
Интересное сегодня
Разница между всю жизнь одинокими и состоящими в отношениях ...
ВведениеХотя быть замужем или в долгосрочных отношениях часто рассматривается как норма, все больше ...
Как бороться с дезинформацией о вакцинах: Новый метод на осн...
Введение в проблему дезинформации о вакцинах Дезинформация и ложная информация представляют собой с...
Как семантические связи между объектами и сценами влияют на ...
Введение Опыт подсказывает нам, какие объекты обычно встречаются в определенных сценах: в офисе мы о...
Эффективность тренировок осознанности и самосострадания для ...
ВведениеРасстройство аутистического спектра (РАС) — это распространенное нейроразвивающее состояние,...
Медитация и влияние на здоровье мозга: новая перспектива
Введение Проблема деменции и возрастного когнитивного снижения во всем мире растет из-за увеличения ...
Что такое настоящая любовь?
Введение Любовь не всегда является драматическим и потрясающим опытом, который мы видим в фильмах. Э...
Введение
Популярная культура часто превозносит силу интуиции. Альберт Эйнштейн называл интуитивное мышление "священным даром", а Стив Джобс приписывал свой революционный успех следованию внутреннему чутью. Это восхищение интуицией также отражается в широко известных примерах, таких как капитан Чесли "Салли" Салленбергер, который спас своих пассажиров, приняв мгновенное решение посадить поврежденный самолет на реку Гудзон. Популярно-научные книги, такие как бестселлер Малкольма Гладуэлла "Мгновение", дополнительно вознесли интуитивное мышление, казалось бы, поставив его на пьедестал.
В то же время нам постоянно напоминают о необходимости тщательно обдумывать решения, а не действовать на основе первого впечатления. Это противоречие поднимает фундаментальный вопрос: как мы на самом деле воспринимаем интуитивное и аналитическое мышление? Хотим ли мы, чтобы люди полагались на интуицию или анализ при рассуждении? С большей вероятностью ли мы доверяем советам человека, который полагался на интуицию, или того, кто потратил время на тщательное обдумывание?
Научный контекст
Десятилетиями когнитивная наука характеризовала человеческое мышление как взаимодействие быстрых интуитивных и медленных аналитических мыслительных процессов (часто называемых Системой 1 и Системой 2). Хотя эти исследования пролили свет на механизмы обеих систем, нам не хватает понимания того, как люди воспринимают и ценят эти различные modes мышления — что можно назвать "народной теорией" быстрого и медленного мышления.
Предпочтения в мышлении
Хотя люди могут предпочитать интуицию при принятии решений о субъективных выборах (например, выборе партнера), некоторые первоначальные исследования действительно свидетельствуют о том, что люди — даже с раннего возраста — generally склонны предпочитать анализ интуиции при решении более объективных, когнитивно сложных задач. Однако эта ранняя работа часто смешивает стиль мышления и точность. Люди могут предпочитать анализ, потому что верят, что он будет более точным. Но что, если мы знаем, что принимающий решение — опытный эксперт с высокой точностью?
Методология исследования
Для решения этих вопросов мы провели 13 исследований с использованием коротких виньеток. Каждая виньетка описывала стиль мышления человека (быстрая интуиция или медленный анализ) и прошлую точность (высокая, низкая или неуказанная). Участники затем оценивали качество мышления человека по 11-балльным шкалам.
Участники и процедура
Все человеческие участники были набраны на платформе Prolific Academic. Они дали информированное согласие перед участием в исследованиях. В каждом исследовании мы стремились набрать 240 участников. Этот размер выборки позволил нам обнаружить средние эффекты между интуитивными и аналитическими виньетками с мощностью 95%.
- Исследования 1-5 и 12-13: 240 участников в каждом
- Исследования 10-11: 480 участников в каждом (240 в каждом условии)
- Исследование 6: французские участники (n=240)
- Исследование 7: индийские участники (n=184)
Результаты
Общее предпочтение анализа
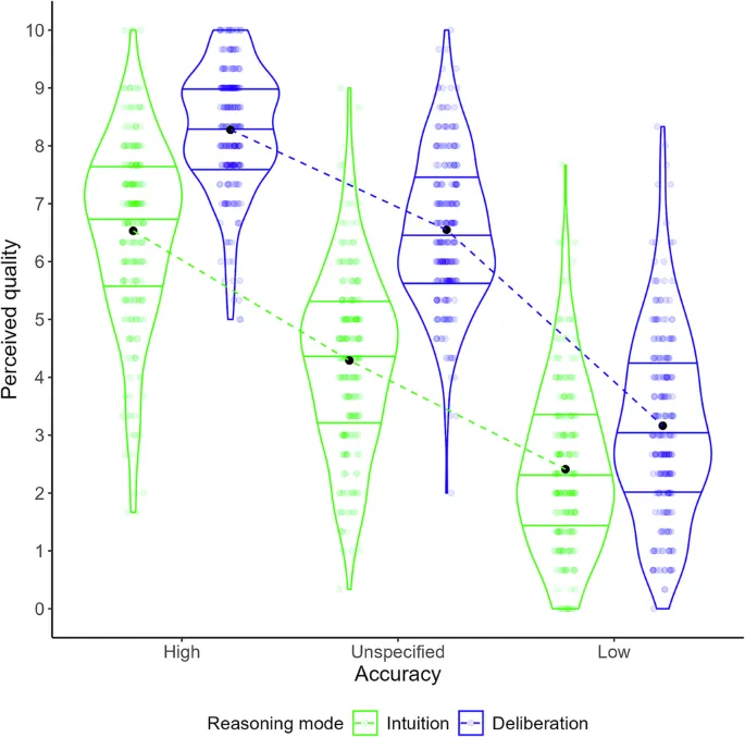
Как показано на Рисунке 1, участники consistently предпочитали мыслителей с высокой точностью тем, у кого точность была низкой, причем неуказанное условие находилось между ними, что указывает на эффективность манипуляции с точностью.
Более критично, наблюдался основной эффект Режима мышления и взаимодействие Режим мышления × Точность, указывающее на общее предпочтение аналитического мыслителя перед интуитивным, которое было strongest когда информация о точности отсутствовала и slightly ослаблено в условиях высокой и низкой точности.
Важно отметить, что предпочтение анализа никогда не исчезало и не менялось на противоположное и оставалось значимым across всех условий точности
Кросс-культурная устойчивость
Исследования 2-7 служили контрольными исследованиями для проверки устойчивости результатов. Все исследования воспроизвели основной паттерн из Исследования 1. Хотя информация о точности ослабляла предпочтение, участники consistently отдавали предпочтение анализу перед интуицией во всех условиях.
Языковые модели
В Исследованиях 8-9 мы протестировали, будут ли большие языковые модели (ChatGPT 3.5 и 4) отражать человеческие предпочтения. Обе модели ChatGPT produced паттерны ответов, поразительно похожие на ответы человеческих участников: последовательное предпочтение анализа перед интуицией.
Когнитивная природа предпочтений
Исследования 10-13 изучили когнитивную природу этого предпочтения. Ограничение анализа имело minimal impact на предпочтение анализа: участники consistently предпочитали анализ интуиции даже при значительных ограничениях.
Это suggests, что предпочтение анализа не зависит от аналитического reasoning, но является primarily интуитивным.
Обсуждение
Across 13 исследований мы находим robust предпочтение аналитического перед интуитивным мышлением, даже когда точность контролируется и участники находятся under временным pressure или когнитивной load.
Практические implications
Эта интуитивная связь между анализом и воспринимаемой надежностью имеет significant более широкие implications, поскольку suggests, что общественное доверие к принятию решений может быть readily cultivated, но также runs риск exploitation.
Это further extends к сфере искусственного интеллекта, где паттерны предпочтений, отраженные LLMs, suggest, что эти модели encoded человеческие тенденции favor аналитического мышления.
Ограничения
При рассмотрении более широких implications наших findings важно acknowledge определенные limitations наших исследований.
- Фокус на когнитивно сложных задачах
- Использование виньеточного подхода
- Относительно образованная выборка
- Культурные ограничения
В заключение, наши findings reveal robust, интуитивное предпочтение аналитического мышления, которое echoed в AI моделях типа LLMs. Это highlights неявное верование, associating анализ с надежным, вдумчивым мышлением, carrying implications для fostering общественного доверия while also presenting риски exploitation.