Влияние семейного стигмы и социально-экономических факторов на опекунов пациентов с болезнью Альцгеймера и лобно-височной деменцией

Влияние семейного стигмы и социально-экономических факторов на опекунов пациентов с болезнью Альцгеймера и лобно-височной деменцией

Интересное сегодня

Как избавиться от созависимости: шаги к здоровым отношениям ...

Как избавиться от созависимости Созависимость часто связана с глубоко укоренившимися когнитивными и ...

Особенности эмоциональной обработки у людей с аутизмом: ключ...

Как эмоциональная обработка проявляется у людей с аутизмом Люди с аутизмом могут обрабатывать эмоции...

Синергия психодрамы и интерсекциональности для социальной сп...

Введение Интерсекциональность и психодрама представляют две взаимосвязанные концепции, каждая из кот...

Новое исследование: Связь между силой хвата и психозом

Психоз может начинаться не с галлюцинаций, а с тонких изменений в двигательной активности, таких как...

Аутизм, психоз и кататония: перекрывающиеся симптомы и диагн...

Исторически аутизм и кататония рассматривались в рамках общего понимания шизофрении. Позднее было уб...

Игра в стереоскопические видеоигры улучшает точность, но не ...

Введение Исследования показывают, что игра в видеоигры улучшает широкий спектр зрительных и когнитив...

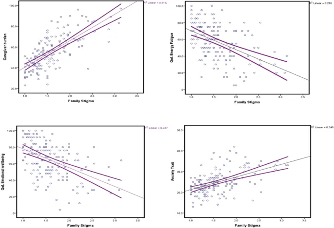
Рисунок 1: Линейные зависимости между семейным стигмой и исходами
Рисунок 1: Линейные зависимости между семейным стигмой и исходами
Thumbnail 1
Thumbnail 2
Thumbnail 3
Thumbnail 4
Оригинал исследования на сайте автора

Анализ влияния семейного стигмы и социально-экономических факторов на опекунов пациентов с ранним и поздним началом болезни Альцгеймера и лобно-височной деменцией

Насколько нам известно, не существует исследований, посвященных социально-экономическим факторам, семейному стигме и их психологическому воздействию на опекунов пациентов с ранним началом деменции. Мы оценили влияние семейного стигмы и социально-экономических факторов на психологические исходы, качество жизни (КЖ) и бремя опекуна среди 150 опекунов пациентов с ранним началом болезни Альцгеймера (EOAD), вызванной мутацией E280A в гене пресенилина 1 (EOAD), лобно-височной деменцией (FTD) и поздним началом болезни Альцгеймера (LOAD). У опекунов пациентов с EOAD чаще встречались факторы социально-экономического риска. Опекуны пациентов с FTD демонстрировали более высокие уровни семейного стигмы и более высокую распространенность негативных исходов. Мы обнаружили, что семейный стигма является более подходящим предиктором всех исходов. После корректировки на тип деменции, стадию деменции и поведенческие изменения, а также возраст и образование опекуна, семейный стигма оказался наиболее важным фактором, связанным с более высоким риском бремени опекуна и снижением КЖ в отношении усталости и эмоционального благополучия среди опекунов пациентов с ранним началом деменции.

Резюме

Насколько нам известно, не существует исследований, посвященных социально-экономическим факторам, семейному стигме и их психологическому воздействию на опекунов пациентов с ранним началом деменции. Мы оценили влияние семейного стигмы и социально-экономических факторов на психологические исходы, качество жизни (КЖ) и бремя опекуна среди 150 опекунов пациентов с ранним началом болезни Альцгеймера (EOAD), вызванной мутацией E280A в гене пресенилина 1 (EOAD), лобно-височной деменцией (FTD) и поздним началом болезни Альцгеймера (LOAD). У опекунов пациентов с EOAD чаще встречались факторы социально-экономического риска. Опекуны пациентов с FTD демонстрировали более высокие уровни семейного стигмы и более высокую распространенность негативных исходов. Мы обнаружили, что семейный стигма является более подходящим предиктором всех исходов. После корректировки на тип деменции, стадию деменции и поведенческие изменения, а также возраст и образование опекуна, семейный стигма оказался наиболее важным фактором, связанным с более высоким риском бремени опекуна и снижением КЖ в отношении усталости и эмоционального благополучия среди опекунов пациентов с ранним началом деменции.

Введение

Большинство исследований, посвященных бремени опекуна, проводились в основном среди опекунов пациентов с поздним началом деменции. Эти исследования показали, что опекуны подвержены высокому риску бремени, тревоги, депрессии и снижения качества жизни (КЖ). Риск возрастает при наличии таких социально-экономических факторов, как низкий доход, отсутствие служб долгосрочного ухода на уровне сообщества, безработица и низкий уровень образования1. Согласно нескольким смешанным количественно-качественным исследованиям позднего начала деменции, семейный стигма значительно связан с увеличением бремени опекуна, стрессом, связанным с уходом, социальной изоляцией и снижением помощи2, 3. Эти проблемы усугубляются особенными обстоятельствами ухода за близкими людьми с ранним началом болезни Альцгеймера или другими формами раннего начала деменции с генетическим компонентом, такими как лобно-височная деменция (FTD), при этом существует риск развития самого заболевания. Насколько нам известно, не существует исследований, посвященных социально-экономическим факторам, семейному стигме и их влиянию на опекунов пациентов с ранним началом деменции. Поэтому мы стремились восполнить этот пробел, оценив влияние этих факторов на бремя опекуна, КЖ и эмоциональное благополучие у семейных опекунов пациентов, входящих в самую крупную в мире когорту пациентов с EOAD из-за мутации E280A в гене пресенилина 1, и пациентов с лобно-височной деменцией (FTD), у которых обнаружены другие специфические мутации.

Стигма понимается как негативная реакция и ошибочное восприятие в отношении негативно оцениваемого отличия4, что оказывает глубоко разрушительное воздействие на психическое здоровье людей, подвергшихся стигматизации5. Когда люди принимают и интернализуют стигму, они испытывают искаженное самовосприятие и самооценку, что называется самостигматизацией или интернализованной стигмой6, 7. С другой стороны, когда предрассудки и дискриминация распространяются со стигматизированных людей на их друзей или родственников, которые не имеют признаков стигматизированного состояния, это известно как «стигма любезности» (courtesy stigma). Когда «стигма любезности» испытывается родственниками или семейными опекунами, и они интернализуют процесс самостигматизации, это называется семейным стигмой8.

Семейный стигма является значимым и потенциально модифицируемым фактором, способствующим бремени опекуна, который слабо освещен количественными и обобщающими методами и представляет центральную проблему для генетических популяций, подверженных риску развития EOAD9 или других форм раннего начала деменции с генетическим компонентом, таких как FTD.

Таким образом, мы предполагаем, что социально-экономические условия и семейный стигма связаны с более высоким риском депрессивных симптомов, тревоги, снижения качества жизни и бремени опекуна среди опекунов пациентов с ранним началом деменции.

Результаты данного исследования могут способствовать разработке индивидуальных терапевтических стратегий для снижения бремени опекуна в этой уникальной популяции и расширению знаний о семейном стигме и опекунах пациентов с деменцией путем количественного измерения риска негативных исходов для психического здоровья в целях общественного здравоохранения.

Материалы и методы

Дизайн исследования

Исследование является кросс-секционным и наблюдательным с аналитическими исходами и моделями. Цели заключались в том, чтобы определить, различаются ли социально-экономические характеристики, стигма ассоциации и исходы у опекунов пациентов с EOAD по сравнению с опекунами пациентов с FTD и LOAD, а также проанализировать ассоциации между предикторами, такими как социально-экономические и клинические факторы, семейный стигма, и исходами, такими как КЖ, депрессивные симптомы, тревога и бремя опекуна.

Участники

В выборку вошли опекуны без деменции (асимптоматичные), и критерии включения/исключения были разработаны именно для опекунов. Ни один опекун не имел FTD, EOAD или LOAD. Все опекуны были клинически здоровы. Участники были отобраны из когорт, находящихся под наблюдением Группы Неврологии Университета Антьокии (GNA), Колумбия. Исследование было одобрено комитетом по биоэтике SIU (Sede de investigación Universitaria). Все методы выполнялись в соответствии с соответствующими руководящими принципами и правилами от IRB (Независимый этический комитет). Мы включили в выборку 151 опекуна, разделенных на 3 группы. Группа 1 состояла из 45 опекунов пациентов с EOAD. Группа 2 включала 51 опекуна пациентов с FTD, а группа 3 — 55 опекунов пациентов с LOAD. Критерии включения были следующими: (1) Быть основным опекуном по крайней мере одного пациента с диагнозом EOAD, FTD или LOAD. (2) Возможность посетить учреждение GNA в Медельине в течение четырех часов для выполнения протокола исследования. Критерии исключения: наличие психиатрического диагноза биполярного расстройства или шизофрении.

Тестирование фоновых факторов и ковариат

  • Социально-экономические факторы (анкета для опекуна и пациента). Это структурированное интервью для получения базовой демографической информации и семейных характеристик, таких как количество родственников, страдающих деменцией. Интервью также охватывает основные социально-экономические показатели, такие как доход, адекватность воспринимаемого дохода, образование, условия труда, жилье, безопасность района, социальная поддержка, доступ к медицинскому обслуживанию, текущие медицинские диагнозы, потребление алкоголя и табака, уровень активности и досуг. В этом интервью задаются вопросы о некоторых общих особенностях ухода, а также о количестве часов ухода и поддержки, предоставляемой для ухода.
  • Семейный стигма (тест для опекуна). Шкала оценки стигмы ассоциации (Affiliate Stigma Scale) для опекунов людей с деменцией10. Это инструмент из 22 пунктов, оцениваемый по 4-балльной шкале Лайкерта. Шкала оценивает три основные области, описанные в модели «стигмы любезности» или «стигмы ассоциации», такие как когнитивная (7 пунктов), аффективная (7 пунктов) и поведенческая (8 пунктов). Эти области описывают психологические аспекты семейного стигмы, который определяется в концептуализации стигмы как процесс самостигматизации у членов семьи пациентов с заболеваниями или дегенеративными состояниями. Первая область оценивает когнитивные атрибуции опекуна, основанные на аспектах заболевания, таких как тяжесть заболевания, внешний вид пациента и восприятие опасности11. Она включает вопросы типа: «Другие будут дискриминировать меня, если я буду рядом с членом семьи с деменцией» или «Моя репутация страдает, потому что у меня дома член семьи с деменцией». Аффективная область включает эмоциональные реакции, как положительные эмоции (например, сострадание и печаль), так и отрицательные эмоции (например, стыд, смущение и вина)11. Эта область содержит вопросы типа: «Я чувствую себя неполноценным, потому что у одного из членов моей семьи деменция» или «Я чувствую эмоциональное расстройство из-за члена моей семьи с деменцией». Третья область, поведенческая, оценивает реакции опекуна, такие как избегание или сокрытие. Оценка производится путем расчета общего балла и среднего балла. Чем выше балл, тем выше уровень стигмы ассоциации.
  • Клиническая стадия (FAST) (тест для пациента). Поскольку когнитивное и функциональное ухудшение, присущее клиническому течению деменции, может влиять на настроение, качество жизни и благополучие опекуна, мы использовали Шкалу функциональной оценки (Functional Assessment Staging, FAST) для контроля этого аспекта диады пациент/опекун. По этой шкале, чем выше балл, тем выше степень снижения и, следовательно, стадия деменции. Эта мера позволила нам контролировать в нашем статистическом анализе все исходы для опекуна в соответствии с тяжестью и стадией заболевания пациента. FAST оценивает прогрессирование деменции, учитывая семь стадий от отсутствия деменции или бессимптомного состояния (стадия 1) до тяжелой деменции (стадия 7). Шкала оценивает интегрированную способность, лежащую в основе когнитивной функции, для выполнения повседневной деятельности. Оценка изменений в функциональных показателях и навыках повседневной жизни является важным аспектом оценки пожилых людей с деменцией12.

Поведенческие изменения (тест для пациента)

Инвентаризация лобных поведенческих расстройств (Frontal Behavioral Inventory, FBI)13 — это опросник из 24 пунктов, который измеряет нейропсихиатрические симптомы и поведенческие изменения, типичные для FTD, такие как апатия, безразличие, дезорганизация, невнимательность, пренебрежение личной гигиеной, отсутствие спонтанности, негибкость, конкретность мышления, потеря инсайта, логопения, вербальная апраксия и синдром «чужой руки». Чем выше балл, тем больше поведенческие нарушения.

Инструменты оценки исходов (тесты для опекунов)

  • Бремя опекуна. Шкала Зарита (Zarit Burden Interview). Мы использовали колумбийскую валидацию этой шкалы14. Исследование валидации показало хорошую надежность (альфа общего балла = 0,86). Этот тест состоит из 22 пунктов по 5-балльной шкале Лайкерта от 0 до 4, где более высокие баллы указывают на большее бремя. Шкала измеряет психологическое бремя и стресс, испытываемые опекунами, ухаживающими за людьми с деменцией15.
  • Депрессивная симптоматика. Шкала депрессии Центра эпидемиологических исследований (CESD)16. Этот тест измеряет депрессивные симптомы, оценивая четыре области: депрессивное настроение, социальные аспекты депрессии, соматические симптомы и положительный аффект. Мы использовали испанскую версию шкалы, переведенную и валидированную для испаноязычных опекунов пациентов с деменцией. Шкала представляет собой 5-балльную шкалу Лайкерта от 0 до 4. Чем выше балл, тем выше уровень депрессивных симптомов. Шкала показала надежность (альфа > 0,85).
  • Тревожность. Личностный опросник Спилбергера (Spielberger State-Trait Personal Inventory)17. Мы использовали короткую форму испанской адаптации Шкалы тревожности (State-Trait Anxiety Inventory)18. Шкала состоит из 40 пунктов по 4-балльной шкале Лайкерта. Шкала измеряет как трейтовую тревожность (предрасположенность к тревоге в различных жизненных ситуациях), так и ситуативную тревожность (тревога в данный момент), и состоит из двух отдельных субшкал (STAIT и STAIS) по 20 пунктов каждая.
  • КЖ. 36-пунктовый краткий опросник здоровья (SF-36). Мы использовали испанскую валидацию для колумбийской популяции19. В этой валидации надежность межэкспертной оценки была выше 0,80, а надежность тест-ретест — выше 0,70. Этот тест оценивает субъективное восприятие благополучия в социокультурном контексте. Тест включает 36 вопросов и 9 компонентов как физического, так и психологического здоровья. Тест предоставляет как общий балл, так и балл по отдельным компонентам. По этой шкале, чем выше балл, тем хуже восприятие благополучия.

Статистический анализ

Для изучения ассоциаций между ковариатами, факторами и исходами, а также для измерения направления и силы каждой ассоциации мы провели бивариативный и многовариативный анализ (ANOVA и хи-квадрат тесты), а также многовариантный дисперсионный анализ (MANCOVA). Перед проведением MANCOVA мы подтвердили, что зависимые переменные были непрерывными и линейными, имели нормальное распределение, гомогенность наклонов регрессии и гомогенность дисперсий. Для оценки риска (отношение шансов, OR) негативных исходов, связанных с семейным стигмой, мы провели четыре логистические регрессии с корректировкой на клиническую стадию заболевания и поведенческие изменения пациента, возраст и образование опекуна. Мы подтвердили предположения о независимости ошибок, линейности в логите для непрерывных переменных, отсутствии мультиколлинеарности и отсутствии сильно влияющих выбросов. Коррекции на множественные сравнения не проводились в этом поисковом, наблюдательном исследовании, и p < 0,05 использовался в качестве критерия статистической значимости20.

Этическое одобрение и информированное согласие

Данное исследование было одобрено и находилось под наблюдением Институционального наблюдательного совета Медицинского факультета Университета Антьокии под номером одобрения 1810822. Все участники подписали форму информированного согласия. Данный документ не содержит данных ни одного отдельного человека.

Результаты

Демографические и клинические характеристики выборки

Таблица 1 суммирует базовые демографические и клинические характеристики пациентов. Были выявлены значительные различия в возрасте и образовании опекунов. Опекуны пациентов с EOAD имели самые низкие показатели по этим переменным. По клиническим характеристикам мы обнаружили значительные различия в поведенческих изменениях и клинической стадии. У пациентов с EOAD отмечались менее выраженные поведенческие изменения и более медленная эволюция клинической стадии.

Различия в КЖ, бремени опекуна, семейном стигме, депрессии и тревожности среди опекунов пациентов с EOAD, FTD и LOAD

Результаты, касающиеся КЖ в отношении физического функционирования, ограничений ролевой деятельности из-за эмоциональных проблем, усталости, эмоционального благополучия и общего состояния здоровья, указывают на то, что группа пациентов с FTD демонстрировала наихудшие показатели во всех этих областях. Группа пациентов с LOAD показала наименьший балл по бремени опекуна и во всех доменах стигмы, с существенными различиями. Группа пациентов с EOAD показала самые высокие баллы по трейтовой тревожности, при этом существенных различий в депрессии не было. Статистически значимые различия между тремя группами наблюдаются в SF-36 по физическому функционированию, ролевым ограничениям, усталости, эмоциональному благополучию и общему состоянию здоровья. Все компоненты шкалы стигмы показали значительные различия между группами, а оценка по шкале Зарита и трейтовая тревожность по Шкале Спилбергера также существенно различались между группами. Результаты этих анализов представлены в Дополнительной таблице 1.

Социально-экономические характеристики среди опекунов пациентов с EOAD, FTD и LOAD

Таблица 2 показывает различия в социально-экономических и социодемографических характеристиках опекунов, таких как уход за другими родственниками с той же деменцией в прошлом, зависимость от посторонней помощи, тип страховки и жилищные условия.

Многовариантные модели

Мы провели многовариантный дисперсионный анализ (MANCOVA) для изучения ассоциаций между ковариатами, факторами и исходами, а также направления и силы каждой ассоциации. Это означает, что мы анализируем, какие переменные (социодемографические факторы, тип деменции или диагностическая группа, поведенческие изменения, стадия деменции и семейный стигма) лучше объясняют исходы для опекунов, такие как усталость/энергия для КЖ, эмоциональное благополучие для КЖ, бремя опекуна и трейтовая тревожность (Таблица 3). Перед проведением MANCOVA мы оценили предположения для линейных моделей. Зависимые переменные были непрерывными и линейными и имели нормальное распределение на основе графического анализа и статистических методов (критерии Колмогорова-Смирнова и Шапиро-Уилка). Все переменные имели нормальное распределение и были независимыми наблюдениями. Выбросов не обнаружено. Мы исследовали линейность между зависимыми и независимыми переменными и обнаружили подходящие паттерны для перехода к оценке гомогенности наклонов регрессии. Значимых взаимодействий не обнаружено.

Используя критерий Вилкокса, мы обнаружили значимые различия в семейном стигме (Λ = 0.52, F (4, 131) = 30, p < 0.001), диагностической группе (Λ = 0.88, F (8, 262) = 2.20, p = 0.028) и поведенческих изменениях по FBI (Λ = 0.89, F (4, 131) = 4.22, p = 0.003). Значимых взаимодействий не обнаружено. При проведении тестов межгрупповых эффектов мы обнаружили значимые эффекты между поведенческими изменениями и бременем опекуна, а также между семейным стигмой и всеми исходами. Это означает, что семейный стигма был единственной переменной, связанной с наличием сниженной энергии, уменьшением эмоционального благополучия, более высоким бременем опекуна и трейтовой тревожностью. Кроме того, поведенческие изменения также могли объяснить увеличение бремени опекуна. Мы проанализировали оценки параметров для ассоциаций между исходами, факторами и ковариатами (Таблица 3).

Для измерения риска негативных психологических исходов из-за семейного стигмы среди опекунов мы рассчитали отношение шансов (OR). Для КЖ (энергия/усталость и эмоциональное благополучие), бремени опекуна и трейтовой тревожности. Наши результаты показывают, что после корректировки на возраст, образование, клиническую стадию и поведенческие изменения, семейный стигма увеличивал риск для всех исходов, кроме тревожности. Для КЖ (энергия/усталость) мы обнаружили, что стигма объяснял 28% дисперсии (OR 1.11, 95% ДИ: 1.06–1.17, P < 0,001). Для КЖ (эмоциональное благополучие) стигма объяснял 28% дисперсии (OR 1.10, 95% ДИ: 1.05–1.15, p < 0,001). Для бремени опекуна объяснялось 46% дисперсии (OR 1.23, 95% ДИ: 1.13–1.34, p < 0,001).

Мы обнаружили значимые ассоциации между семейным стигмой и энергией/усталостью; чем выше был балл по шкале стигмы, тем ниже были показатели КЖ для поддержания энергии и низкого уровня усталости. Аналогичная закономерность наблюдалась для КЖ в области эмоционального благополучия, где увеличение на единицу по шкале стигмы снижало показатели КЖ более чем на 20 пунктов. Мы обнаружили умеренную ассоциацию между поведенческими изменениями и увеличением бремени опекуна. Аналогично, увеличение на единицу по шкале стигмы приводило к увеличению на 23 пункта по шкале бремени опекуна. В области трейтовой тревожности мы обнаружили значимую ассоциацию между стигмой и тревогой, где увеличение на единицу по шкале стигмы на 6,3 пункта превышало балл по трейтовой тревожности. Рисунок 1 показывает сильные линейные зависимости между семейным стигмой и четырьмя исходами.

Обсуждение

Наше исследование было направлено на определение того, связаны ли семейный стигма, клинические особенности пациента и социально-экономические факторы со снижением уровня КЖ и увеличением распространенности депрессивных симптомов, тревоги и бремени опекуна среди опекунов пациентов с деменцией. Мы также оценили риск (OR) возникновения негативных исходов для опекунов из-за семейного стигмы с учетом возраста, образования опекуна, клинической стадии и поведенческих изменений пациента. Насколько нам известно, это первое исследование, количественно оценивающее риск негативных психологических исходов из-за семейного стигмы, а также клинических и социально-экономических факторов среди опекунов пациентов с деменцией, анализируемое по типу деменции и включающее FTD, EOAD и LOAD.

Мы решили сосредоточить это исследование на опекунах пациентов с ранним началом деменции, поскольку они относятся к генетическим популяциям, подверженным риску развития EOAD или других форм раннего начала деменции с генетическим компонентом, таких как FTD. Как EOAD, так и FTD представляют собой две основные причины раннего начала деменции21, и все наши случаи — это опекуны пациентов с ранним началом деменции.

Эти популяции с семейным анамнезом раннего начала деменции подвержены высокому риску маргинализации и дискриминации из-за диагноза деменции, клинического течения у пациентов и трудностей, связанных с уходом за людьми с ранним началом заболевания22. Данное исследование способствует пониманию семейного стигмы и исходов для опекунов с использованием другого подхода, основанного на конкретном типе деменции и клинических особенностях пациента.

При анализе социально-экономических характеристик мы обнаружили, что опекуны пациентов с EOAD были самыми молодыми и имели более низкий уровень образования. Опекуны пациентов с EOAD имели более высокую частоту членов семьи, которые в прошлом ухаживали за родственником с деменцией, и у них чаще отсутствовала какая-либо помощь в уходе за своим родственником. С другой стороны, среди опекунов пациентов с FTD была самая высокая доля тех, кто пользовался платными услугами по уходу, и более высокая доля опекунов с частным страхованием. Опекуны пациентов с EOAD в основном полагались на государственное и публичное страхование. Группа опекунов пациентов с LOAD имела самую высокую частоту членов семьи, живущих в собственном доме, в то время как семьи пациентов с FTD и EOAD в основном жили в семейном доме. Группа опекунов пациентов с EOAD имела более высокую частоту потенциальных социально-экономических факторов; тем не менее, группа опекунов пациентов с FTD имела более высокую частоту негативных психологических исходов.

Наши результаты показывают, что опекуны пациентов с FTD демонстрировали наихудшие результаты по КЖ и во всех доменах семейного стигмы. Опекуны пациентов с EOAD и FTD имели более высокое бремя опекуна, а опекуны пациентов с FTD имели более высокие уровни тревожности (трейтовой). После корректировки на клиническую стадию и поведенческие изменения пациента, возраст и образование опекуна, мы обнаружили, что семейный стигма был единственным предиктором, связанным с худшими исходами. Семейный стигма снижал уровень энергии и повышал усталость. Аналогично, мы наблюдали, что с увеличением семейного стигмы снижалось эмоциональное благополучие. Стигма был связан с более высоким бременем опекуна. Мы оценили риск негативных исходов из-за семейного стигмы. Мы обнаружили, что семейный стигма значительно увеличивал риск для всех ассоциированных исходов, кроме трейтовой тревожности. После корректировки на потенциальные конфаундер-факторы, семейный стигма был переменной, которая лучше всего объясняла дисперсию во всех оцененных исходах.

В итоге, наши бивариативные результаты показывают, что EOAD связана с большим количеством социально-экономических факторов риска для негативных исходов для опекунов. Тем не менее, опекуны пациентов с FTD демонстрировали более высокий уровень негативных психологических исходов, снижения КЖ и семейного стигмы. При введении корректировок в многолинейную модель, семейный стигма остается основным фактором, объясняющим дисперсию в исходах и увеличивающим риск негативных психологических исходов и снижения КЖ, независимо от клинической стадии и типа деменции пациента.

Наши результаты подчеркивают центральную роль семейного стигмы в снижении эмоционального благополучия и КЖ, а также увеличении бремени опекуна. Эти выводы согласуются с исследованием Вернер и др.11. Они обнаружили, что 50% их выборки семейных опекунов пациентов с деменцией испытывали самостигматизацию в результате ухода за родственником с деменцией, подобной АД, и что опекуны, испытывающие более высокий уровень семейного стигмы, демонстрировали самые высокие уровни бремени опекуна. Авторы подтвердили, что психологические факторы были основными коррелятами семейного стигмы. В нашем исследовании семейный стигма был наиболее важным фактором, связанным с более высоким риском бремени опекуна, снижением КЖ в отношении усталости и эмоционального благополучия.

Другое исследование представило результаты, схожие с нашими. Авторы стремились проанализировать, как стигма и духовные стратегии преодоления опосредуют ассоциации между самостоятельностью пациента в повседневной деятельности и тревогой, депрессией, бременем опекуна и эмоциональными компонентами КЖ. В случае стигмы они сообщили, что он вносил вклад более чем в 40% дисперсии во всех исходах, предполагая, что наличие стигмы усиливало вредное воздействие нарушения повседневной самостоятельности пациента на каждый негативный психологический исход и исход, связанный с КЖ23.

Семейный стигма, связанный с такими состояниями, как деменция, увеличивает бремя для семейных опекунов, поскольку обычно они являются единственными, кто несет ответственность за управление поведением своих родственников с деменцией. Эта ситуация часто приводит к избеганию со стороны других по отношению к опекуну и членам его семьи с деменцией24. Такое социальное давление из-за социальной стигматизации может напрямую приводить к психологическому расстройству у опекуна. Аналогично, изоляция, редкое взаимодействие с родственниками и друзьями, смущение и потеря социального статуса — довольно распространенные ситуации и субъективные чувства, испытываемые семейными опекунами, которые подвергаются семейному стигме25. Этот набор неблагоприятных психосоциальных переживаний, как было показано, негативно влияет на членов семей людей с болезнью Альцгеймера и связан с неблагоприятными последствиями при различных заболеваниях среди населения в целом и для семейных опекунов25. Леви в 2009 году сообщил, что стигма по отношению к старению, существовавшая в более молодом возрасте, увеличивала риск сердечно-сосудистых событий, таких как застойная сердечная недостаточность, сердечные приступы и инсульты, в течение следующих 38 лет26.

Вайсман де Мамани и др.27 обнаружили, что опекуны с высоким уровнем стигмы демонстрировали более выраженные эмоционально чрезмерно вовлеченные (EOI) установки и поведение, которые могут приводить к тому, что опекун становится более навязчивым, самопожертвенным и более склонным критиковать или навязываться своему родственнику в попытке контролировать симптоматическое поведение. Кроме того, они обнаружили, что высокий уровень EOI является потенциальным медиатором между семейным стигмой и психологическими факторами КЖ. Это открытие может быть объяснено тем, что высокий уровень EOI связан со сниженным психическим здоровьем у самих опекунов28. Выводы автора предполагают, что таргетирование семейного стигмы в психотерапии может снизить уровни высокого EOI и косвенно повысить КЖ опекуна.

Связь между семейным стигмой и негативными психологическими исходами среди опекунов пациентов с ранним началом деменции особенно актуальна в латиноамериканском контексте из-за социокультурных паттернов и финансовых ограничений, которые могут оказывать сильное давление на опекунов, вынуждая их ухаживать за своими родственниками. В предыдущих исследованиях, изучавших влияние семейного стигмы на опекунов пациентов с шизофренией, было обнаружено, что негативное влияние этой формы стигмы особенно выражено в условиях высокой сплоченности семьи, что характерно для культурных паттернов Латинской Америки. Во многих странах с низким и средним уровнем дохода большинство людей с заболеваниями мозга/психического здоровья живут с семьями и зависят от них как в финансовом плане, так и в повседневном уходе; следовательно, опекуны в конечном итоге выполняют несколько ролей, которые в странах с высоким уровнем дохода занимают медицинские работники или сотрудники социальной службы. Авторы этого исследования сообщили, что стигма был независимо связан с более высокими уровнями позитивных симптомов шизофрении, более высокими уровнями инвалидности, более молодым возрастом пациента и образованием домохозяйства на уровне средней школы29. Эти результаты подчеркивают связь между семейным стигмой и социально-экономическими, демографическими и клиническими факторами заболевания и указывают на необходимость расширения знаний в этой области в странах с низким и средним уровнем дохода, где опекуны потенциально более подвержены культурным и финансовым ограничениям, которые могут представлять более высокий риск семейного стигмы и негативных психологических исходов.

Следуя этим выводам о влиянии социодемографических факторов на стигму и благополучие опекуна и бремя, мы обнаружили в нашем исследовании, что большинство опекунов были женщинами. В предыдущем исследовании Ассоциация Альцгеймера показала, что две трети опекунов были женщинами, причем треть из них — дочери30. Эта характеристика ухода за пациентами с деменцией очень распространена в Латинской Америке и других странах с низким/средним уровнем дохода31 и требует освещения и рассмотрения с различных точек зрения из-за влияния, которое это может оказать на гендерное равенство, доступ женщин к высшему образованию, доходам и их роль в обществе. В предыдущем исследовании сообщалось, что по сравнению с сыновьями, дочери-опекуны пациентов с БА выполняли больше задач по уходу, испытывали больше вины за уход, который они могли предоставить, реже принимали поддержку от своих партнеров и были более склонны покинуть рынок труда, чтобы ухаживать за своим родителем32.

Семейный альянс по уходу за родственниками (Family Caregiver Alliance) в 2013 году33 сообщил, что женщины остаются наиболее частыми поставщиками услуг по уходу за родственниками с деменцией; именно они управляют самыми сложными задачами по уходу и больше всего страдают от последствий бремени опекуна, таких как увеличение депрессии, усталости, тревоги и сердечно-сосудистых заболеваний34. Как это часто бывает во всех латиноамериканских странах и странах с низким/средним уровнем дохода, в нашем исследовании женщины были основными опекунами пациентов с деменцией среди всех групп. При оценке по типу деменции мы не обнаружили различий по полу. Таким образом, мы должны обратить внимание на это открытие.

Аналогично, еще один социодемографический фактор, который следует изучить более подробно в будущем, — это возраст диады опекун/пациент. Как опекуны пациентов с FTD, так и с EOAD, вероятно, находятся в той же возрастной группе, что и их родственники с заболеванием. Это важный фактор, который следует изучить далее, чтобы понять, как он может влиять на психологические исходы у опекунов.

Выводы

В заключение, наши результаты предполагают, что даже после корректировки на тип деменции, стадию деменции и поведенческие изменения, а также возраст и образование опекуна, семейный стигма был наиболее важным фактором, связанным с более высоким риском бремени опекуна и снижением КЖ в отношении усталости и эмоционального благополучия среди опекунов пациентов с ранним началом деменции. Эти результаты указывают на важность борьбы с семейным стигмой как на социальном уровне с помощью кампаний по осведомленности о стигме, так и на индивидуальном уровне с помощью терапевтических мер. Все эти факторы улучшают здоровье опекунов, их психологическое благополучие и КЖ.

Ограничения

Данное исследование имеет множество сильных сторон, поскольку оно было проведено среди популяций, находящихся под наблюдением медицинского и психологического персонала, являющегося экспертом в области деменции из GNA, с непрерывным мониторингом пациентов. Однако в данном исследовании опросы опекунов проводились в кросс-секционном формате без отслеживания во времени. Включенная популяция состояла из опекунов, проживающих в Медельине, городском районе. Сельское население не было включено, и социально-экономические аспекты могут отличаться от тех, которые были выявлены в этой выборке. Неизвестно, будут ли исходы также отличаться. GNA постоянно проводит социальные мероприятия, направленные на улучшение благополучия опекунов, в основном среди популяций с EOAD и LOAD. Популяция пациентов с FTD может быть менее вовлечена в интервенции. Однако тип деменции, по-видимому, не связан с оцененными исходами. Необходимы новые исследования среди аналогичных популяций, охватывающие как опекуна, так и пациента совместно, чтобы подтвердить роль стигмы в Латинской Америке и определить возможности для лучших интервенций.

Ссылки

Download references

Благодарности

Мы благодарим всех опекунов, которые приняли участие в этом проекте и предоставили нам очень ценную информацию о своем настроении, КЖ и всех личных аспектах, связанных с ролью опекуна, которыми они щедро поделились с нами для этого исследования. Мы также хотим поблагодарить Лизет Марин, которая поддерживала нас в качестве координатора исследований и благодаря своей добросовестности позволила нам беспрепятственно решать все логистические аспекты проекта. Мы благодарим доктора Дэвида Агильона из Группы Неврологии Антьокии за помощь в привлечении участников. Мы благодарим Аманду Салдарриагу и Лилиану Лопес за помощь с логистикой во время исследовательских визитов с опекунами. Мы признательны доктору Роберту Левенсону и его команде из Лаборатории психофизиологии Беркли за их ценные советы и рекомендации по дизайну проекта.

Финансирование

Данная работа была поддержана Ассоциацией Альцгеймера, Обществом Альцгеймера, Глобальным институтом здоровья мозга (GBHI ALZ UK—19585211) и Группой Неврологии Антьокии.

Информация об авторах

Авторы
Эти авторы внесли равный вклад: Франсиско Лопера и Джоэл Крамер.

Авторы и учреждения

  • Группа Неврологии Антьокии, Медицинский факультет Университета Антьокии, Calle 62 N 5259, 050010, Медельин, Антьокия, Колумбия
    Лина Вела, Наталия Акоста-Баэна & Франсиско Лопера
  • Глобальный институт здоровья мозга, Центр памяти и старения Калифорнийского университета в Сан-Франциско, 1651 4th St Suite 212, Сан-Франциско, Калифорния, 94143, США
    Лина Вела & Джоэл Крамер
  • Кафедра эпидемиологии и биостатистики, Калифорнийский университет в Сан-Франциско, Сан-Франциско, Калифорния, США
    Изабель Аллен

Вклад авторов
Л.В. разработала, провела исследование и внесла основной вклад в написание рукописи. Н.А.Б. участвовала в разработке исследования, его проведении и написании рукописи. И.А. внесла вклад в разработку исследования, статистический анализ и написание рукописи. Ф.Л. и Дж.К. внесли вклад в разработку исследования и научное руководство рукописью. Ф.Л. и Дж.К. внесли равный вклад в качестве старших авторов.

Связанный автор
Корреспондирующий автор: Лина Вела.

Заявления об этике

Конкурирующие интересы

Авторы заявляют об отсутствии конкурирующих интересов.

Дополнительная информация

Замечание издателя Springer Nature остается нейтральной в отношении юрисдикционных претензий в опубликованных картах и институциональных аффилиациях.

Дополнительные сведения
Дополнительные сведения.

Права и разрешения

Открытый доступ
Эта статья лицензирована в соответствии с Международной лицензией Creative Commons Attribution 4.0, которая разрешает использование, обмен, адаптацию, распространение и воспроизведение в любых средствах или форматах, при условии, что вы должным образом указываете автора (авторов) и источник, предоставляете ссылку на лицензию Creative Commons и указываете, были ли внесены изменения. Изображения или другие материалы третьих сторон, включенные в статью, являются частью лицензии Creative Commons, если иное не указано в кредитной строке к материалу. Если материал не включен в лицензию Creative Commons статьи, и предполагаемое вами использование не разрешено законодательством или превышает разрешенное использование, вам потребуется получить разрешение непосредственно у правообладателя. Чтобы получить копию этой лицензии, посетите http://creativecommons.org/licenses/by/4.0/.

Перепечатки и разрешения
Об этой статье
Цитировать эту статью:
Velilla, L., AcostaBaena, N., Allen, I. et al. Analysis of family stigma and socioeconomic factors impact among caregivers of patients with early and lateonset Alzheimer's disease and frontotemporal dementia. Sci Rep 12, 12663 (2022). https://doi.org/10.1038/s41598022164002
Скачать цитирование
Получено: 11 ноября 2021 г.
Принято: 8 июля 2022 г.
Опубликовано: 25 июля 2022 г.
Версия записи: 25 июля 2022 г.
DOI: https://doi.org/10.1038/s41598022164002
Поделиться этой статьей
Любой, кому вы предоставите эту ссылку, сможет прочитать этот контент:
Получить ссылку для общего доступа
К сожалению, в настоящее время доступна только ссылка для общего доступа для этой статьи.
Скопировать ссылку для общего доступа в буфер обмена
Предоставлено инициативой Springer Nature по совместному использованию контента SharedIt

Эта статья цитируется

  • Harnessing artificial intelligence in Alzheimer's disease management: navigating ethical challenges in AI
    Fatemeh Habibi, Shadi Ghaderkhani, Hoora Kiamehr
    AI and Ethics (2025)

  • Alzheimer’s disease, aging, and cannabidiol treatment: a promising path to promote brain health and delay aging
    Yanying Liu
    Molecular Biology Reports (2024)

Короткие версии статей можно найти в телеграм-канале.

Посмотреть канал
Кликните еще раз для перехода

Вата мед. стерильная Pl 100 г — хирургическая, для перевязок

Стерильная медицинская хирургическая вата Pl, 100 г — незаменимый материал для обработки ран, перевя...

Компрессионные колготки для беременных Релаксан 140Den

Компрессионные колготки Релаксан Maternity для беременных созданы для максимального комфорта и подде...

Файн Экстракт Пальмы Сереноа — поддержка предстательной желе...

Файн Экстракт Пальмы Сереноа 390 мг №75 — натуральная добавка с экстрактом пальметто для поддержки з...

Тоналин КЛК 1300 мг Солгар – для похудения и контроля веса

Капсулы Тоналин КЛК 1300 мг от Солгар – эффективная добавка для контроля веса. Содержит конъюгирован...

Йод 5% спиртовой раствор 10 мл – антисептик

Йод 5% для наружного применения — антисептическое средство с выраженным противомикробным и прижигающ...

Акридерм ГК крем 30 г — лечение воспалений и грибка

Акридерм ГК крем — комбинированное средство для наружного применения с противовоспалительным, антиба...