
Интересное сегодня
Латерализация функций мозга: как левое и правое полушария вл...
Латерализация функций мозга и специализация полушарий Латерализация функций мозга — это концепция, ...
Knowledge of Pre-eclampsia Among Pregnant Women in South Gon...
Общее введение С учетом растущей распространенности препеклампсии в клинических условиях и обществен...
Поведение собак с показателями, аналогичными АСР, влияет на ...
Введение в обобщение стимулов и АСР у собак Обобщение стимулов — это способность реагировать одинако...
Как осознанность в отношениях влияет на их качество и удовле...
Осознанность в отношениях: почему это важно? Как часто вы действительно осознаёте, что говорит ваш п...
Как стресс и депрессия во время беременности влияют на качес...
Введение Беременность — это период повышенной уязвимости для женщин, сопровождающийся не только горм...
Генетика и первый шаг малыша: что стоит за важным моментом
Введение Когда ребенок делает свои первые шаги без посторонней помощи, это становится значимым момен...
Введение
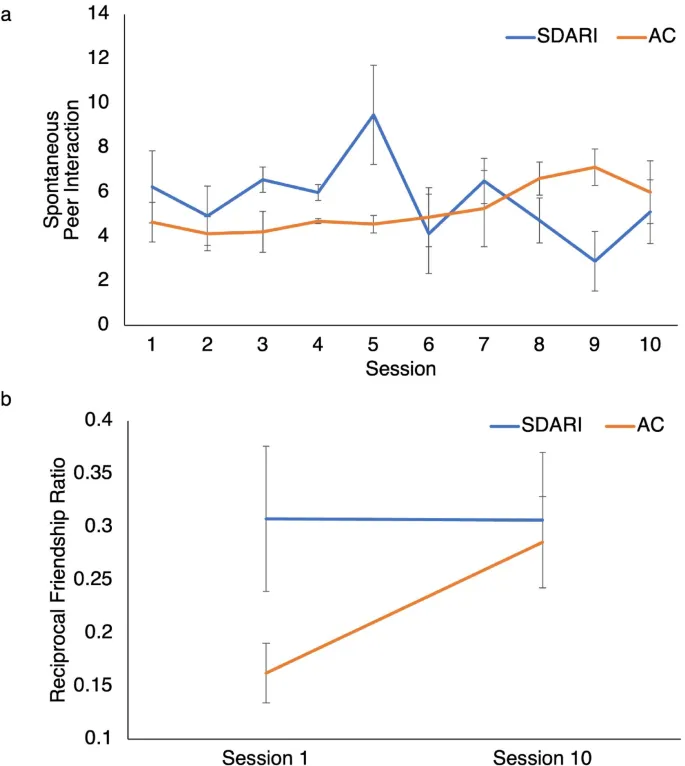
Групповые вмешательства для развития социальных навыков (GSSIs) являются одним из основных методов коррекции социальных трудностей у детей и подростков с расстройством аутистического спектра (РАС). Хотя такие программы демонстрируют умеренную эффективность, их результаты часто ограничены субъективными методами оценки, такими как отчеты родителей, которые могут быть подвержены эффекту ожидания.
Цели исследования
Данное исследование направлено на оценку специфических эффектов программы SocioDramatic Affective-Relational Intervention (SDARI) по сравнению с активным контрольным вмешательством (AC). Основное внимание уделялось объективным показателям, включая нейронные маркеры (N170), наблюдение за взаимодействием со сверстниками и оценку дружеских связей.
Методология
В исследовании приняли участие 55 детей с РАС (средний возраст — 12.4 года), которые были случайным образом распределены в группу SDARI или активного контроля (FACT). Обе программы включали 10 еженедельных сессий и были строго сопоставлены по структуре, возрасту, IQ и полу участников.
Оценка результатов
- N170: Задержка латентности N170 (измеряемая с помощью ЭЭГ) — биомаркер социальной обработки информации.
- Наблюдение за взаимодействием: Независимые наблюдатели фиксировали спонтанные социальные взаимодействия.
- Оценка дружбы: Участники указывали, с кем из группы они дружат.
- Отчеты родителей: Оценивались изменения в социальных навыках и поведении, связанном с аутизмом.
Результаты
По сравнению с контрольной группой, участники SDARI показали:
- Уменьшение задержки N170, что указывает на улучшение обработки социальной информации.
- Более быстрое установление взаимных дружеских связей.
- Увеличение позитивных взаимодействий со сверстниками.
Эффект ожидания родителей
Улучшения в отчетах родителей коррелировали с их восприятием принадлежности ребенка к группе SDARI, что подчеркивает важность учета субъективных факторов в исследованиях.
Обсуждение
Результаты подтверждают эффективность SDARI в улучшении объективных показателей социального функционирования у детей с РАС. Однако влияние программы на отчеты родителей может быть связано с эффектом ожидания, а не с реальными изменениями.
Ограничения и будущие исследования
- Необходимость более частого сбора данных ЭЭГ для уточнения динамики изменений.
- Изучение долгосрочных эффектов вмешательства.
- Разработка нейроразнообразных подходов, учитывающих индивидуальные особенности детей с РАС.