Влияние характеристик района на психологическое благополучие подростков: роль социальной поддержки

Влияние характеристик района на психологическое благополучие подростков: роль социальной поддержки

Интересное сегодня

Адаптация зрительного восприятия к ориентации после просмотр...

Введение в исследование ориентационной адаптации Ключом к успеху любого организма является его спосо...

Влияние посттравматического стрессового расстройства на эпил...

Введение Посттравматическое стрессовое расстройство (ПТСР) чаще встречается у пациентов с другорезис...

Розыгрыш билетов на SpaFest 2025: незабываемый уикенд для зд...

Хотите ощутить прилив энергии и полностью перезагрузиться? У вас есть шанс выиграть незабываемый уик...

Ранние признаки аутизма: как родительские опасения помогают ...

Роль родительских опасений в ранней диагностике аутизмаДиагностика расстройства аутистического спект...

Телесные карты эмоций, вызванных физической активностью: Нов...

Телесные ощущения и эмоции являются неотъемлемой частью физической активности. Упражнения представля...

Психотические и диссоциативные симптомы: связь с метакогнити...

Проспективное исследование позитивных психотических симптомов, диссоциативных симптомов и метакогнит...

Рисунок 1
Рисунок 1
Рисунок 2
Рисунок 2
Thumbnail 1
Thumbnail 2
Оригинал исследования на сайте автора

Введение

Последние десятилетия ознаменовались стремительной урбанизацией во многих частях мира. В связи с этим, недавние исследования изучают влияние проживания в городских условиях на физическое, социальное и психологическое развитие. Дети и молодые люди, живущие в городах, часто имеют лучший доступ к услугам здравоохранения и социального обеспечения, более развитую транспортную систему и лучшие образовательные возможности по сравнению с жителями сельской местности. Однако они также подвергаются более высокому уровню загрязнения воздуха и шума, более высоким температурам, имеют меньше доступа к природным или зеленым зонам, ограниченное личное пространство, а также сталкиваются с более высоким уровнем преступности и социально-экономическим неравенством. Подростковый возраст – это чувствительный период, когда окружающая среда может оказывать значительное влияние на социальное и психологическое благополучие, а также возрастает уязвимость к возникновению социоэмоциональных расстройств.

В данном исследовании мы стремились изучить взаимосвязь между характеристиками района проживания, воспринимаемой социальной поддержкой и психологическим благополучием в подростковом возрасте.

Основные характеристики городского района и их влияние

Плотность населения

Растущее количество исследований указывает на то, что плотная городская застройка является важным элементом устойчивой урбанизации. Примечательно, что проживание в густонаселенных районах связано с хроническим стрессом и повышенными симптомами тревожности и психотических расстройств у взрослых. Хотя плотность населения может способствовать благополучию, предоставляя больше возможностей для социализации и установления контактов, это не всегда транслируется в субъективные переживания социальной и психологической удовлетворенности. Некоторые исследования также сообщают о более слабых социальных связях в районах с высокой плотностью населения и больших чувствах незащищенности и негативных эмоциях по отношению к району. Хотя большинство исследований сосредоточено на взрослых выборках, проживание в условиях, которые способствуют или препятствуют социальной сплоченности, может быть особенно важным для подростков, поскольку изменения в их социальной среде влияют на их настроение и тревожность в большей степени, чем в других возрастных группах.

Неблагополучие района

Городские районы с признаками неблагополучия также были связаны с более высокой распространенностью эмоциональных трудностей у молодых людей. Большая подверженность насилию и антисоциальному поведению со стороны сверстников способствует повышенным депрессивным симптомам у подростков, проживающих в более неблагополучных городских районах. Другие исследования обнаружили, что неприятность района, низкий уровень поддержания порядка и ощущение небезопасности, а также преступность связаны с сокращением самостоятельной мобильности и исследования окружающего пространства. В свою очередь, несколько показателей неблагополучия района (например, ощущение небезопасности, неуверенность в жилищных условиях и концентрированная бедность) могут препятствовать социальным связям, усиливая проблемы со сверстниками и чувство одиночества.

Зеленые зоны и экологические преимущества

В противоположность этому, природные элементы в районах проживания могут позитивно влиять на благополучие молодых людей. Многие руководства теперь рекомендуют, чтобы из окон домов, школ и мест работы были видны как минимум 3 ухоженных дерева, чтобы в жилых районах было не менее 30% древесного покрова, и чтобы от места проживания до ближайшей общественной зеленой зоны было не более 300 метров. Было предложено несколько механизмов для объяснения благоприятного влияния городских зеленых зон на здоровье. Например, наличие рекреационных зеленых зон связано с физической активностью, снижением стресса и восстановлением внимания у детей. Более высокий процент древесного покрова и разнообразие деревьев могут смягчать воздействие загрязнения воздуха, тепла и шума. Кроме того, интеграция ухоженных зеленых зон и зеленого покрова в дизайн района также может улучшить восприятие безопасности и приятности района. Некоторые исследования также показали, что районы с большим количеством зелени связаны с улучшением социальной сплоченности и построением сообщества на протяжении всей жизни. Хотя данные для детских и подростковых выборок неоднозначны, одно исследование показало, что более частое использование зеленых зон связано с социальной связанностью с друзьями (количество и время, проведенное вместе) у молодых людей в возрасте 10–18 лет, и эта связь была особенно сильной для подростков в возрасте 14 лет и старше.

Возрастные особенности и социально-экономический статус

Характеристики района проживания могут по-разному влиять на различные этапы подросткового возраста, хотя данные еще не ясны относительно того, какой этап наиболее уязвим. Одна из причин ожидать этого заключается в том, что воздействие городских стрессоров, таких как шум, скученность, загрязнение, лишения и проблемы безопасности, может оказывать кумулятивное воздействие на благополучие. Чем дольше молодые люди подвергаются этим стрессорам, тем выше вероятность того, что они будут испытывать повышенное психологическое напряжение и более плохое общее состояние здоровья. И наоборот, длительное наличие позитивных ресурсов в районе проживания, таких как доступ к зеленым зонам, местам отдыха и поддерживающей общественной среде, связано с улучшением здоровья и благополучия. Поскольку эти эффекты накапливаются со временем, а подростковый возраст является чувствительным периодом развития, когда входные данные из окружающей среды особенно важны, воздействие характеристик района может стать особенно очевидным в психологическом и социальном благополучии старших подростков. В то же время, социокогнитивные навыки, лежащие в основе обработки социальных стрессов и эмоциональной регуляции, продолжают развиваться на протяжении всего подросткового возраста. В результате, менее развитые социокогнитивные навыки на более ранних этапах подросткового развития могут усилить подверженность негативным последствиям городских стрессоров (например, опыту исключения) и позитивным последствиям природных зон (например, через физическую активность и эмоциональную регуляцию). В совокупности, могут существовать возрастные различия во взаимосвязи между характеристиками района и социальным и психологическим благополучием, но конкретное направление этих предположений требует дальнейших исследований.

В связи с этим, некоторые молодые люди могут сталкиваться с большими барьерами в доступе к ресурсам, способствующим укреплению здоровья, в зависимости от их семейного достатка или пола. Например, молодые люди из неблагополучных семей часто имеют ограниченный доступ к медицинским услугам (например, частной медицине, специализированной психологической помощи) и меньше возможностей для участия в структурированных, обогащающих мероприятиях, таких как внешкольные кружки, спортивные секции или летние программы. Эти возможности более доступны для молодых людей из более обеспеченных семей, которые могут позволить себе оплату, транспорт и снаряжение. В результате можно предположить, что пагубное воздействие факторов района, таких как недостаток зеленых зон и высокий уровень неблагополучия района, может непропорционально затрагивать молодых людей, которые имеют меньший доступ к специализированной психологической помощи и обогащающим мероприятиям и меньше возможностей для компенсации. Кроме того, различия, связанные с полом, также формируют то, как молодые люди взаимодействуют со своим окружением. Девушки часто сталкиваются с большими барьерами при самостоятельном использовании и исследовании общественных пространств, частично из-за повышенных опасений по поводу безопасности (например, страх домогательств, родительские ограничения). Это может ограничивать их участие в определенных формах социальной и физической активности, таких как использование общественных рекреационных зон, катание на велосипеде или проведение времени со сверстниками в парках или общественных местах, особенно после наступления темноты. В противоположность этому, мальчики могут иметь меньше ограничений в своей мобильности и социальном использовании пространств района, что может привести к различиям в формировании сетей сверстников, уровнях физической активности и общем благополучии. В совокупности эти закономерности свидетельствуют о том, что одни и те же характеристики района могут оказывать неравномерное воздействие на различные группы.

Текущее исследование

В данном исследовании использовались линейные смешанные модели, основанные на объединенных данных когортного исследования «Детство и окружающая среда» (INMA), собранных в трех регионах Испании между 2016 и 2022 годами. Первая цель заключалась в том, чтобы выяснить, связаны ли различные характеристики района с психологическим и социальным благополучием подростков. Мы предположили, что большая доля зеленых насаждений в жилых районах и доступность зеленых зон будут связаны с более высоким психологическим благополучием и более высокой воспринимаемой социальной поддержкой. Кроме того, мы предположили, что неблагополучие района будет связано с более низким психологическим благополучием и более низкой воспринимаемой социальной поддержкой. Поскольку данные, связывающие плотность населения с благополучием, неоднозначны, мы предположили, что плотность населения может быть положительно или отрицательно связана с психологическим благополучием и социальной поддержкой.

Поскольку предыдущие исследования последовательно выявляли связь между социальной поддержкой и психологическим благополучием у молодых людей, вторая цель данного исследования заключалась в том, чтобы выяснить, играют ли семейная поддержка и поддержка сверстников роль во взаимосвязи между факторами стресса и ресурсами района и психологическим благополучием. Мы предположили, что более высокая воспринимаемая социальная поддержка будет опосредовать взаимосвязь между большей долей зеленых насаждений в жилых районах, доступностью зеленых зон и более высоким психологическим благополучием. Мы также предположили, что более низкая воспринимаемая социальная поддержка будет опосредовать взаимосвязь между неблагополучием района и более низким психологическим благополучием. Кроме того, мы предположили, что воспринимаемая социальная поддержка будет опосредовать взаимосвязь между плотностью населения и психологическим благополучием. Следует отметить, что гипотезы опосредования не подразумевают продольного опосредования, а вместо этого сравнивают дисперсию психологического благополучия, объясняемую различиями в характеристиках района и воспринимаемой социальной поддержке.

Наконец, воздействие социальной и окружающей среды на благополучие может варьироваться в зависимости от развития и пола (то есть возрастных и половых различий), а доступ к ресурсам, способствующим укреплению здоровья, может смягчать воздействие условий жизни (то есть различий в семейном достатке). В связи с этим, наша третья цель заключалась в исследовании, посредством серии разведочных моделей, различается ли взаимосвязь между характеристиками района, воспринимаемой социальной поддержкой и психологическим благополучием в зависимости от демографических характеристик, включая возраст, пол и семейный достаток.

Методы

Выборка

В выборку были включены участники в возрасте от 9 до 17 лет, входящие в проект INMA (www.proyectoinma.org). Проект INMA изучает влияние факторов окружающей среды на физическое, социальное и нейропсихологическое развитие с момента зачатия. В период с 2004 по 2008 год 2644 женщины на первом триместре беременности (старше 16 лет) были набраны из служб общественного здравоохранения в нескольких регионах Испании, включая Гипускоа, Сабадель и Валенсию. Данные последующих наблюдений за семьями и детьми собирались последовательно каждые два-три года, с небольшими возрастными и временными вариациями по регионам. Этические комитеты больниц, участвовавших в каждом регионе, одобрили проект и следили за его выполнением в соответствии с их рекомендациями. Все родители дали информированное согласие на участие в каждом последующем наблюдении.

В данном исследовании использовались объединенные данные из следующих регионов: Гипускоа (358 участников, участвовавших в 2018–2019 гг. в возрасте 10–12 лет, и 261 участник, вернувшийся в 2021 г. в возрасте 12–14 лет); Сабадель (385 участников, участвовавших в 2016–2018 гг. в возрасте 9–12 лет, и 267 участников, вернувшихся в 2020–2022 гг. в возрасте 13–17 лет); и Валенсия (221 участник, участвовавший в 2019–2022 гг. в возрасте 14–17 лет). Следует отметить, что участники из Валенсии не имели доступных данных опросников психологического и социального благополучия на первом этапе и поэтому были включены только на втором этапе. Участники, не имевшие полных данных по всем показателям, были исключены из исследования. Всего в выборке было 1492 наблюдения (от 970 уникальных участников).

Меры

Характеристики района

  • Жилая зелень: Рассчитывалась с использованием нормализованного вегетационного индекса (NDVI – Normalized Difference Vegetation Index). NDVI – это показатель зелени, полученный с помощью спутниковых снимков, со значениями от -1 до 1. Низкие значения (0–0.1) указывают на участки бесплодной породы, песка или снега; умеренные значения (0.2–0.5) – на разреженную растительность (например, травяные поля); высокие значения (0.6–1) – на густую растительность. Отрицательные значения соответствуют воде и были удалены перед расчетом. Жилая зелень рассчитывалась как 5-летнее среднее NDVI только в самые зеленые сезоны (с мая по август) в радиусе 300 метров от адреса проживания. Высокие оценки NDVI отражают больший процент жилой зелени.
  • Доступность зеленых зон: Рассчитывалась как бинарная мера, указывающая на доступ к крупным зеленым зонам (например, паркам или сельской местности) в окрестностях адреса проживания. Эта мера была получена путем расчета прямого расстояния от дома до ближайшей зеленой зоны площадью более 5000 м² с использованием общеевропейского Urban Atlas. Доступность зеленой зоны определялась наличием крупной зеленой зоны в радиусе 150 метров от адреса проживания (1 = да, 0 = нет).
  • Неблагополучие района: Индекс неблагополучия, полученный из переписи населения и жилищного фонда Испании 2011 года. Этот индекс рассчитывается на основе шести социально-экономических показателей: процент безработного населения, процент рабочих ручного труда, процент временных рабочих, процент молодежи без образования и количество домохозяйств без доступа к интернету. Индекс был классифицирован на упорядоченные терцили (1 = низкий уровень неблагополучия, 2 = средний уровень неблагополучия, 3 = высокий уровень неблагополучия).
  • Плотность населения: Рассчитывалась как количество жителей на квадратный километр в окрестностях адреса проживания. Эта мера была получена путем сопоставления геокодов с картами плотности населения (разрешение 250 м²) из Глобального слоя человеческих поселений 2015 года (GHS-POP R, 2015). Оценки были преобразованы в 100 жителей на квадратный километр для лучшей интерпретируемости. Более высокие оценки указывают на более высокую плотность населения.

Меры социально-экономического статуса домохозяйства

  • Семейный достаток: Собирался при рождении с использованием Статистики доходов и условий жизни в ЕС (EU-SILC). Это мера чистого располагаемого дохода домохозяйства, стандартизированного по составу домохозяйства и логарифмированного для лучшего приближения к нормальному распределению. Более высокие значения означают более высокий семейный достаток.
  • Образование матери: Использовалась Международная стандартная классификация образования 1997 года для классификации образования матери во время беременности. Это мера наивысшего уровня образования, завершенного матерью, и она упорядочена по трем категориям (1 = начальное или без образования, 2 = среднее образование, 3 = высшее образование).

Меры психологического благополучия и воспринимаемой социальной поддержки

В исследовании INMA собирались данные с использованием 27-элементной версии опросника Kidscreen (испанская версия), который является мерой качества жизни, связанной со здоровьем, разработанной в сотрудничестве 13 европейских стран. Kidscreen-27 включает пять подшкал, измеряющих различные аспекты качества жизни: физическое благополучие, психологическое благополучие, автономия и отношения с родителями, сверстники и социальная поддержка, а также школьная среда. Все пункты оцениваются по пятибалльной шкале ответов. Пункты каждой подшкалы агрегируются для создания суммарных оценок по каждому измерению, которые впоследствии преобразуются в T-оценки в диапазоне от 0 до 100 с использованием популяционных норм. В данном исследовании использовались следующие подшкалы: психологическое благополучие (7 пунктов, измеряет положительные эмоции и удовлетворенность жизнью); автономия и отношения с родителями (7 пунктов, измеряет качество взаимодействия с семьей и чувство автономии); и сверстники и социальная поддержка (4 пункта, измеряет качество отношений со сверстниками). Более высокие T-оценки по этим подшкалам в целом означают большее психологическое благополучие, семейную поддержку и автономию, и поддержку сверстников соответственно. Этот инструмент был использован и валидирован на нескольких европейских выборках детей в возрасте от 8 до 18 лет.

Статистический анализ

Основные анализы

  1. Проверка предыдущих данных: Были проведены регрессионные анализы психологического благополучия, семейной поддержки и автономии, а также поддержки сверстников с учетом возраста, семейного достатка и пола, чтобы проверить, соответствуют ли данные предыдущим исследованиям.
  2. Влияние характеристик района: Были проведены регрессионные анализы психологического благополучия с учетом характеристик района: жилой зелени и плотности населения (непрерывные переменные), доступности зеленых зон (бинарная переменная) и неблагополучия района (упорядоченные терцили). Аналогичные анализы были проведены для семейной поддержки и автономии, а также поддержки сверстников.
  3. Опосредование социальной поддержкой: Были повторно запущены модели, показавшие связь между характеристиками района и психологическим благополучием, с учетом семейной поддержки и автономии, а также поддержки сверстников. Это позволило оценить прямое влияние характеристик района на благополучие, контролируя косвенный эффект через социальную поддержку.

Для анализа использовалось статистическое программное обеспечение R (версия 4.3.2) с применением линейных смешанных моделей. В модели включались участник и регион в качестве случайных эффектов. Применялась методология робастной каузальной инференции для определения минимальных наборов ковариат для каждой модели с использованием направленного ациклического графа (DAG). Все непрерывные переменные были стандартизированы (центрированы и масштабированы) перед анализом.

Модификация эффекта

Дополнительно исследовалось, модифицируют ли демографические характеристики взаимосвязь между характеристиками района, воспринимаемой социальной поддержкой и психологическим благополучием. Для этого были повторно запущены модели с добавлением взаимодействия между характеристиками района и возрастом, полом и семейным достатком. Значимые взаимодействия дополнительно анализировались с использованием апостериорных анализов средних тенденций. В частности, исследовалось, варьируются ли описанные пути в зависимости от пола, а также при 25-м, 50-м и 75-м процентилях возраста и семейного достатка.

Анализы чувствительности

Были проведены анализы чувствительности для оценки влияния потенциально влиятельных наблюдений, специфических для периода влияний (например, пандемии COVID-19) и избирательного отсева данных. Это включало повторный запуск моделей без учета влиятельных наблюдений, с добавлением времени как фиксированного эффекта, и с учетом взвешенных вероятностей включения участников.

Результаты

Описательная статистика

Описательная статистика представлена в таблице 1. Результаты линейных смешанных моделей, исследующих взаимосвязи между демографическими характеристиками, психологическим благополучием и воспринимаемой социальной поддержкой, представлены в дополнительном материале SM5.

Взаимосвязь между характеристиками района и психологическим благополучием

Жилая зелень

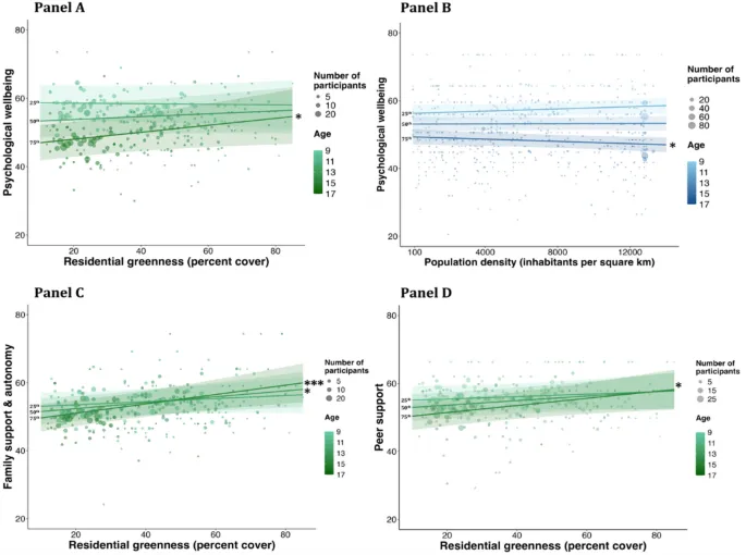
Анализ линейных смешанных моделей показал отсутствие основной связи жилой зелени с психологическим благополучием. Однако, отдельный разведочный анализ выявил положительное взаимодействие между жилой зеленью и возрастом. Апостериорный анализ показал, что взаимосвязь между большей жилой зеленью и более высоким благополучием была небольшой, но значимой у старших подростков (15–17 лет). Напротив, у младших подростков (9–14 лет) такой взаимосвязи не наблюдалось. Отдельные разведочные анализы не выявили взаимодействия между жилой зеленью и полом, или жилой зеленью и семейным достатком, в отношении психологического благополучия.

Плотность населения

Анализ линейных смешанных моделей не выявил основной связи плотности населения с психологическим благополучием. Однако, отдельный разведочный анализ выявил небольшое отрицательное взаимодействие между плотностью населения и возрастом. Апостериорный анализ показал, что у старших подростков (15–17 лет) более высокая плотность населения была слабо связана с более низким психологическим благополучием. У младших подростков такой связи не наблюдалось. Следует отметить, что эта ассоциация была слабой и не оставалась значимой в анализах чувствительности. Отдельные разведочные анализы не выявили взаимодействия между плотностью населения и полом, или плотностью населения и семейным достатком, в отношении психологического благополучия.

Неблагополучие района и доступность зеленых зон

Анализ линейных смешанных моделей показал, что неблагополучие района и доступность зеленых зон не были связаны с благополучием. Кроме того, отдельные разведочные модели не выявили различий в этих взаимосвязях в зависимости от возраста, пола или семейного достатка. Таким образом, наши гипотезы в отношении неблагополучия района и доступности зеленых зон не были подтверждены.

Взаимосвязь между характеристиками района и воспринимаемой социальной поддержкой

Жилая зелень

Семейная поддержка и автономия

Анализ линейной смешанной модели показал значимую основную связь жилой зелени с семейной поддержкой и автономией. В целом, большая жилая зелень была связана с большей семейной поддержкой и автономией. Кроме того, отдельный разведочный анализ выявил положительное взаимодействие между жилой зеленью и возрастом в отношении семейной поддержки и автономии. Апостериорный анализ показал, что общая связь между большей жилой зеленью и большей семейной поддержкой и автономией была небольшой и значимой для подростков среднего и старшего возраста, но не для самых младших.

Поддержка сверстников

Анализ линейной смешанной модели не выявил основной связи жилой зелени с поддержкой сверстников. Отдельный разведочный анализ выявил слабую и незначимую положительную связь между жилой зеленью и поддержкой сверстников у старших подростков. В то время как связь жилой зелени с поддержкой сверстников не была значимой у младших подростков, у старших подростков большая жилая зелень была связана с большей поддержкой сверстников. Эта связь была значимой после корректировки на влияние периода и избирательный отсев.

Жилая зелень и психологическое благополучие с учетом воспринимаемой социальной поддержки

Последующие анализы исследовали прямое взаимодействие жилой зелени и возраста в отношении психологического благополучия после учета семейной поддержки и автономии. Взаимодействие между жилой зеленью и возрастом в отношении психологического благополучия больше не было значимым при учете семейной поддержки и автономии. Следовательно, большая семейная поддержка и автономия могут играть роль во взаимосвязи между большей жилой зеленью и более высоким психологическим благополучием у старших подростков. Кроме того, последующие анализы исследовали взаимодействие жилой зелени и возраста в отношении психологического благополучия после учета поддержки сверстников. Взаимодействие между жилой зеленью и возрастом ослабло, но осталось значимым при учете поддержки сверстников. Следовательно, большая поддержка сверстников может играть лишь незначительную роль в возрастных различиях взаимосвязи между жилой зеленью и более высоким психологическим благополучием в нашей выборке.

Плотность населения, неблагополучие района и доступность зеленых зон

В отличие от наших гипотез, линейные смешанные модели, исследующие взаимосвязь между плотностью населения, неблагополучием района и доступностью зеленых зон, и воспринимаемой социальной поддержкой, не выявили связи с семейной поддержкой и автономией или поддержкой сверстников. Кроме того, хотя взаимосвязь между плотностью населения и психологическим благополучием варьировалась в зависимости от возраста, взаимосвязь между плотностью населения и воспринимаемой социальной поддержкой не варьировалась в зависимости от возраста.

Обсуждение

Настоящее исследование изучало взаимосвязь между факторами стресса и ресурсами района проживания, воспринимаемой социальной поддержкой и психологическим благополучием у подростков в возрасте от 9 до 17 лет из испанской когорты INMA. Подтверждая наши гипотезы относительно жилой зелени, возрастные результаты предполагают, что большая жилая зелень была связана с более высоким психологическим благополучием у старших подростков (15–17 лет), но не у младших детей и подростков (9–14 лет). Кроме того, большая семейная поддержка и чувство автономии у старших подростков, живущих в районах с большей жилой зеленью, играли роль в этой взаимосвязи. Были слабые доказательства того, что взаимосвязь между большей жилой зеленью и большей поддержкой сверстников играла роль в психологическом благополучии. Кроме того, результаты показали возрастные различия во взаимосвязи между плотностью населения и психологическим благополучием: старшие подростки, живущие в более густонаселенных районах, сообщали о более низком благополучии. Вопреки нашим гипотезам относительно неблагополучия района и доступности зеленых зон, не было выявлено взаимосвязи между этими характеристиками района, воспринимаемой социальной поддержкой и психологическим благополучием. Наконец, и в отличие от наших разведочных гипотез, ни одна из значимых взаимосвязей не варьировалась в зависимости от пола и семейного достатка.

Жилая зелень, воспринимаемая социальная поддержка и психологическое благополучие

Основываясь на растущем объеме литературы, указывающей на связь между городской жизнью и более плохим физическим и психическим благополучием на протяжении всей жизни, данное исследование изучило, связана ли жизнь в районах с большей зеленью с улучшением психологического и социального благополучия у молодых людей. В соответствии с нашими гипотезами, большая жилая зелень была связана с более высоким психологическим благополучием у старших подростков (15–17 лет). Учитывая, что социоэмоциональные трудности обычно усугубляются на протяжении подросткового возраста, наши выводы могут способствовать пониманию того, как более зеленые жилые районы могут снижать возрастные уязвимости в благополучии. Напротив, в соответствии с исследованиями, показывающими смешанные или отсутствующие связи между зелеными зонами и когнитивным и эмоциональным развитием у детей, взаимосвязь между жилой зеленью и психологическим благополучием не была значимой у детей и младших подростков. Предыдущие исследования также сообщали о возрастных эффектах во взаимосвязи между жилой зеленью и психологическим благополучием. Хотя здесь сообщаемые эффекты малы, они все же имеют значение для понимания неравенства в области здравоохранения, поскольку они накапливаются по популяциям и со временем. Возможно, возрастные различия, обсуждаемые ниже, станут все более актуальными в условиях быстро меняющихся городских условий.

Существует по крайней мере пара объяснений, основанных на развитии, для результатов, представленных в этом исследовании. Во-первых, чувство автономии и освоение сложных социальных сред вне дома являются ключевыми задачами развития для подростков в индустриальных обществах, и они связаны с положительным настроением и социальной связанностью. В соответствии с нашими гипотезами, наши результаты показали, что большая жилая зелень в целом связана с большей семейной поддержкой и автономией, и эта взаимосвязь играла роль в более высоком психологическом благополучии у старших подростков, живущих в районах с большей жилой зеленью. Будущие исследования могут расширить нынешние выводы, чтобы понять, как дизайн района и пространственное распределение жилой зелени могут способствовать чувству автономии у молодых людей, возможно, путем обеспечения независимой мобильности и исследования, и, таким образом, способствуя общей психосоциальной адаптации молодых людей.

Во-вторых, принадлежность к группам сверстников и беспокойство по поводу социальной оценки особенно важны в подростковом возрасте, причем качество дружбы является важным фактором положительного самовосприятия и психосоциальной адаптации в этот период. В соответствии с исследованиями, предполагающими, что жилая зелень предоставляет больше возможностей для построения социальных связей, наши результаты показывают слабую, но незначимую связь между большей жилой зеленью и большей поддержкой сверстников у старших подростков. Хотя для подтверждения положительной роли жилой зелени в поддержке сверстников требуются дальнейшие доказательства, возможно, что преимущества социализации и связанности районов, характеризующихся жилой зеленью, могут быть особенно значимыми на более поздних этапах подросткового возраста, когда сети сверстников становятся все более важными.

Благоприятное для здоровья воздействие жилой зелени, психологического благополучия и воспринимаемой социальной поддержки не распространялось на доступность зеленых зон, измеренную как наличие или отсутствие зеленой зоны площадью более 5000 м² в радиусе 150 метров от дома. Хотя крупные зеленые зоны способствуют рекреационному использованию городской зелени, польза для субъективного социального и психологического благополучия может зависеть скорее от ежедневного использования этих зон, что не было учтено в этой мере.

Плотность населения и психологическое благополучие

Еще одна цель данного исследования заключалась в изучении связи плотности населения с психологическим благополучием у детей и молодых людей. Результаты показали некоторую поддержку нашим гипотезам, а именно, что старшие подростки (15–17 лет), живущие в густонаселенных районах, имели более низкое психологическое благополучие по сравнению с теми, кто жил в менее густонаселенных районах. Этот эффект был ослаблен при корректировке на специфические для периода эффекты (p = 0,053). Возможно, что использованная в данном исследовании мера плотности населения охватывает более широкий спектр факторов, связанных с городской жизнью, которые могут независимо способствовать благополучию как положительно, так и отрицательно, ослабляя общий эффект. Например, густонаселенные городские районы обычно характеризуются большим количеством трафика, шума и загрязнения воздуха, а также некоторыми положительными факторами, включая больше возможностей для участия в досуговых мероприятиях. Будущие исследования могут изучить, как конкретные факторы в густонаселенных городских районах могут положительно или отрицательно влиять на благополучие и как чувствительность может различаться на протяжении детства и подросткового возраста.

Неблагополучие района и социальное неравенство в воспринимаемой социальной поддержке и психологическом благополучии

Вопреки нашим гипотезам, не было выявлено взаимосвязи между неблагополучием района, воспринимаемой социальной поддержкой и психологическим благополучием. Кроме того, семейный достаток не был связан с различиями в психологическом благополучии, и молодые люди из неблагополучных семей не получали большей выгоды от социальной и связанной со здоровьем пользы от жилой зелени и зеленых зон. Эти результаты противоречат литературе по социальному неравенству и представлению о том, что молодые люди из семей с более низким социально-экономическим статусом чаще живут в районах, которые накапливают опасные городские воздействия (например, меньше природных зон). Отсутствие взаимосвязи между семейным достатком и благополучием может быть результатом того, что основные меры социально-экономического статуса, доступные в наборе данных INMA, были собраны во время беременности или в раннем детстве, включая меры, использованные в этом исследовании (семейный достаток, образование матери и неблагополучие района). Предыдущие исследования с использованием набора данных INMA показали, что социальный класс родителей, образование родителей и меры, связанные с занятостью, собранные при рождении, предсказывали когнитивные результаты у детей в возрасте 5–6 лет и 7–8 лет. Кроме того, образование матери при рождении, но не неблагополучие района, было связано с различиями во внутренних и внешних трудностях, о которых сообщали родители у детей в возрасте 6–12 лет. Одним из объяснений нулевых результатов в этом исследовании является то, что объективные меры семейного достатка могут не полностью отражать субъективные переживания социально-экономического контекста, которые могут быть особенно важны для субъективного благополучия в подростковом возрасте.

Ограничения

Результаты данного исследования следует интерпретировать с учетом определенных ограничений. Во-первых, некоторые меры, включенные в данное исследование, могли быть затронуты предвзятостью участников или ошибками измерения. Например, мы использовали самоотчетные меры воспринимаемой социальной поддержки и психологического благополучия. Это могло быть связано с аффективными состояниями, специфичными для участников, такими как настроение, что могло привести к предвзятым ответам. Тем не менее, хотя корреляции между подшкалами были умеренными или высокими, этот диапазон не настолько высок, чтобы вызывать проблемы. Кроме того, меры воспринимаемой социальной поддержки и психологического благополучия собирались одновременно. Следовательно, хотя данное исследование изучало влияние воспринимаемой социальной поддержки на психологическое благополучие, более высокое психологическое благополучие, в свою очередь, могло влиять на воспринимаемую поддержку сверстников, семейную поддержку и чувство автономии, что соответствует исследованиям, обратным образом показывающим лучшую психосоциальную адаптацию (например, социокогнитивные способности) у молодых людей с лучшим психическим благополучием. Также наши социально-экономические переменные были собраны во время беременности, при рождении или оценены в раннем детстве и могут быть репрезентативными только для короткого периода времени.

Во-вторых, хотя мы использовали направленный ациклический граф для схематического представления сложных эмпирических взаимосвязей между соответствующими ковариатами и факторами, влияющими на результат, возможно, что общие малые связи, обнаруженные в нашем исследовании, отражают комбинацию сложных взаимосвязей от неизмеренных переменных и неучтенных факторов, не включенных в причинную модель. Например, этническая принадлежность и миграционный статус были связаны с повышенным риском эмоциональных расстройств и психозов по всей Европе, но вариативность была недостаточной для включения этих факторов в нашу модель. Психическое здоровье родителей и факторы, связанные с генами, также являются важными предикторами психического здоровья детей, и было показано, что они влияют на вероятность миграции семей в городские центры. Кроме того, хотя мы группируем участников по регионам исследования, лучшим представлением окружающей среды жилого района были бы почтовые индексы или переписные участки. Примечательно, однако, что участники данного исследования могут подвергаться воздействию не только жилых сред, но и других сред (например, школы). Это известно в эпидемиологических исследованиях как проблема неопределенного географического контекста. Будущие исследования могли бы учитывать более мелкие и разнообразные географические контексты.

Наконец, большая часть данных последующего наблюдения на втором этапе была собрана во время или после пандемии коронавируса, и поэтому возрастные различия в представленных результатах могли быть усилены ограничениями, введенными во время карантина, которые были особенно строгими в городских районах. Для корректировки на специфические для периода влияния на наши результаты мы провели серию анализов чувствительности, включающих временной этап как фиксированный эффект. Эти анализы чувствительности показали, что: (i) возрастное влияние большей жилой зелени на более высокое психологическое благополучие и воспринимаемую социальную поддержку было устойчивым к корректировке на специфические для периода эффекты; (ii) возрастные эффекты в основном наблюдались у старших подростков (15 лет и старше), а не у подростков среднего возраста (до 15 лет), которые также проходили тестирование во время пандемии; и (iii) эти возрастные различия не были обусловлены большей дисперсией ответов на психологическое благополучие у старших подростков (то есть, предположения о гомогенности дисперсии были выполнены). Кроме того, неожиданное основное влияние возраста на более низкую семейную поддержку и автономию, а также поддержку сверстников могло быть обусловлено специфическими для периода эффектами. Важно отметить, однако, что временной этап и возраст сильно коррелируют в наших данных, что приводит к высокому фактору инфляции дисперсии. Следовательно, хотя остается важным понимать, как возрастные различия могут возникать во взаимосвязи между характеристиками района и психологическим и социальным благополучием, наши результаты следует интерпретировать в контексте пандемии.

Заключение

Настоящее исследование предполагает, что определенные характеристики района проживания, включая жилую зелень и плотность населения, могут быть связаны с благополучием подростков. В частности, результаты показали, что старшие подростки, живущие в районах с большей жилой зеленью, испытывали большее чувство автономии и воспринимаемой социальной поддержки, и это было связано с более высоким психологическим благополучием. Кроме того, мы обнаружили, что старшие подростки, живущие в густонаселенных городских районах, сообщали о более низком психологическом благополучии. Будущие исследования могли бы опираться на нынешние выводы, чтобы выяснить, могут ли определенные условия района (например, более зеленые районы) способствовать исследованию и независимости, способствуя здоровой интеграции в группы друзей и более крупные группы сверстников. Наконец, принятие концептуальной модели развития и учет биологических, когнитивных и социальных различий на протяжении детства и подросткового возраста может быть полезным для изучения влияния здоровья населения в эпидемиологических исследованиях, поскольку это могло бы помочь понять, как различные городские воздействия связаны с благополучием на разных этапах развития (например, чувствительные периоды для конкретных городских стрессоров).

Короткие версии статей можно найти в телеграм-канале.

Посмотреть канал
Кликните еще раз для перехода

Waterpik TC-100E — насадка-ложка для ирригатора

Сменная насадка-ложка Waterpik TC-100E эффективно очищает язык от налета, бактерий и сернистых соеди...

Виши Деркос шампунь для сухих волос и чувствительной кожи

Виши Деркос шампунь для чувствительной кожи головы и сухих волос мягко очищает, уменьшает зуд и разд...

Ормета Золотое Сияние Маска для лица 50 мл

Ормета Золотое Сияние Маска для лица 50 мл с золотыми пудровыми частицами, комплексом Eyliss® и пров...

Авен XeraCalm A.D бальзам для сухой кожи 200 мл

Авен XeraCalm A.D липидовосполняющий бальзам для сухой и атопичной кожи нежно увлажняет, снимает зуд...

Урьяж Дезодорант-спрей 125 мл — защита и свежесть

Урьяж Дезодорант-спрей с квасцовым камнем — эффективная защита от запаха пота на целый день. Формула...

Навтекс Марля Медицинская 2 м — стерильная марля для перевяз...

Навтекс Марля Медицинская в отрезах 2 м — надежное средство для перевязок и обработки ран. Гипоаллер...