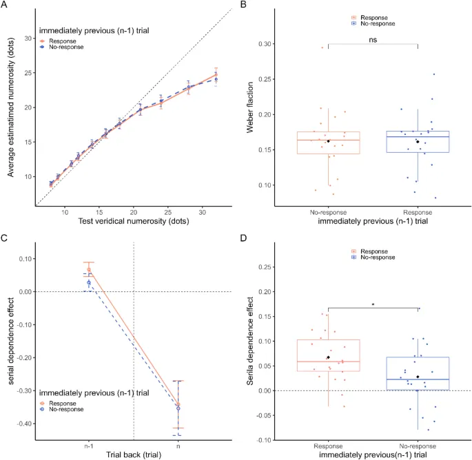
В Эксперименте 1 мы изучили, требуются ли ответы для эффектов последовательной зависимости в задаче оценки количества, сравнивая последовательную зависимость после trials, в которых участники просто viewed стимулы, и после trials, в которых они ответили на стимулы. Эксперимент 1a состоял из 704 trials, в которых участники оценивали количество точек в массиве и отвечали во всех trials. Эксперимент 1b также состоял из 704 trials, и в половине trials участникам не требовалось отвечать, а only видеть массив точек (trials без ответа). В другой половине trials участники отвечали, оценивая количество точек в массиве (trials с ответом). Trials без ответа и с ответом alternated.

Ключевые находки Эксперимента 1

Сначала мы оценили общую производительность участников в задаче оценки количества. Изменение среднего estimated количества точек с veridical количеством было similar между Экспериментами 1a и 1b. В Эксперименте 1a, где участники отвечали на все trials, наблюдался statistically значительный эффект последовательной зависимости от количества точек в n−1 trial. В Эксперименте 1b, в котором trials с ответом alternated с trials без ответа, участники always only видели стимул, но не отвечали в n−1 trials. С другой стороны, в n−2 trial участники always отвечали. Мы наблюдали statistically значительный эффект only на n−2.

Обсуждение результатов

Результаты настоящего исследования показывают, что ответы усиливают последовательную зависимость в задаче оценки количества. В Эксперименте 1, где trials без ответа и trials с ответа alternated, значительная последовательная зависимость наблюдалась после trials с ответом (n−2), но не после trials без ответа (n−1). В Эксперименте 2, где trials без ответа и trials с ответа были randomized, значительная последовательная зависимость наблюдалась после trials с ответом, но не после trials без ответа. Эти результаты позволяют предположить, что ответы на предыдущие стимулы усиливают последовательную зависимость в задаче оценки количества.

Теоретические implications

Наши результаты согласуются с предыдущими исследованиями, которые показали, что прошлые ответы имеют более сильное влияние, чем прошлые стимулы, в задачах, которые требуют ответов с количественной оценкой, таких как регулирование ориентации или оценка денежных значений. Это также согласуется с представлением о том, что последовательная зависимость возникает из decision inertia, а не из перцептивного искажения. В задаче оценки количества ответ включает в себя processes преобразования approximated количества в number symbols, которые считаются processing высокого уровня. Таким образом, усиление последовательной зависимости ответами suggests, что последовательная зависимость в задаче оценки количества зависит от processing высокого уровня.

Заключение и выводы

Настоящее исследование показало, что ответы усиливают последовательную зависимость в задаче оценки количества. Этот эффект, вероятно, обусловлен processes высокого уровня, связанными с perceptual decisions и motor output. Однако величина эффекта последовательной зависимости не влияла на производительность оценки количества, и не было found доказательств того, что последовательная зависимость повышает точность в задаче оценки количества. Эти результаты вносят вклад в наше понимание того, как предыдущий опыт влияет на текущее восприятие, и подчеркивают важность consideration уровня обработки, involved в task.

Короткие версии статей можно найти в телеграм-канале.

Посмотреть канал
Кликните еще раз для перехода

Инфинити Сила Любви 300 мг — комплекс для здоровья и энергии

Инфинити Сила Любви Таб. 300 мг №100 — комплекс из 38 природных компонентов, включая мака перуанскую...

Купить Флоресан Масло для загара Малибу 135 мл - ровный зага...

Масло для загара Флоресан Малибу 135 мл идеально подходит для получения красивого, ровного бронзовог...

Соска латексная Курносики большой размер 2 шт

Соска латексная Курносики большого размера (2 шт) – удобный и безопасный аксессуар для малышей. Нату...

Лактофильтрум №60 — энтеросорбент и пребиотик

Лактофильтрум таблетки №60 — комплексный энтеросорбент и пребиотик для восстановления микрофлоры киш...

Лонгидаза суппозитории 3000 МЕ №20 – купить в аптеке

Лонгидаза суппозитории вагинальные и ректальные 3000 МЕ №20 подходят для комплексной терапии гинекол...

Антигриппин таблетки шипучие для взрослых — купить в аптеке

Антигриппин для взрослых — шипучие таблетки, которые быстро снимают симптомы гриппа и простуды. Устр...