Долгосрочные эффекты психотерапии для детей и родителей: исследование Child-Parent Psychotherapy (CPP) в Швеции

Долгосрочные эффекты психотерапии для детей и родителей: исследование Child-Parent Psychotherapy (CPP) в Швеции

Интересное сегодня

Как пары общаются с другими: совместная и параллельная речь

Как пары общаются с другими людьми В предыдущих статьях я рассматривала, как партнеры разговаривают ...

Как повысить уровень гражданской честности в Китае: уроки из...

Введение Гражданская честность является важным аспектом для развития общества. В данном исследовании...

Как мировоззрение влияет на удовлетворённость отношениями

Наши примальные убеждения о мире Более 8,2 миллиарда людей называют Землю своим домом. Это контекст ...

Как читать диаграмму «ящик с усами»: полное руководство

Что такое диаграмма «ящик с усами»? В описательной статистике диаграмма «ящик с усами» (англ. boxplo...

Анализ сигналов глазных трекеров: сравнение ретинальных, зра...

Связь вращения глазного яблока и сигналов айтрекера Вопрос о взаимосвязи физического вращения глазно...

Как детская травма влияет на мозг при ОКР: исследование акти...

Введение Обсессивно-компульсивное расстройство (ОКР) — это психическое заболевание, характеризующеес...

Фигура 1: Оцененные значения с доверительными интервалами посттравматических стрессовых симптомов у детей по шкале TSCYC
Фигура 1: Оцененные значения с доверительными интервалами посттравматических стрессовых симптомов у детей по шкале TSCYC
Фигура 2: Оцененные значения с доверительными интервалами посттравматических стрессовых симптомов у опекунов по шкале IES-R
Фигура 2: Оцененные значения с доверительными интервалами посттравматических стрессовых симптомов у опекунов по шкале IES-R
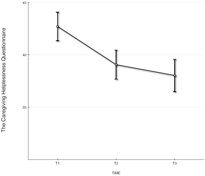
Фигура 3: Оцененные значения с доверительными интервалами признаков дезорганизации заботы по шкале CHQ
Фигура 3: Оцененные значения с доверительными интервалами признаков дезорганизации заботы по шкале CHQ
Фигура 4: Взаимодействие посттравматических стрессовых симптомов у ребенка и опекуна (TSCYC и IES-R)
Фигура 4: Взаимодействие посттравматических стрессовых симптомов у ребенка и опекуна (TSCYC и IES-R)
Thumbnail 1
Thumbnail 2
Thumbnail 3
Thumbnail 4
Оригинал исследования на сайте автора

Введение: Уязвимость детей к травме и ее последствия

Дети в возрасте до шести лет особенно подвержены травматическим событиям, таким как насилие в семье, жестокое обращение и потеря родителей. Из-за их зависимости от опекунов, интенсивного развития мозга и ограниченных когнитивных способностей, юные дети могут быть более уязвимы к негативным последствиям таких переживаний. Хотя большинство детей демонстрируют устойчивость, около 20% детей младше шести лет, подвергшихся травме, могут соответствовать критериям посттравматического стрессового расстройства (ПТСР).

Травматические события часто затрагивают как детей, так и их опекунов. Понимание влияния детской травмы в контексте отношений между родителем и ребенком имеет решающее значение. Качество привязанности играет важную роль в способности ребенка справляться с травматическими переживаниями. Длительный травматический стресс у опекунов может снижать их способность эффективно заботиться о ребенке, что, в свою очередь, может негативно сказаться на развитии ребенка.

Связь привязанности и травмы

Качество заботы и опыт привязанности передаются из поколения в поколение. Дезорганизованная привязанность, связанная с одним или обоими родителями, чаще встречается у детей, переживших травматические события. Такая привязанность увеличивает риск посттравматических симптомов и связана с менее благоприятными исходами в общем развитии ребенка.

Исследования показывают, что около 50% детей с симптомами травмы не восстанавливаются полностью и имеют стойкие нарушения. Однако большинство существующих методов терапии ориентированы на детей школьного возраста, и наблюдается недостаток данных о лечении травмы у детей младше пяти лет. Кроме того, качество исследований по лечению травмы у маленьких детей часто ограничено из-за малых размеров выборки и отсутствия данных о долгосрочных последствиях.

Травма-ориентированная психотерапия для маленьких детей

Несмотря на ограничения исследований, раннее вмешательство представляется важным для предотвращения негативных последствий развития у детей, переживших травму. Оно способствует позитивным изменениям в их межличностных отношениях, физическом и психическом здоровье.

Child-Parent Psychotherapy (CPP) как перспективный метод

Child-Parent Psychotherapy (CPP) — это один из методов, разработанных специально для травмированных младенцев, детей младшего возраста и их опекунов. Этот диадический (парный) метод терапии, ориентированный на травму, направлен на улучшение отношений между родителями и детьми, формирование безопасной привязанности и учет контекстуальных факторов, таких как семейные и культурные ценности.

CPP работает с травматическим стрессом как у опекунов, так и у детей, способствует регуляции эмоций, изменяет дезадаптивные ментальные представления и поведение. Центральное место в этом методе занимает совместное создание нарратива травмы для эмоциональной переработки негативного опыта и решения проблем в диадическом взаимодействии.

Долгосрочные эффекты травма-ориентированных вмешательств

Доказательная база о долгосрочной эффективности различных методов лечения ПТСР у маленьких детей недостаточна. Однако существующие исследования показывают устойчивые положительные результаты:

  • Снижение тревожности.
  • Улучшение поведения, снижение внешних и внутренних проблем.
  • Уменьшение симптомов ПТСР.
  • Снижение стресса у опекунов.

Тем не менее, встречаются и противоречивые результаты, указывающие на то, что снижение поведенческих проблем у детей после вмешательства может не сохраняться в долгосрочной перспективе. Таким образом, долгосрочные эффекты травма-терапии остаются не до конца ясными.

Проблемы с определением, кто получает наибольшую пользу

Неясно, какие именно дети получают наибольшую пользу от лечения в долгосрочной перспективе. Некоторые исследования показывают, что дети с более высоким уровнем внутриличностных и депрессивных симптомов до начала лечения могут получать меньшую пользу при последующем наблюдении. Другие исследования, напротив, указывают, что наибольшую пользу получают дети с наиболее тяжелыми симптомами травмы. Кроме того, большинство исследований долгосрочных эффектов фокусируются на детях школьного возраста, и лишь немногие включают детей младше пяти лет. Мало исследований оценивают реляционные аспекты или перспективы привязанности.

Долгосрочные эффекты Child-Parent Psychotherapy (CPP)

CPP является одним из немногих методов, специально разработанных для травмированных младенцев, детей младшего дошкольного возраста и их опекунов. Исследования показали положительные результаты после применения CPP в случаях таких травмирующих событий, как насилие в семье, жестокое обращение и травматическая утрата.

Рандомизированные контролируемые исследования (РКИ) показали, что у детей, подвергшихся насилию в семье, улучшение поведенческих проблем и материнских психиатрических симптомов сохранялось в группе CPP по сравнению с контрольной группой. Исследования также выявили, что дети, получавшие CPP, с большей вероятностью демонстрировали безопасную привязанность при последующем наблюдении, по сравнению с детьми, чьи опекуны получали психообразовательные интервенции или стандартные услуги.

Ключевые результаты исследований CPP:

  • Уменьшение поведенческих проблем, стресса, депрессии и симптомов ПТСР у детей.
  • Сохранение улучшений в отношении стресса, ПТСР и психиатрических симптомов у опекунов.
  • Формирование безопасной привязанности у детей, что связано с более высоким уровнем материнской теплоты, снижением детской злобы и проблемного поведения, а также с положительными межличностными отношениями.

Распространение CPP за пределами США ограничено, но исследования в Швеции показывают хорошую приемлемость метода как среди терапевтов, так и среди опекунов, а также положительные тенденции в психологическом благополучии и общем функционировании детей. Качественные исследования также сообщают о положительном развитии благополучия детей, их способностей к заботе и улучшении отношений между опекуном и ребенком после CPP.

Предсказатели и исходы лечения

Существует ограниченное понимание факторов, влияющих на эффективность психотерапевтического лечения, таких как индивидуальные особенности, для которых лечение работает (модераторы), и механизмы, через которые достигается эффект (медиаторы). Исследования травма-терапии для детей редко изучали модераторы исхода, вероятно, из-за малых размеров выборки, ограничивающих анализ.

Исследование модераторов и медиаторов

Исследования модераторов симптоматических изменений во время CPP показали, что улучшения в симптомах ПТСР у родителей были связаны со снижением симптомов избегания и возбуждения у их детей. Улучшения как у родителей, так и у детей были более выражены в парах с меньшим количеством жизненных стрессоров у родителей, меньшим количеством сеансов терапии и были более благоприятны для девочек, чем для мальков.

Факторы, влияющие на успех лечения:

  • Уровень травматических симптомов у ребенка до начала лечения.
  • Степень улучшения отношений с опекуном во время лечения.
  • Высокая степень травматического воздействия до начала лечения может положительно влиять на результат, приводя к большему снижению симптомов ПТСР и депрессии.

Однако связь между модераторами и медиаторами кажется неоднозначной и сложной, что затрудняет интерпретацию того, является ли фактор модератором или медиатором исхода, даже в исследованиях с большими выборками и РКИ. Тем не менее, выявление и понимание этих аспектов имеет важное значение для разработки методов лечения.

Цель и исследовательские вопросы

Данное исследование направлено на изучение долгосрочных эффектов CPP и возможных предикторов исхода у выборки маленьких детей и их опекунов через 6 месяцев после завершения терапии в шведских естественных клинических условиях.

Основные исследовательские вопросы:

  • Каков долгосрочный эффект CPP на посттравматические стрессовые симптомы у детей?
  • Каковы долгосрочные эффекты CPP на посттравматические стрессовые симптомы у опекунов и их восприятие признаков дезорганизации заботы в их отношениях с ребенком?
  • Каково предиктивное значение типа травматического воздействия на ребенка (межличностное против немежличностного), тяжести травматических симптомов и количества сеансов терапии на исход CPP?

Метод

Дизайн исследования

Дизайн исследования представлял собой одногрупповое исследование с измерениями до и после вмешательства, а также последующим наблюдением через 6 месяцев. Оценки проводились до начала терапии (T1), после ≤ 20 диадических сеансов (T2) и через шесть месяцев после завершения лечения (T3).

Участники

В исследовании приняли участие 37 детей (12 девочек и 25 мальчиков) и их опекуны (n=37), включая 24 биологических матери, 2 биологических отца и 11 матерей-опекунов. Возраст детей на начало терапии варьировался от 2 до 6 лет (среднее = 4,62, стандартное отклонение = 1,05).

Большинство детей (70%) подверглись межличностным травматическим событиям (например, насилие в семье, физическое и психологическое насилие). 62% детей подверглись немежличностным травматическим событиям (например, несчастные случаи, госпитализация, утрата). 73% детей жили в условиях неблагоприятных обстоятельств (например, длительная болезнь, развод родителей, злоупотребление алкоголем или проблемы с психическим здоровьем в семье).

Большинство детей (73%) подверглись четырем и более потенциально травматическим событиям.

Процедура

В исследовании приняли участие девять клиник, предлагающих лечение травмированных детей. Лечение проводилось сертифицированными специалистами по CPP или специалистами, проходящими обучение по CPP (N=22).

Опекуны давали письменное информированное согласие на участие. Дети, по мере возможности, также получали устную информацию и давали устное согласие. Опросники заполнялись опекунами в три этапа: до терапии (T1), после ≤ 20 сеансов (T2) и через 6 месяцев после завершения терапии (T3).

Общее количество диадических терапевтических сеансов варьировалось от 11 до 71 (среднее = 29,68). Данные собирались в период с 2017 по 2023 год.

Критерии включения и исключения

  • Критерии включения для детей: воздействие по крайней мере одного потенциально травматического события, наличие психиатрических симптомов, связанных с этими событиями, возраст от 1 до 6 лет на начало терапии.
  • Критерии включения для опекунов: быть не подвергшимся насилию опекуном, ответственным за повседневный уход за ребенком, способным участвовать в лечении и заполнять опросники.
  • Критерии исключения: отсутствие у ребенка необходимости в травма-ориентированном лечении или отказ юридического опекуна дать согласие на лечение.

Измерения

Для оценки посттравматических стрессовых симптомов у детей и опекунов, а также признаков дезорганизации заботы использовались три основных инструмента:

  • Trauma Symptom Checklist for Young Children (TSCYC): Опросник для родителей, оценивающий травматические симптомы у детей в возрасте 3-12 лет. Шкала общего посттравматического стресса включает подшкалы интрузии, избегания и возбуждения.
  • Impact of Event Scale-Revised (IES-R): Самоотчетный опросник для взрослых, оценивающий субъективное страдание, связанное с травмой. Состоит из трех подшкал: интрузия, избегание и гипервозбуждение.
  • Caregiving Helplessness Questionnaire (CHQ): Скрининговый инструмент для оценки дезорганизованной заботы у детей в возрасте 3-11 лет. Основан на концепции дезорганизованной заботы, характеризующейся нарушением защиты ребенка.

Все измерения проводились трижды: до терапии (T1), после терапии (T2) и через 6 месяцев после терапии (T3).

Анализ данных

Статистический анализ проводился с использованием SPSS Statistics. Для оценки изменений в симптомах в течение периода лечения и наблюдения применялись кусочно-линейные смешанные модели. Внутригрупповые размеры эффекта рассчитывались с использованием стандартизированных средних различий.

Отсев и пропущенные данные

Двенадцать пар (dyads) выбыли из исследования к T3. Пропущенные данные обрабатывались с помощью метода ограниченного максимального правдоподобия. Анализ показал, что отсев был, вероятно, случайным.

Результаты

Изменения в посттравматических стрессовых симптомах у детей

Оценка посттравматических стрессовых симптомов у детей по шкале TSCYC показала устойчивые положительные эффекты от T1 до T3. Наблюдалось снижение среднего балла по шкале общего посттравматического стресса. Процент детей с T-баллом ≥ 70 (указывающим на возможное ПТСР) снизился с 78% при T1 до 32% при T3.

Изменения в посттравматических стрессовых симптомах у опекунов

Оценка посттравматических стрессовых симптомов у опекунов по шкале IES-R также выявила устойчивые положительные эффекты от T1 до T3. Средний балл по шкале IES-R значительно снизился. Доля опекунов с баллом ≥ 1,8 (указывающим на возможное ПТСР) снизилась с 47% при T1 до 17% при T3.

Изменения в признаках дезорганизации заботы

Оценка признаков дезорганизации заботы по шкале CHQ также показала устойчивые положительные эффекты к T3. Средний балл по шкале CHQ значительно снизился, указывая на уменьшение признаков дезорганизованной заботы. Наблюдался средний размер эффекта изменения от T1 до T3.

Базовые предикторы исходов

Исследовались возможные предикторы исхода, включая тип травматического воздействия (межличностное против немежличностного), тяжесть травматических симптомов на базовом уровне (у ребенка и опекуна) и количество сеансов терапии. Значимых предикторов, связанных с типом травмы или количеством сеансов, не обнаружено.

Однако было выявлено значимое взаимодействие между базовыми симптомами ПТСР у ребенка (TSCYC) и фазой лечения (T1-T2). Более высокие базовые симптомы у ребенка предсказывали меньшее снижение симптомов травмы у опекуна во время фазы лечения. Это означает, что чем выше уровень травматических симптомов у ребенка до начала лечения, тем медленнее происходит улучшение у опекуна в этот период.

Важный вывод: У родителей детей с высоким уровнем симптомов ПТСР наблюдались более позитивные траектории восстановления во время периода наблюдения (T2-T3), что приводило к схожим конечным показателям. Однако эта разница не была статистически значимой, что может быть связано с недостаточной статистической мощностью из-за малого размера выборки.

Обсуждение

Данное исследование, проведенное в шведской выборке, изучало долгосрочную эффективность CPP через 6 месяцев после завершения терапии в естественных клинических условиях. Результаты подтверждают, что CPP демонстрирует устойчивые терапевтические достижения как у детей, так и у опекунов, в отношении посттравматических стрессовых симптомов. Также наблюдалось снижение признаков дезорганизации заботы.

Проведенное в новом социокультурном контексте, это исследование, несмотря на ограничения, добавляет поддерживающие доказательства предыдущим работам, показывая, что CPP может быть эффективным методом лечения для маленьких детей и их опекунов, переживших различные виды невзгод и травматических событий.

Сравнение с предыдущими исследованиями

Результаты текущего исследования отражают положительное долгосрочное влияние на привязанность между ребенком и опекуном, ранее продемонстрированное другими исследованиями. Важность безопасной привязанности для будущего здорового развития ребенка является хорошо установленным фактом. Целесообразность поддержки отношений между ребенком и опекуном подчеркивается в рекомендациях по лечению ПТСР.

В CPP улучшение диадической эмоциональной регуляции и создание совместного нарратива травмы являются примерами того, как достигается улучшение отношений привязанности. Поддерживая опекунов и детей в обмене травматическими переживаниями, болезненными эмоциями и развивая взаимную регуляцию, CPP может укрепить чувство безопасности и защиты для обеих сторон, улучшить общение и исправить конфликты, стресс и дисрегуляцию, часто связанные с травмой.

Клиническое значение и устойчивость эффектов

Данное исследование подтверждает долгосрочную стабильность положительных терапевтических исходов, отмеченных в предыдущем исследовании эффективности в шведском клиническом контексте. Устойчивые терапевтические эффекты CPP, предоставленные в естественном клиническом контексте, освещают возможность предоставления эффективных вмешательств, основанных на привязанности и информированных о травме, для маленьких детей с травматическими симптомами и их опекунов. Ранние вмешательства имеют решающее значение, поскольку маленькие дети особенно уязвимы к травматическим переживаниям и могут подвергаться риску значительных негативных последствий для развития.

Проблемы с предикторами исхода

Большинство детей в выборке имели высокую степень воздействия потенциально травматических событий и демонстрировали симптомы, указывающие на ПТСР. Ожидалось, что тип события (межличностное или немежличностное) или тяжесть травматических симптомов будут иметь предиктивное влияние на исход. Однако анализ не выявил таких ассоциаций. Эти взаимосвязи должны быть дополнительно изучены в будущих исследованиях, поскольку существующие исследования предикторов дают неубедительные результаты.

Исследовательские анализы, изучающие предикторы в текущем исследовании, не выявили значимых связей, кроме одной. Более высокая степень травматических симптомов у ребенка до начала лечения, по-видимому, предсказывает меньшее снижение травматических стрессовых симптомов у опекуна. Этот результат следует интерпретировать с осторожностью из-за малого размера выборки и отсутствия коррекции на множественные тесты значимости. Тем не менее, этот вывод может иметь клиническое значение: бремя травмы опекуна и его восстановление зависят от состояния ребенка.

Ограничения

Основным ограничением текущего исследования является малый размер выборки, что ограничивает статистический анализ и интерпретацию результатов. Тем не менее, полученные значимые результаты последовательны по всем мерам и подтверждают вывод о том, что положительные эффекты CPP являются устойчивыми во времени как для детей, опекунов, так и для их отношений.

Дополнительные ограничения

  • Отсутствие контрольной группы: Это затрудняет прямое сравнение эффективности CPP с другими методами лечения или отсутствием лечения.
  • Опора на отчеты опекунов: Это увеличивает риск систематической ошибки ответа (response bias), хотя это является распространенным ограничением в естественных исследованиях.
  • Непрямая оценка дезорганизации заботы: CHQ является скрининговым инструментом, и его надежность может быть ограниченной, особенно в новом социокультурном контексте. Требуется валидация инструмента в шведских условиях.
  • Оценка симптомов травмы у маленьких детей: TSCYC не валидирован для детей младше трех лет, хотя в исследовании участвовали дети этого возраста. Клинические пороговые значения для детей младше пяти лет неясны.
  • Более длительный период наблюдения: Более длительный период наблюдения мог бы способствовать более полному пониманию долгосрочных выгод.

Несмотря на указанные ограничения, естественный дизайн исследования повышает его внешнюю валидность и обобщаемость на аналогичные клинические контексты. Результаты исследования также указывают на необходимость дальнейшего распространения CPP в клинической практике Швеции.

Клинические последствия

Результаты исследования показывают, что CPP приносит пользу как травмированным детям и опекунам, так и их отношениям привязанности, и эта польза сохраняется после завершения терапии. Как положительные эффекты в виде снижения посттравматических стрессовых симптомов у детей и опекунов, так и признаки дезорганизованной заботы сохранялись через шесть месяцев после вмешательства.

Наблюдаемый предикторный эффект тяжести детской травмы на восстановление опекуна подчеркивает клиническую важность постоянного внимания к психическому здоровью опекуна при лечении маленьких детей, поскольку хронический травматический стресс может ограничивать способность к заботе. Этот вывод также подтверждает релевантность основного компонента CPP: помощи опекунам в осознании того, как их собственный жизненный опыт может влиять на родительское поведение и способность понимать и удовлетворять потребности их ребенка.

Естественный дизайн исследования отражает шведский клинический контекст и повышает применимость CPP для травмированных маленьких детей в шведских клиниках, предоставляющих психотерапевтическое лечение. Поскольку эффективные варианты лечения часто отсутствуют для маленьких детей, полученные результаты вселяют надежду на дальнейшее распространение метода. Стабильные положительные эффекты, указанные в исследовании, подтверждают ценность ранних вмешательств и могут предоставить ценные сведения для клиник, сталкивающихся с ограниченными ресурсами.

Короткие версии статей можно найти в телеграм-канале.

Посмотреть канал
Кликните еще раз для перехода

Семена тыквы 100 г купить – польза для здоровья и иммунитета

Семена тыквы 100 г – натуральный источник витаминов, микроэлементов и полезных масел для поддержания...

Терафлю Экстра Лимон №10 – средство от простуды и гриппа

Терафлю Экстра Лимон – комбинированное средство для быстрого облегчения симптомов простуды и гриппа....

Карипаин Ультра гель 30 мл для ухода за кожей

Карипаин Ультра гель для тела 30 мл — мягкое средство для заботы о коже в области суставов и мышц. Л...

Стикс Интим-Гель для душа 250 мл – интимная гигиена

Стикс Интим-Гель для душа 250мл бережно очищает и ухаживает за интимной зоной, сохраняя естественный...

Солгар Эстер-С Плюс Витамин С 500 мг — купить

Солгар Эстер-С Плюс — это запатентованная формула витамина С с усиленным составом. Капсулы 500 мг со...

Колготки компрессионные Relaxsan BASIC 140 den - от варикоза

Компрессионные колготки Relaxsan BASIC 140 den с давлением 18-22 мм рт. ст. обеспечивают поддержку п...