Темная триада и тетрада: сколько черт нужно для изучения ядра аверсивной личности

Темная триада и тетрада: сколько черт нужно для изучения ядра аверсивной личности

Интересное сегодня

Как мировоззрение влияет на удовлетворённость отношениями

Наши примальные убеждения о мире Более 8,2 миллиарда людей называют Землю своим домом. Это контекст ...

Влияние алкоголя на траты в видеоиграх: лут-боксы и рисковое...

Введение в проблему лут-боксов и азартных механизмов в играх Видеоигры стали популярным времяпрепров...

Почему люди верят, что характер виден по лицу: научное объяс...

Введение в физиогномику Люди спонтанно судят о характере незнакомцев на основе их внешности (Тодоров...

Влияние ранней зрительной депривации на ментальное представл...

Введение Зрение считается фундаментальным для числового восприятия, и многочисленные данные свидетел...

Модель ABC: Три компонента отношения в психологии

Компоненты отношения: Модель ABC Отношение — это «относительно устойчивая организация убеждений, чув...

Научные методы и кризис воспроизводимости: от сомнительной п...

Введение Наука — это процесс, в ходе которого понимание окружающего мира со временем улучшается благ...

Рисунок 1
Рисунок 1
Рисунок 2
Рисунок 2
Thumbnail 1
Thumbnail 2
Thumbnail 3
Thumbnail 4
Thumbnail 5
Оригинал исследования на сайте автора

Введение: почему люди отличаются склонностью к асоциальному поведению

Почему люди отличаются по своей склонности к преднамеренному transgressing (нарушающему нормы), вредоносному или откровенно насильственному поведению по отношению к другим людям? С точки зрения психологии личности, социально и/или этически аверсивные («темные») черты личности объясняют такие различия. Аверсивные черты — это устойчивые характеристики личности, которые связаны с этически, морально и/или социально неприемлемым поведением, таким как манипуляции, воровство или принуждение. По определению, различные аверсивные черты thus (таким образом) разделяют общий элемент социальной аверсивности и, следовательно, эмпирически существенно связаны друг с другом.

Помимо того, что является общим для всех аверсивных черт, каждая аверсивная черта может содержать уникальные аспекты. Например, психопатия представляет собой комбинацию аверсивного аспекта meanness (подлости) — то есть «дефицит эмпатии, презрение и отсутствие тесных привязанностей к другим, бунтарство, поиск острых ощущений, эксплуататорство и усиление через жестокость» — и (самого по себе) неаверсивного аспекта disinhibition (расторможенности) — то есть «проблемы с контролем импульсов, включающие отсутствие планомерности и foresight (предвидения), нарушенную регуляцию аффектов и побуждений, настаивание на немедленном gratification (удовлетворении) и дефицит behavioral restraint (поведенческого сдерживания)».

Концептуальные основы общего ядра аверсивных черт

Хотя существует несколько теоретических представлений относительно общностей аверсивных черт, мы здесь сосредоточимся на концептуализации, представленной в рамках Темного фактора личности (Dark Factor of Personality, D), поскольку она включает crucial (ключевое) предположение, что любая аверсивная черта может быть понята как flavored manifestation (вариативное проявление) одной и той же лежащей в основе аверсивной диспозиции. Эта диспозиция, D, определяется как «общая тенденция максимизировать свою utility (полезность) — игнорируя, принимая или злонамеренно провоцируя disutility (вред) для других —, сопровождаемая beliefs (убеждениями), которые служат оправданиями», и предполагается, что D представляет те аспекты, которые делают черту аверсивной.

D концептуализируется по аналогии с g-фактором интеллекта (general factor of intelligence) в том смысле, что он отвечает за общую дисперсию среди всех аверсивных черт, тогда как каждая аверсивная черта может включать дополнительные, уникальные (неаверсивные) аспекты.

Методология исследования

Исследование и план анализа не были предварительно зарегистрированы. Необработанные данные и скрипты анализа доступны на платформе Open Science Framework (OSF). Сбор данных проводился с одобрения местного этического комитета Университета Кобленц-Ландау (ныне RPTU Кайзерслаутерн-Ландау) и в соответствии с Этическим кодексом Американской психологической ассоциации. Все участники предоставили информированное согласие и получили компенсацию за участие.

Процедура и методы измерения

Исследование проводилось в рамках Проекта по изучению просоциальной личности (Prosocial Personality Project, PPP) — масштабного веб-исследования, охватывающего несколько этапов измерения. Участники были набраны и получали вознаграждение через немецкого онлайн-поставщика панелей (respondi). Аверсивные черты, включенные в настоящее исследование, оценивались на этапах измерения T3, T4 и 202005b. Все пункты оценивались по пятибалльной шкале Лайкерта (1 = «категорически не согласен» до 5 = «полностью согласен»). Порядок шкал рандомизировался в рамках каждого этапа измерения.

Были оценены 16 аверсивных черт личности, включая:

  • Круделия (Crudelia): оценивалась с помощью 13 пунктов AMR-40.
  • Эгоизм (Egoism): оценивался с помощью 12-пунктной шкалы эгоизма.
  • Чувство entitlement (Права): оценивалось с помощью 9-пунктной шкалы психологического чувства права.
  • Эксплуататорство (Exploitativeness): оценивалось с помощью адаптированного перевода 6-пунктной шкалы межличностной эксплуатативности.
  • Фрустралия (Frustralia): оценивалась с помощью соответствующих 14 пунктов AMR-40.
  • Жадность (Greed): оценивалась с помощью адаптированного перевода 7-пунктной шкалы диспозиционной жадности.
  • Макиавеллизм (Machiavellianism): оценивался с помощью соответствующей 9-пунктной шкалы Немецкой краткой темной триады.
  • Моральное отчуждение (Moral Disengagement): оценивалось с помощью 8-пунктной шкалы склонности к моральному отчуждению.
  • Нарциссизм (Narcissism): оценивался с помощью соответствующей 9-пунктной шкалы Немецкой краткой темной триады и 6-пунктного краткого опросника нарциссического восхищения и соперничества.
  • Патологический эгоизм (Pathological Selfishness): оценивался с помощью адаптированного перевода соответствующих 8 пунктов опросника эгоизма.
  • Психопатия (Psychopathy): оценивалась с помощью соответствующей 9-пунктной шкалы Немецкой краткой темной триады.
  • Садизм (Sadism): оценивался с помощью 10-пунктной краткой шкалы садистических импульсов.
  • Самocentрированность (Self-Centeredness): оценивалась с помощью соответствующих 4 пунктов шкалы самоконтроля.
  • Злобность (Spitefulness): оценивалась с помощью 17-пунктной шкалы злобности.
  • Мстительность (Vengefulness): оценивалась с помощью 10-пунктной краткой шкалы мстительности.

Участники исследования

Окончательная выборка для этого исследования состояла из N = 1676 участников (47% женщин, возраст от 18 до 69 лет, M = 44,9, SD = 12,1, 95% носителей немецкого языка; все демографические данные измерялись на T1), которые соответствовали всем критериям включения. Средний lag (промежуток) между T3 и T4 составлял 85 дней, средний промежуток между T4 и 202005b составлял 22 дня.

Анализ и результаты

Данные анализировались с помощью моделирования структурными уравнениями на основе оценки максимального правдоподобия с использованием пакета lavaan в R. Чтобы разделить общую дисперсию на дисперсию, общую для всех аверсивных черт, и дисперсию, уникальную для каждой аверсивной черты, мы выбрали подход bifactor model (бифакторной модели).

В бифакторной модели дисперсия, которая является общей для всех пунктов, то есть их общее ядро, captured (захватывается) в общем факторе, тогда как оставшаяся общая дисперсия среди подмножеств пунктов — которая выходит за рамки общего ядра — captured (захватывается) в specific factors (специфических факторах).

В данном случае общий фактор отражает общности всех аверсивных черт, тогда как специфические факторы отражают оставшуюся общую дисперсию среди индикаторов шкалы черты, которая выходит за рамки D и, thus (таким образом), уникальна для соответствующего подмножества.

Ключевые результаты исследования

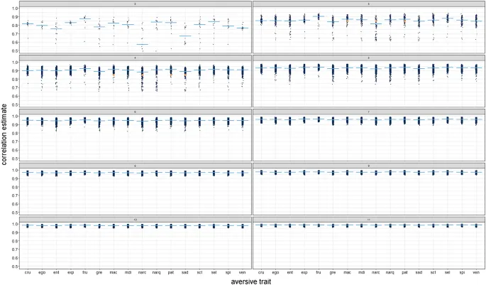
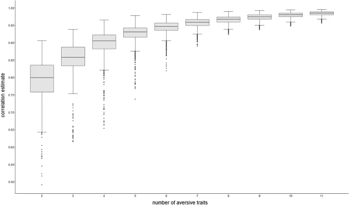
Результаты показали, что большинство комбинаций из четырех или, по существу, любая комбинация по крайней мере из шести аверсивных черт reasonably well (достаточно хорошо) приближают аверсивное ядро, тогда как Темная триада и Темная тетрада приводят к systematically poorer approximations (систематически худшим приближениям) по сравнению с другими комбинациями из трех или четырех аверсивных черт.

Более конкретно, для комбинаций из трех аверсивных черт корреляции между полным D и D, извлеченным из reduced sets (сокращенных наборов), варьировались от r = .65 до r = .94 (медиана r = .86). Для комбинаций из четырех аверсивных черт корреляции варьировались от r = .81 до r = .96 (медиана r = .90). Для комбинаций из пяти аверсивных черт 90% корреляций (т.е. 3950 из 4389) между полным и сокращенным D были r > .90, а для шести черт и далее общности 55572 из 56134 (т.е. 99%) комбинаций показали корреляции r > .93 с полным D (медиана r = .97). При семи или более аверсивных чертах приближение D улучшалось незначительно с каждой добавленной аверсивной чертой.

Обсуждение результатов

Аверсивные черты личности можно понимать как проявления общего аверсивного ядра — которое по определению является общим для всех аверсивных черт — наряду с более или менее prominent (выраженными) уникальными (неаверсивными) особенностями. Действительно, общности всех аверсивных черт могут быть приписаны общей лежащей в основе диспозиции, Темному фактору личности (D), тогда как, в разной степени, некоторые аверсивные черты несут дополнительный смысл beyond the scope (за пределами сферы) D.

Информативность различных аверсивных черт

Настоящее исследование также проливает свет на то, насколько информативны определенные черты для приближения D: общие дисперсии комбинаций, включающих один или несколько из нарциссизма по Краткой темной триаде (SD3), психологического чувства права, жадности и садизма, в среднем less strongly correlated (менее сильно коррелировали) с полным D, тогда как комбинации, включающие Фрустралию, consistently superior (постоянно превосходили) другие комбинации.

Эти результаты правдоподобны, поскольку оценка D с помощью черт, которые relatively less subsumed (относительно менее подчинены) D, necessarily reduces (necessarily reduces) необходимо снижает перекрытие и, thereby (таким образом), дает slightly less adequate approximation (слегка менее адекватное приближение) D. Это особенно верно для комбинаций с меньшим общим количеством черт, учитывая relatively higher weight (относительно больший вес), который любая одна черта имеет в таком сценарии.

Эффективность Темной триады и тетрады

Интересно, что typically investigated constellation (обычно исследуемая констелляция) психопатии, нарциссизма и макиавеллизма приводит к systematically poorer approximations (систематически худшим приближениям) D по сравнению с другими комбинациями из трех аверсивных черт. Фактически, только одна из двух лучших комбинаций из трех черт включала психопатию (наряду с Фрустралией и Эгоизмом), тогда как другая (Фрустралия, Самocentрированность и Эгоизм) обходилась без какой-либо черты Темной триады. То же самое относилось и к Темной тетраде (т.е. Темной триаде, дополненной садизмом) по сравнению с другими комбинациями из четырех аверсивных черт.

Таким образом, хотя их общая дисперсия широко принимается за ядро всех аверсивных черт, они фактически accounting for (объясняют) аверсивное ядро comparatively poorly (сравнительно плохо).

Заключение и выводы

В сумме настоящее исследование предоставляет четкую поддержку fluid common disposition (текучей общей диспозиции), лежащей в основе аверсивных черт, то есть общего ядра в соответствии с framework (рамками) D. D, в свою очередь, может быть reasonably well (достаточно хорошо) приближен с помощью большинства комбинаций из четырех или, по существу, любой комбинации по крайней мере из шести аверсивных черт.

При включении только четырех черт superior approximations (превосходные приближения) достигаются путем включения черт, которые сильно насыщены D, таких как Фрустралия, макиавеллизм или психопатия. Общая дисперсия черт Темной триады и Темной тетрады показала меньше overlap (перекрытия) с D, чем другие комбинации из трех и четырех черт в среднем, и, thus (таким образом), не должна приниматься за prime representation (лучшее представление) общего ядра всех аверсивных черт.

Однако, если кто-то strictly interested (строго заинтересован) в уникальной дисперсии аверсивной черты, close approximation (тесное приближение) аверсивного ядра является crucial (ключевым). Для этой цели следует rather (скорее) оценивать интересующую черту along with (наряду) с другими чертами, которые совместно способны учесть и исключить (почти) всю аверсивную дисперсию.

Короткие версии статей можно найти в телеграм-канале.

Посмотреть канал
Кликните еще раз для перехода

Эфирное масло корицы Арома Тач 10 мл для ухода и ароматерапи...

Эфирное масло корицы Арома Тач 10 мл идеально подходит для косметического ухода и ароматерапии. Его ...

Gillette Venus Embrace №4 - Кассеты для бритвы

Кассеты Gillette Venus Embrace №4 с 5 лезвиями обеспечивают идеально гладкое бритье даже в зоне бики...

Гардекс Беби Спрей от комаров 100 мл — защита для детей

Гардекс Беби Спрей от комаров 100 мл эффективно защищает кожу малышей и детей от укусов комаров, без...

Вата мед. хир. нестерильная 250 г – качественный уход

Медицинская хирургическая вата нестерильная 250 г используется для гигиенических и медицинских целей...

Филорга Лифт-Дизайнер | Сыворотка для лица 30 мл

Филорга Лифт-Дизайнер сыворотка для лица с ультралфтинговым эффектом помогает визуально повысить упр...

Канпол послеродовые прокладки супервпитывающие №10

Канпол прокладки послеродовые супервпитывающие №10 — надежная защита и комфорт для женщин в период в...