
Интересное сегодня
Психологическое здоровье спортсменов: адаптация и валидация ...
Введение Спортсмены сталкиваются с множеством психологических трудностей на пути к совершенству, вкл...
Путь к трансформационному росту: самосознание, ответственнос...
В нашем стремлении к благополучию мы часто ищем как свободу — жить в соответствии с нашим истинным «...
Вокальная неточность как ограничитель музыкальных ладов
Введение Одна из древнейших идей о происхождении музыки в западной культуре заключается в том, что м...
Дискриминация левшей: как воспринимается и измеряется
Около 10,6% людей — левши Согласно исследованию Пападату-Пасту и коллег (2020), примерно 10,6% насел...
Как социальная тревожность влияет на работу: признаки и спос...
Как социальная тревожность влияет на работу Социальная тревожность на рабочем месте может серьёзно о...
Как развить эмоциональный интеллект и улучшить качество жизн...
Введение Эмоционально интеллектуальные люди в целом более счастливы в жизни и более удовлетворены св...
Развитие процессов кормления и глотания у детей
Формирование навыков кормления и глотания происходит в младенчестве и раннем детстве (Delaney & Arvedson, 2008). Эффективный процесс кормления критически важен, так как закладывает основу для будущих взаимодействий и способствует выполнению developmental task of attachment (задачи привязанности) с основным caregiver (опекуном) (LeftonGreif, 2008; LeftonGreif & Arvedson, 2016).
Типы и проявления нарушений кормления
Проблемы с кормлением могут наблюдаться при complex medical conditions (сложных медицинских состояниях) и developmental disorders (нарушениях развития) (BryantWaugh et al., 2010), вызывая dysphagia (дисфагию) (Krishnan & Goswami, 2018). К характерным особенностям относятся:
- крайняя избирательность по типу, текстуре, бренду, форме или цвету пищи (Vissoker et al., 2015);
- плохие орально-моторные навыки у детей с неврологическими нарушениями;
- длительное время приёма пищи, отказ от еды, стрессовые ситуации во время еды (Kerzner et al., 2015).
Классификация нарушений кормления
Kerzner et al. (2015) выделили три основные категории:
- Сниженный аппетит
- Избирательное питание
- Тревога, связанная с кормлением
Методы оценки пищевого поведения
Для выявления проблем с кормлением используются специализированные опросники:
AutEat Questionnaire (AEQ)
Оценивает жевание, глотание, избирательность в еде и ритуальные паттерны кормления у детей с ASD (расстройствами аутистического спектра) (Gal et al., 2022).
Brief Autism Mealtime Behavior Inventory (BAMBI)
Измеряет пищевое поведение у детей с аутизмом (Lukens & Linscheid, 2008).
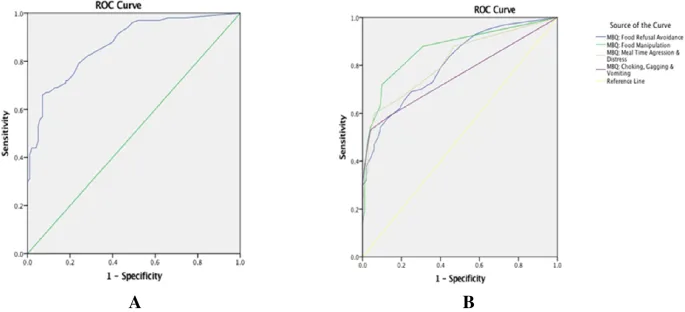
Mealtime Behavior Questionnaire (MBQ)
33-пунктовый опросник для родителей, оценивающий проблемное поведение во время еды (Berlin et al., 2010). Включает четыре шкалы:
- Отказ/избегание еды
- Манипуляции с едой
- Агрессия/стресс
- Поперхивание/рвота
Результаты исследования греческой версии MBQ
Исследование подтвердило высокую reliability (надёжность) и validity (валидность) греческой версии опросника. ROC-анализ показал AUC = 0.870 с оптимальным пороговым значением 57.00, что позволяет эффективно дифференцировать детей с типичным и нетипичным пищевым поведением.
Практические рекомендации
MBQ-GR может использоваться в:
- клинических условиях для раннего выявления проблем;
- образовательных учреждениях для мониторинга;
- планировании персонализированных вмешательств.
«Культурно адаптированные инструменты оценки, такие как MBQ-GR, играют ключевую роль в своевременном выявлении нарушений кормления»