Как смысловая структура событий влияет на память: исследование молодых и пожилых людей

Как смысловая структура событий влияет на память: исследование молодых и пожилых людей

Интересное сегодня

Как улучшение внешности стимулирует благотворительность

Введение Недавнее исследование из Тель-Авивского университета показывает, что улучшение внешности, б...

Эффективность четырехдневного лечения панического расстройст...

Введение Панические атаки могут быть крайне неприятными и вызывать интенсивный страх. Если вы испыты...

Влияние физических усилий и ценности объектов на внимание в ...

Введение Представьте себе ситуацию, когда вы опаздываете на работу и не можете вспомнить, где положи...

Влияние соотношения пальцев 2D:4D и социальных факторов на г...

Введение Соотношение длин второго и четвертого пальцев (2D:4D) часто используется как косвенный пока...

Как виртуальная реальность влияет на восприятие объектов: ро...

Введение Мультисенсорные переживания характеризуют нашу повседневную жизнь, включая сенсомоторные вз...

Нейробиология материнской реакции на детские эмоциональные в...

Введение Растущее количество нейробиологических исследований демонстрирует, что родительское поведен...

Рисунок 1
Рисунок 1
Рисунок 2
Рисунок 2
Рисунок 3
Рисунок 3
Рисунок 4
Рисунок 4
Рисунок 5
Рисунок 5
Thumbnail 1
Thumbnail 2
Thumbnail 3
Thumbnail 4
Thumbnail 5
Оригинал исследования на сайте автора

Влияние смысловой структуры событий на эпизодическую память: исследование у молодых и пожилых людей

Воспоминание о прошлом часто включает в себя построение повествований, связывающих различные события. Несмотря на то, что пожилые люди сохраняют временную организацию событий, остается неясным, влияет ли схожесть содержания между событиями на их воспроизведение так же, как и у молодых людей. Кроме того, неясно, является ли такое смысловое влияние постоянным во времени. В данном исследовании мы использовали натуралистический подход, включающий кодирование событий на основе видео и многократное воспроизведение в течение недели, чтобы изучить, как семантические отношения между событиями формируют память у молодых и пожилых людей. Повествования, описывающие содержание каждого видео, были преобразованы в сеть взаимосвязанных событий на основе смысловой схожести. Каждое событие было дополнительно разделено на центральные детали (существенные для сюжета) или периферийные детали (контекстная и перцептивная информация). Мы обнаружили, что схожесть содержания между событиями систематически влияла на воспроизведение в различных сессиях тестирования, и одинаково у молодых и пожилых людей. Более того, это преимущество смысловой структуры событий предсказывало количество центральных, но не периферийных деталей в повествованиях участников. Наконец, повторное извлечение стабилизировало воспроизведение в рамках отдельных лиц с течением времени, не способствуя конвергенции между лицами одной возрастной группы. Наши результаты подчеркивают необходимость использования натуралистических стимулов для понимания того, какие формы памяти сохраняются и предпочтительны в процессе старения.

Введение

Для изучения памяти в экологически валидном ключе исследователи все чаще используют структурированные повествования, такие как короткометражные фильмы и письменные рассказы, в качестве экспериментальных стимулов1,2. Считается, что эти повествования обеспечивают жизненный опыт как на этапе изучения в экспериментах по памяти, представляя последовательность событий, разворачивающихся во времени, так и на этапе воспроизведения, когда участники сохраняют повествовательную форму в своих воспоминаниях3,4. Предыдущие исследования, использующие этот натуралистический подход, предполагают, что люди сегментируют непрерывный опыт, устанавливая границы, соответствующие значимым сдвигам во времени, месте или контексте (например, при входе в другую среду или когда кто-то начинает разговор; для обзора см.5). Эти границы дискретизируют наш непрерывный опыт на события, которые затем могут быть воспроизведены и переданы другим (для обзора см.6). Такие события не только организованы темпорально, отражая порядок, в котором они разворачиваются со временем, но и взаимосвязаны через их содержание7,8, даже когда они временно удалены9.

Основываясь на этой структуре, недавнее исследование Ли и Чена1 изучило, как схожесть содержания между событиями в повествовании формирует воспроизведение памяти. Они выявили границы событий в непрерывном повествовании на основе описаний коротких фильмов, сделанных людьми-аннотаторами, и проанализировали полученные события на предмет их смысловой схожести. Они обнаружили, что события с большим количеством и более сильными связями с другими событиями — те, которые центральны для структуры и согласованности истории благодаря общему содержанию — лучше запоминались молодыми людьми сразу после кодирования1.

Исследования старения и памяти

Исследования старения, изучающие, обрабатывают ли пожилые люди общую структуру жизненных впечатлений аналогично молодым людям, в основном фокусировались на временных аспектах памяти событий и дали смешанные результаты10,11. Некоторые исследования показали сохранность временной организации при старении, такую как склонность к воспроизведению событий, закодированных близко во времени (временная контигуитет12), а также схожее восприятие границ событий, как у молодых людей, и сопоставимое влияние этих границ на воспроизведение13,14. Другие исследования подчеркнули возрастное снижение способности обрабатывать иерархическую и временную структуру событий5,15,16, например, выявив более индивидуалистическое определение границ событий у пожилых людей по сравнению с молодыми5,17. Таким образом, остается неясным, как воспроизведение памяти при старении подвержено влиянию смысловых связей между событиями, помимо их временной структуры1.

Исследования, изучающие содержание повествований пожилых людей, показали, что они склонны больше полагаться на суть или общий смысл опыта, тогда как молодые люди склонны воспроизводить воспоминания, богатые конкретной информацией о событиях (обзор в18). В частности, пожилые люди обычно описывают события, используя детали более высокого уровня, которые важны для сюжета и его общего смысла (часто называемые центральными или сюжетными деталями), при этом включая меньше дополнительных перцептивных и контекстных деталей более низкого уровня, которые обогащают повествования молодых людей (часто называемые периферийными или перцептивными деталями19,20,21,22,23). Таким образом, хотя пожилые люди могут вспоминать меньше перцептивных деталей, они сохраняют нарративную суть истории, как и молодые люди20. Возникает ли эта предпочтительность к сути со временем, по мере последующего воспроизведения опыта, или она также влияет на то, как эти переживания и история изначально обрабатываются, остается неясным. Несколько исследований показали, что индуцирование эпизодического или основанного на сути режима мышления при кодировании может модулировать забывание сути и детальной информации со временем23,24,25, указывая на то, что предпочтительность пожилых людей к подходу, основанному на сути, может влиять на то, как новые переживания сохраняются18.

Другим важным фактором, который может повлиять на качество воспроизведения повествования, является задержка между кодированием и воспроизведением. Помимо влияния старения, люди склонны сохранять суть опыта, забывая периферийные детали с течением времени21,26,27,28,29,30,31,78. Действительно, периферийные детали более низкого уровня имеют тенденцию забываться быстрее, чем центральные детали, в течение недели30,32 или месяца33,78. Однако активное проговаривание содержания повествования вскоре после кодирования, по-видимому, защищает эти периферийные детали от такого зависимого от времени распада30,34 и имеет тенденцию стабилизировать представления памяти, подобные сути32,35. Исследования, изучающие влияние структуры событий на отсроченное воспроизведение, ограничены и в основном сосредоточены на временных аспектах памяти событий. Предыдущие исследования показали, что способность идентифицировать границы событий в непрерывном опыте влияет на воспроизведение как сразу после кодирования36,37,38, так и после более длительных задержек, таких как неделя или месяц39. Однако мало что известно о том, как смысловые связи между событиями влияют на отсроченное и повторное воспроизведение.

Текущее исследование

Основная цель настоящего исследования заключалась в том, чтобы выяснить, получают ли пожилые люди аналогичную пользу от смысловой структуры событий, как и молодые люди1, непосредственно после кодирования и со временем. Мы использовали натуралистический подход, который включал кодирование событий на основе видео и многократное воспроизведение в течение недели. Повествования участников, описывающие содержание каждого видео, были преобразованы в сеть событий на основе смысловой схожести, что позволило учесть общую структуру опыта (как в1). Кроме того, каждое событие было разделено на детали, классифицированные как центральные, относящиеся к информации, необходимой для сюжета, или периферийные, относящиеся к перцептивной и контекстной информации, обогащающей повествование (как в30,32,33).

У нас было четыре основных прогноза.

  1. Во-первых, учитывая склонность пожилых людей полагаться на суть или общий смысл опыта при воспроизведении памяти (обзор в18), мы ожидали, что богатые семантические связи между событиями будут способствовать успешному воспроизведению у пожилых людей, как и у молодых1.
  2. Во-вторых, учитывая, что повторное извлечение стабилизирует представления памяти32,34,35, а способность сегментировать непрерывный опыт на события влияет на воспроизведение памяти до месяца спустя39, мы ожидали, что более центральные события будут последовательно воспроизводиться в различных сессиях тестирования, с повторным воспроизведением или без него, и одинаково во всех возрастных группах.
  3. В-третьих, мы предполагали, что события с большим количеством и более сильными связями будут описываться более подробно. В частности, мы ожидали, что события с более высокой центральностью, те, которые необходимы для общего смысла истории, такие как персонажи и основные события, будут описываться с большим количеством центральных или сюжетных деталей31. С другой стороны, существуют данные, свидетельствующие о том, что периферийные детали низкого уровня имеют тенденцию варьироваться больше, чем центральные элементы, между отдельными лицами40 и возрастными группами20, что подтверждает идею о том, что смысловая структура событий будет менее предсказуемой для воспроизведения периферийных деталей.
  4. В-четвертых, мы исследовали индивидуальные и групповые различия в последовательности воспроизведения в различных сессиях тестирования. Предыдущие работы, посвященные последовательности воспроизведения, в основном фокусировались на том, воспроизводятся ли одни и те же события в различных сессиях тестирования30,33, а не на текстовой схожести описаний повествований. На индивидуальном уровне мы ожидали, что каждый участник будет создавать похожие повествования в различных сессиях воспроизведения. Несколько исследований показали, что участники склонны описывать события, используя схожие предложения в различных случаях воспроизведения34,41, хотя эта закономерность систематически не количественно оценивалась. На групповом уровне мы исследовали, увеличивалась ли схожесть повествований, определяемая как степень перекрытия в выборе слов и формулировках, в различных сессиях тестирования внутри каждой возрастной группы. Из литературы вытекали две конкурирующие гипотезы. Во-первых, молодые люди могут демонстрировать большую схожесть, чем пожилые, из-за их большей способности воспроизводить конкретные детали, такие как дословная информация и перцептивные детали42,43, что приводит к более последовательным точным описаниям. Альтернативно, пожилые люди могут демонстрировать большую схожесть из-за их последовательного полагания на представления, основанные на сути, которые охватывают общий смысл или структуру событий, что приводит к меньшему разнообразию в производстве деталей при различных случаях воспроизведения. Лучшее понимание этих закономерностей последовательности повествований может дать представление о когнитивных механизмах, лежащих в основе реконструкции памяти в различных возрастных группах.

Методы

Участники

Тридцать один молодой и тридцать один пожилой человек были набраны через местный когорту и приняли участие в исследовании. Участники прошли скрининг на наличие неврологических и психиатрических расстройств, а пожилые люди прошли нейропсихологическую оценку глобальной когнитивной функции — Addenbrooke’s Cognitive Examination (ACE-III)44. Двое молодых людей были исключены, так как не завершили все сессии, еще один молодой человек и три пожилых человека были исключены из-за низкого качества аудиозаписи. Окончательная выборка составила 28 молодых (23 женщины, 5 мужчин; средний возраст = 26.37, стандартное отклонение = 5.22, диапазон: 20–34 года; среднее образование = 12.78, стандартное отклонение = 1.20) и 28 пожилых людей (22 женщины, 6 мужчин; средний возраст = 70.73, стандартное отклонение = 6.03, диапазон: 64–83 года; среднее образование = 12.26, стандартное отклонение = 1.01), сопоставимых по годам обучения. Все пожилые люди были когнитивно здоровы и соответствовали критериям отбора с оценкой ACE-III выше 88 (среднее = 96.51, стандартное отклонение = 2.46; см.45). Было получено одобрение этического комитета Школы психологии Университета Восточной Англии. Все участники предоставили информированное согласие до начала эксперимента и получили 12 фунтов стерлингов в час в качестве компенсации. Демографические данные, помимо возраста, пола и образования, не собирались, что ограничивает оценку обобщаемости для различных расовых и этнических групп.

Стимулы

Мы использовали 8 видео со звуком, извлеченных из короткометражных художественных фильмов, доступных на YouTube (www.YouTube.com). Средняя продолжительность этих видео составила 3.67 минуты (диапазон: 3.30–4.5 минуты). Видео изображали различные жизненные ситуации (например, папа и дочь собираются в парк) с участием как минимум одного главного персонажа, ведущего беседу с другими персонажами как в помещении, так и на улице. Более подробная информация о видео представлена в Дополнительной таблице 1.

Процедуры

Эксперимент состоял из трех отдельных онлайн-сессий, проведенных через Microsoft Teams. В первой сессии (день 1, продолжительность около 1.5 часов) участники просмотрели 8 видео, каждому из которых предшествовал заголовок (фаза кодирования). Видео были представлены с использованием Gorilla Experiment Builder46. Затем участники выполнили фазу немедленного воспроизведения, в ходе которой они вспоминали содержание 4 видео из исходного набора, с подсказкой в виде их названий. После 24-часовой задержки (день 2, продолжительность около 30 минут) участникам снова было предложено вспомнить те же 4 видео, которые они вспоминали накануне. Наконец, через 1 неделю после сессии кодирования (день 8, продолжительность около 1 часа) участникам было предложено вспомнить содержание всех 8 видео из исходного набора. Порядок представления видео в день 1 был псевдослучайным для всех участников. Выбор видео для многократного воспроизведения также был псевдослучайным, гарантируя, что каждое видео воспроизводилось одинаковое количество раз для всех участников. Порядок воспроизведения соответствовал исходному порядку кодирования.

Структура фазы кодирования

На этапе кодирования участникам сообщили, что они будут смотреть серию из 8 коротких видео. Им было предложено смотреть видео так, как они делали бы это в повседневной жизни; им было предложено обращать внимание на название каждого видео, и они были проинформированы о том, что их память о видео будет проверена впоследствии. Перед началом каждого видео название отображалось в течение 6 секунд. После просмотра каждого видео участников спрашивали, видели ли они это видео раньше и знакома ли им тема, изображенная в данном конкретном видео (шкала от 1 «совсем не знаком» до 5 «очень знаком»). Один участник ранее видел одно из видео, поэтому оно было исключено из анализа. Различий в оценках знакомства между молодыми и пожилыми людьми обнаружено не было (все p-значения > 0.51; см. Дополнительную таблицу 2).

Структура фаз воспроизведения

На этапах воспроизведения участникам предъявлялось название каждого видео, и их просили устно предоставить подробное описание его содержания («Я попрошу вас описать как можно более подробно некоторые из видео, которые вы видели раньше. Я дам вам название, а затем попрошу вас описать видео. Пожалуйста, постарайтесь пройти по видео сцена за сценой, описывая его как можно более подробно. Пожалуйста, опишите видео с названием «x»). После этого начального воспроизведения участникам было предложено дать более подробные пояснения, предоставив дополнительную информацию о видео («Есть ли что-нибудь еще, что вы можете вспомнить об этом видео?»). Наконец, участникам было предложено оценить, насколько подробной, по их мнению, была их память о видео (живость: от 1 «слабо детализировано» до 5 «высоко детализировано»), и насколько хорошо они помнили общий сюжет (содержание: от 1 «почти ничего» до 5 «почти все»). В последующих сессиях тестирования (день 2 и день 8) участникам дополнительно было предложено оценить, как часто они думали о видео вне сеанса тестирования (репетиция: от 1 «никогда» до 5 «почти каждый день»).

Подготовка данных

Сегментация и описание событий видео

В соответствии с процедурой, использованной в предыдущих исследованиях1,47, каждое видео было сегментировано на события (для примеров см. рис. 1 и Дополнительные материалы) Г.М. Каждое новое событие начиналось, когда исследователи обнаруживали сдвиги в повествовании, такие как местоположение, тема и время (границы событий). Затем каждое событие было дополнительно разделено на более мелкие подсобытия Г.М., при этом исследователь предоставлял подробное описание того, что произошло в каждом подсобытии, включая перцептивные детали, считавшиеся релевантными для истории. Количество и средняя продолжительность событий для каждого видео суммированы в Дополнительной таблице 2. Эти события, выявленные исследователем, использовались в качестве эталона для анализа повествований участников, в то время как описание событий служило для вычисления семантической центральности (см. раздел ниже «Семантическая нарративная сеть и семантическая центральность»). Для оценки надежности второй исследователь (Н.М.), не осведомленный о цели исследования, независимо определял границы событий в каждом видео, как для основных, так и для подсобытий. Два оценщика (Г.М. и Н.М.) определили схожее количество событий на видео (p = 0.98). Мы вычислили точность (долю границ одного оценщика, которые были отмечены другим), полноту (долю границ другого оценщика, которые были идентифицированы) и их гармоническое среднее (F1-оценка), при этом границы считались совпадающими, если они находились в пределах ± 1 секунды друг от друга, чтобы исследовать, показали ли оценщики также согласие по местоположению границ. Средняя F1-оценка составила 0.92 (SD = 0.11, диапазон = 0.71–1.00), а средняя временная разница между совпавшими границами составила 0.32 секунды (SD = 0.18 секунды), что указывает на то, что выявленные события были последовательно восприняты наблюдателями.

Оценка воспроизведения участников

Повествования участников записывались на аудио во время фаз воспроизведения. Эти записи затем автоматически транскрибировались (с использованием онлайн-версии Microsoft Word), а затем вручную редактировались. Каждый транскрипт сегментировался на предложения (исследователями Г.М. и К.С.), каждое из которых классифицировалось следующим образом: 1) событие: описания событий, присутствующих в видео; 2) ошибка: описания событий, отсутствующих в видео; 3) комментарий: общие комментарии о видео (включая суть или абстрактную информацию; например, «в видео две блондинки-сестры, одна занимается гимнастикой, другая нет»); и 4) другое: другие типы информации (например, повторения, метакогнитивные утверждения, предположения о потенциальных событиях, которые могли произойти в видео, и комментарии, не связанные с содержанием видео; например, «я думаю, здесь обрывается»). В настоящем исследовании мы сосредоточили анализ на сегментах событий.

Каждый идентифицированный сегмент события был разделен на более мелкие детали с целью лучшей характеристики содержания воспроизведения (как в21,30) исследователем Г.М. Каждая деталь была категоризирована как: (1) центральная деталь: развитие сюжета; (2) периферийная деталь: дополнительная описательная информация, включая перцептивную и контекстную информацию, присутствующую в видео (как в21,30; для примеров см. Дополнительный рис. S1). Для оценки надежности оценки 48 описаний видео (24 из каждой возрастной группы) были случайным образом выбраны и независимо оценены исследователем Л.Р., который не знал о возрастной группе. Межрейтинговая надежность, рассчитанная с использованием коэффициента внутриклассовой корреляции (ICC; двусторонний, модель со случайными эффектами), выявила согласованность между типами деталей (центральные детали = 0.88; периферийные детали = 0.85).

Анализ данных

Общая эффективность воспроизведения по сессиям

Мы оценили общую эффективность воспроизведения (т.е. смогли ли участники вспомнить правильное видео по соответствующему названию) видео по сессиям тестирования. Мы провели логистическую смешанную модель для воспроизведения видео (зависимая переменная; 1 = видео воспроизведено, 0 = видео не воспроизведено), с возрастной группой (молодые против пожилых) и сессией воспроизведения (день 1, день 2 и день 8) в качестве фиксированных факторов. Здесь и во всех последующих моделях, включающих сессию воспроизведения в качестве фиксированного фактора, учитывались только видео, которые участники вспоминали несколько раз. Мы также провели логистическую смешанную модель для воспроизведения видео через 1 неделю после кодирования, с возрастной группой и типом воспроизведения (многократное против однократного) в качестве фиксированных факторов. Чтобы учесть индивидуальные различия и потенциальную вариабельность между видео, индивидуальные участники и видео были включены в качестве случайных эффектов во всех описанных моделях. Мы исследовали основные эффекты и двусторонние взаимодействия (возрастная группа × сессия воспроизведения; возрастная группа × тип воспроизведения) во всех моделях.

Затем мы оценили долю воспроизведенных событий по сессиям для запомненных видео. Мы провели логистическую смешанную модель для воспроизведения событий (зависимая переменная; 1 = событие воспроизведено, 0 = событие не воспроизведено) с возрастной группой (молодые против пожилых) и сессией воспроизведения (день 1, день 2 и день 8) в качестве фиксированных факторов. Мы также провели логистическую смешанную модель для воспроизведения событий через 1 неделю после кодирования с возрастной группой и типом воспроизведения (многократное против однократного) в качестве фиксированных факторов.

Для оценки доли деталей, произведенных для описания воспроизведенных событий, мы провели Пуассоновские смешанные модели для производства деталей (отдельно для центральных и периферийных деталей) с возрастной группой (молодые против пожилых) и сессией воспроизведения (день 1, день 2 и день 8) в качестве фиксированных факторов. Мы также провели Пуассоновские смешанные модели для производства деталей через 1 неделю после кодирования, с возрастной группой и типом воспроизведения (многократное против однократного) в качестве фиксированных факторов.

Наконец, мы проанализировали субъективные оценки репетиции, живости и содержания. Оценки репетиции коррелировали с долей воспроизведенных событий, используя корреляции Пирсона, чтобы исследовать, повлияло ли обдумывание видео между сессиями тестирования на эффективность памяти. Живость и содержание были проанализированы с помощью линейных смешанных моделей с возрастной группой (молодые против пожилых) и сессией воспроизведения (день 1, день 2 и день 8) в качестве фиксированных факторов. Мы также провели линейные смешанные модели для оценок живости и содержания для видео, воспроизведенных через 1 неделю после кодирования, с возрастной группой и типом воспроизведения (многократное против однократного) в качестве фиксированных факторов.

Семантическая нарративная сеть и семантическая центральность

Для оценки и визуализации нарративной структуры видео мы использовали методологию, разработанную Ли и Ченом (2022), проиллюстрированную на рис. 1. Мы преобразовали каждое видео в сеть связанных событий, используя описания событий исследователем, выявляющие основные сдвиги в сюжете (см. раздел «Сегментация и описание событий видео»). Мы использовали Universal Sentence Encoder (USE) от Google48, модель обработки языка, построенную на TensorFlow (https://www.tensorflow.org), для кодирования аннотаций для каждого события в видео в высокоразмерные векторы. Это позволило вычислить смысловую схожесть между парами событий путем расчета косинусного сходства между векторами USE пар событий в видео. Семантическая сеть для каждого видео была построена с событиями внутри видео, представленными как узлы, связями между событиями — как ребра, а весами ребер — смысловым сходством. Затем мы вычислили семантическую центральность событий в видео как степень каждого узла (сумма весов всех ребер, присоединенных к узлу), нормализованную по сумме степеней, а затем z-оцененную внутри каждого видео (см. Дополнительный рис. 2 для сети для каждого события). По сути, чем многочисленнее и сильнее были связи события с другими событиями, тем более центральным оно считалось в рамках нарративной структуры. Семантические нарративные сети и семантическая центральность были рассчитаны с использованием интерфейса Spyder (версия 5.2.2) для Python (версия 3.9) и пакетов Numpy 1.21.5, tensorflow 2.10.0 и Statsmodels 0.13.2. Все остальные анализы проводились в R (версия 4.2.3) с использованием пакетов lme4, tidyverse и rstatix.

Семантическая центральность и вероятность воспроизведения событий

Для изучения влияния семантической центральности на эффективность воспроизведения в различных сессиях тестирования мы провели серию логистических смешанных моделей (отдельно для каждой сессии воспроизведения) с тестами Хи-квадрат Вальда типа III по успеху воспроизведения для каждого события (1 = воспроизведено, 0 = не воспроизведено), с возрастной группой (молодые против пожилых) и нормализованной семантической центральностью в качестве фиксированных эффектов. Чтобы учесть потенциальную дополнительную вариабельность, мы включили индивидуальных участников и видео в качестве случайных эффектов в наши модели.

Семантическая центральность и производство деталей

Затем мы исследовали, предсказывается ли количество деталей, произведенных для описания события, семантической центральностью соответствующего события. Мы провели серию логистических смешанных моделей (отдельно для каждой сессии воспроизведения) по производству деталей (отдельно для центральных и периферийных деталей) с возрастной группой (молодые против пожилых) и нормализованной семантической центральностью в качестве фиксированных эффектов. Индивидуальные участники и видео были включены в качестве случайных эффектов в наши модели.

Коэффициент Жаккара воспроизведения событий по сессиям и участникам

Мы были заинтересованы в изучении дословного воспроизведения памяти в течение нескольких сессий воспроизведения, поэтому мы использовали индекс Жаккара, который количественно определяет степень перекрытия в использовании слов между описаниями событий, сравнивая уникальные слова, общие для предложений. В отличие от мер смысловой схожести, таких как Universal Sentence Encoder (USE), индекс Жаккара чувствителен к точному повторению слов. Показатели Жаккара варьируются от 0 (нет общих слов) до 1 (полное совпадение слов). Первый анализ был направлен на оценку того, насколько последовательным было воспроизведение каждого участника в различных сессиях. Высокие значения Жаккара указывают на то, что участники использовали схожие слова для описания одних и тех же событий в различных сессиях, отражая последовательность повествования со временем. Мы построили линейную смешанную модель для предсказания специфической для события схожести Жаккара, с сравнением сессий (день 1–2, день 2–8 и день 1–8) и возрастной группой (молодые против пожилых) в качестве фиксированных факторов. Индивидуальные участники и видео были включены в качестве случайных эффектов.

В то время как первый анализ был сосредоточен на последовательности внутри отдельных лиц, второй анализ был направлен на исследование того, насколько схоже события описывались различными участниками в пределах каждой возрастной группы. Для каждого события мы вычислили значения схожести Жаккара по описаниям, созданным всеми участниками, которые его воспроизвели, отдельно для каждой возрастной группы. Эти значения схожести затем усреднялись по всем парам участников в пределах каждой возрастной группы. Обратите внимание, что каждое событие было воспроизведено по крайней мере 3 участниками в каждой возрастной группе (см. Дополнительную таблицу 3 для более подробной информации). Высокие значения Жаккара указывают на то, что участники в пределах возрастной группы использовали схожие слова для описания одних и тех же событий, отражая последовательность повествования между индивидами. Мы построили линейную смешанную модель для предсказания схожести Жаккара с сессией (день 1, день 2 и день 8) и возрастной группой (молодые против пожилых) в качестве фиксированных факторов. Отдельные события были включены в качестве случайного эффекта в модель.

Результаты

Общее поведение воспроизведения у молодых и пожилых людей по сессиям тестирования

Для общего обзора поведения воспроизведения участников мы сначала изучили количество видео, событий и деталей, которые были воспроизведены по возрастным группам и сессиям тестирования. Таблица 1 показывает среднюю долю воспроизведенных видео и событий участниками, а Таблица 2 представляет среднее количество центральных и периферийных деталей, произведенных участниками для описания запомненных событий в видео, а также средние значения субъективных оценок живости и содержания.

Воспроизведение видео

Модель, оценивающая долю воспроизведенных видео по сессиям (день 1, день 2 и день 8), не выявила основных эффектов возрастной группы и сессии, а также никаких взаимодействий между этими факторами (все p-значения > 0.97; см. методы для деталей, и Таблица 1 для средних значений). В отличие от этого, модель, оценивающая воспроизведение видео через 1 неделю после кодирования, показала основной эффект типа воспроизведения: участники вспоминали больше видео, которые были воспроизведены несколько раз в предыдущих сессиях, по сравнению с теми, которые были воспроизведены только один раз (β = −2.89, SE = 1.08, χ2(1) = 40.75, 95% CI [−5.00, −0.78], p = 0.007). Основных эффектов возрастной группы или взаимодействия с типом воспроизведения не было обнаружено (все p-значения > 0.55; см. Таблица 1 для средних значений). Эти результаты указывают на то, что повторное извлечение улучшает долгосрочное воспроизведение видео как у молодых, так и у пожилых людей.

Воспроизведение событий в видео

Логистическая смешанная модель, изучающая воспроизведение событий в различных сессиях тестирования, показала, что молодые и пожилые люди вспоминали схожее количество событий в пределах запомненных видео (p = 0.23; см. Таблица 1 для средних значений). Доля воспроизведенных событий также не коррелировала с оценками репетиции, которые отражали, как часто участники думали о видео вне сессии тестирования (все p-значения > 0.34). В отличие от этого, логистическая смешанная модель для воспроизведения событий через 1 неделю после кодирования выявила основной эффект типа воспроизведения (β = −1.08, 95% CI [−0.24, −0.93], z = 13.56, p < 0.15; см. Таблица 1 для средних значений). Кроме того, мы обнаружили положительную корреляцию между оценками репетиции и долей воспроизведенных событий для видео, воспроизведенных только один раз через 1 неделю, как у молодых (r(109) = 0.30, p = 0.001, 95% CI [0.12, 0.46]), так и у пожилых (r(110) = 0.37, p < 0.13). Пуассоновская смешанная модель, изучающая количество центральных деталей, воспроизведенных через 1 неделю после кодирования, выявила незначительный основной эффект возрастной группы (β = 0.21, SE = 0.11, χ2(1) = 3.55, 95% CI [0.01, 0.43], p = 0.06), с тенденцией к тому, что молодые люди сообщают о большем количестве центральных деталей, чем пожилые, и основной эффект типа воспроизведения (β = −0.61, SE = 0.04, χ2(1) = 184.10, 95% CI [−0.69, −0.52], p < 0.16; см. Таблица 2 для средних значений), указывая на схожее производство периферийных деталей у молодых и пожилых людей. Пуассоновская смешанная модель для количества периферийных деталей, произведенных через 1 неделю после кодирования, выявила значительное взаимодействие между группой и типом воспроизведения (β = 0.15, SE = 0.06, χ2(1) = 5.70, 95% CI [0.03, 0.27], p = 0.02), поскольку молодые люди предоставляли больше периферийных деталей, чем пожилые, для видео, воспроизведенных несколько раз (t(168) = −2.93, 95% CI [6.65, 1.30], p = 0.01), и особенно для видео, воспроизведенных только один раз (t(164) = –3.44, 95% CI [5.37, 1.45], p = 0.001; см. Таблица 2 для средних значений).

Субъективные оценки

Мы исследовали, оставались ли субъективные оценки живости (насколько детализированной, по мнению участников, была их память) и содержания (насколько хорошо они помнили сюжет) стабильными во времени у молодых и пожилых людей, аналогично более объективным показателям воспроизведения памяти, представленным выше. Модель, оценивающая живость по сессиям тестирования, выявила значительный эффект сессии (день 2: β = −0.33, SE = 0.10, χ2(1) = 40.66, 95% CI [−0.52, −0.14], p < 0.31; см. Таблица 2 для средних значений). Модель, оценивающая живость через 1 неделю после кодирования, выявила значительный эффект типа воспроизведения (β = −1.43, SE = 0.11, χ2(1) = 157.09, 95% CI [−1.65, −1.20], p < 0.09; см. Таблица 2 для средних значений).

Аналогично, модель, оценивающая оценки содержания по сессиям тестирования, выявила значительный эффект сессии (день 2: β = −0.42, SE = 0.10, χ2(1) = 59.37, 95% CI [−0.61, −0.22], p < 0.09; см. Таблица 2 для средних значений). Модель, оценивающая оценки содержания через 1 неделю после кодирования, показала значительный эффект типа воспроизведения (β = −1.48, SE = 0.11, χ2(1) = 179.16, 95% CI [−1.69, −1.26], p < 0.09; см. Таблица 2 для средних значений).

Семантическая центральность аналогично предсказывает долю событий, воспроизведенных по сессиям у молодых и пожилых людей

Одной из основных целей этого исследования было выяснить, по-разному ли влияла структура событий, в частности их семантическая центральность в повествовании, на воспроизведение памяти у молодых и пожилых людей в различных сессиях. Логистические смешанные модели вероятности воспроизведения событий (см. методы для деталей) показали, что семантическая центральность последовательно предсказывала вероятность воспроизведения непосредственно после кодирования (день 1: β = 0.28, SE = 0.05, χ2(1) = 31.78, 95% CI [0.18, 0.38], p < 0.24). Чтобы исключить возможность того, что незначительное взаимодействие между возрастной группой и семантической центральностью было связано с низкой статистической мощностью, мы провели пост-hoc анализ мощности на основе симуляции. Мы сгенерировали симулированные наборы данных, которые соответствовали размеру выборки, дизайну и вариабельности нашего исследования, и предположили, что истинный эффект взаимодействия равен размеру эффекта, который мы фактически наблюдали. Результаты показали практически нулевую вероятность обнаружения взаимодействия (0.00% мощности, 95% CI [0.00, 0.37]). Эта закономерность предполагает, что отсутствие значительных взаимодействий между возрастом и центральностью — это не просто результат ограниченного размера выборки, а скорее отражение того, что любые истинные возрастные различия в эффектах центральности незначительны. В совокупности эти результаты указывают на то, что семантическая центральность аналогично предсказывает вероятность воспроизведения как у молодых, так и у пожилых людей с течением времени и в различных сессиях (см. рис. 2A–D).

Семантическая центральность аналогично предсказывает производство центральных деталей по сессиям у молодых и пожилых людей

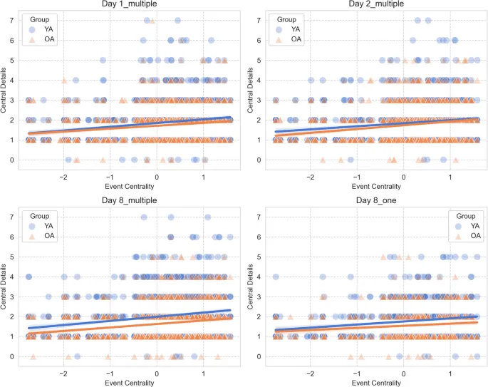
Мы исследовали, предсказывает ли семантическая центральность события уровень центральных деталей, с которыми описывается событие, используя серию обобщенных линейных смешанных моделей (см. методы для деталей). Мы обнаружили, что семантическая центральность положительно предсказывала количество центральных деталей непосредственно после кодирования в день 1 (β = 0.09, SE = 0.02, χ2(1) = 12.94, 95% CI [0.06, 0.13], p < 0.47), указывая на то, что, хотя молодые люди склонны вспоминать больше центральных деталей, чем пожилые, семантическая центральность одинаково предсказывала количество произведенных центральных деталей независимо от возраста участников (см. рис. 3A–D).

Семантическая центральность не предсказывает производство периферийных деталей

Мы исследовали, предсказывает ли семантическая центральность события производство более мелких периферийных деталей, перцептивных и контекстных деталей, которые, хотя и не являются существенными для сюжета, украшают повествование. Серия обобщенных линейных смешанных моделей для производства периферийных деталей (см. методы для деталей) показала, что семантическая центральность не предсказывала количество периферийных деталей по сессиям (все p-значения > 0.17; см. рис. 4). Взаимодействие между группой и семантической центральностью было значимым только в день 1 (β = 0.10, SE = 0.04, χ2(1) = 6.81, 95% CI [0.02, 0.17], p = 0.01; см. рис. 4A). Пост-hoc анализ простых наклонов показал, что для дня 1 эффект семантической центральности на количество воспроизведенных периферийных деталей был значимым у молодых людей (β = 0.10, SE = 0.03, 95% CI [0.05, 0.15]), но не у пожилых (β = 0.003, SE = 0.03, 95% CI [−0.05, 0.05]).

Схожесть воспроизведения в сессиях тестирования и между участниками у молодых и пожилых людей

Мы проанализировали последовательность повествований участников во времени, вычислив коэффициенты Жаккара между описаниями воспроизведения событий внутри каждого участника по сессиям воспроизведения. Линейная смешанная модель для средней схожести Жаккара показала основной эффект сессии воспроизведения (день 1–8: β = −0.02, SE = 0.005, χ2(1) = 133.21, 95% CI [−0.03, −0.01], p < 0.53), указывая на то, что последовательность повествований участников во времени была сопоставима между возрастными группами.

На групповом уровне мы исследовали, стали ли повествования участников более схожими между индивидами в пределах каждой возрастной группы со временем. Это позволило нам исследовать, в какой степени представления памяти сходятся между людьми одной возрастной группы посредством повторного извлечения или отсроченного воспроизведения. Увеличение схожести предполагало бы, что со временем индивидуальные воспоминания могут выравниваться с более социально разделяемыми или обобщенными представлениями, в то время как стабильная или уменьшающаяся схожесть может указывать на сохранение индивидуалистических стилей воспроизведения или возрастных стратегий воспроизведения. В частности, мы вычислили коэффициенты Жаккара между описаниями событий, отдельно для каждой сессии и возрастной группы. В целом, средние значения схожести Жаккара между участниками в пределах каждой сессии были ниже, чем схожесть внутри участников по сессиям (рис. 5A, B), что указывает на большую последовательность повествований на индивидуальном уровне. Линейная смешанная модель снова выявила только основной эффект возрастной группы (β = −0.02, SE = 0.003, χ2(1) = 4.49, 95% CI [−0.02, −0.01], p < 0.10).

Обсуждение

В настоящем исследовании мы изучили воспроизведение повествований у молодых и пожилых людей с целью проверить, одинаково ли обе возрастные группы выигрывали от смысловой структуры истории, основанной на межсобытийных связях, и от повторного воспроизведения. Участники просмотрели различные видео, изображающие жизненные ситуации, а затем воспроизводили содержание непосредственно после кодирования (день 1), через один день (день 2) и через 1 неделю (день 8 — многократное воспроизведение). Важно отметить, что половина видео воспроизводилась в различных сессиях, а другая половина — только через 1 неделю (день 8 — однократное воспроизведение). Повествования участников были преобразованы в семантические сети, где события служили узлами, связанными ребрами, отражающими их смысловое сходство. Повествования участников также были оценены с учетом производства деталей в рамках событий, разделяя элементы, которые были центральными для сюжета, и периферийные детали (контекстная и перцептивная информация). Наши результаты показывают, что схожесть содержания между событиями в повествованиях систематически влияла на воспроизведение не только непосредственно после кодирования, но и в различных сессиях, и одинаково у молодых и пожилых людей. Более того, семантическая структура событий последовательно предсказывала количество центральных, но не периферийных деталей, включенных в повествования участников.

Семантическая центральность влияет на поведение воспроизведения

Наши результаты расширяют предыдущие исследования, показывающие, что события с более высокой семантической центральностью, указывающей на большее количество и более сильные связи с другими событиями в повествовании, с большей вероятностью воспроизводились не только непосредственно после кодирования (как в1), но и в течение недели. Предыдущие работы показали, как структура события играет роль в организации информации в согласованные повествования, поскольку участники с лучшими способностями к сегментации событий также демонстрировали лучшее воспроизведение памяти после периода консолидации9,39. Наши результаты дополняют эти наблюдения, показывая, что семантические связи между событиями, помимо их временной близости, также влияют на то, как воспоминания воспроизводятся. Эти выводы совпадают с исследованиями, сообщающими, что семантически хорошо связанные информация (для обзора см.49) и события, следующие узнаваемому сценарию50, лучше запоминаются. Отсутствие возрастных различий, которое мы наблюдали здесь, согласуется с данными о том, что пожилые люди сохраняют временную организацию событий в своих повествованиях12,14,51,52 и выигрывают от смысловой связанности во время кодирования и воспроизведения, демонстрируя благоприятное влияние на эффективность эпизодической памяти, когда стимулы взаимосвязаны52,53. Это предполагает, что семантическая центральность является сильным предиктором воспроизведения жизненных впечатлений, которое остается постоянным на протяжении всей жизни. Кроме того, важность смысловой связанности в настоящем исследовании, возможно, была увеличена характером используемых стимулов. Действительно, выбранные видео описывали обычные жизненные сценарии, которые, вероятно, позволили участникам обеих возрастных групп полагаться на предварительные знания схемы49,54.

Наши результаты также показали, что события с более высокой семантической центральностью воспроизводились с большим количеством центральных деталей, определенных как основные элементы для согласованности повествования55,56. Предыдущие работы указывали на то, что центральные события с наибольшей вероятностью воспроизводятся1 и устойчивы к забыванию в течение недели30. Наше исследование дополняет эти выводы, показывая, что события, центральные для сюжета, воспроизводятся с большим количеством деталей, необходимых для поддержания согласованности повествования (таких как основные персонажи и их действия).

Производство периферийных деталей, с другой стороны, казалось, меньше подвержено центральности события в сюжете. Предыдущие исследования сообщали, что периферийные детали, отражающие более мелкую контекстную и перцептивную информацию, имеют тенденцию забываться быстрее[30,33,57,58,59,60] и имеют тенденцию варьироваться больше между отдельными лицами40 и возрастными группами20 по сравнению с информацией, которая является существенной для сюжета (центральные детали). Следовательно, одна из возможностей заключается в том, что периферийные детали производятся для украшения повествования, и поэтому они более тесно связаны с индивидуальным стилем повествования, чем с семантической структурой повествования61; см. также62).

Воспроизведение памяти по сессиям и участникам

Наконец, воспоминания участников были последовательными в течение повторных сессий воспроизведения, если учитывать долю событий и деталей, воспроизведенных во времени. Мы обнаружили, что повторное проговаривание увеличивало доступность основных событий и деталей, ранее воспроизведенных, как показали более центральные и периферийные детали, произведенные для видео, воспроизведенных несколько раз, чем только один раз. Эта закономерность результатов подчеркивает благоприятное влияние активного повторного извлечения на укрепление представлений памяти30,34 и на увеличение их последующей доступности63,64. Интересно, что мы не обнаружили возрастных различий в этом преимуществе повторного извлечения. Некоторые предыдущие исследования предполагали, что тренировка извлечения может быть более полезна молодым людям, чем пожилым65,66. Отсутствие возрастных различий в нашем исследовании может быть связано с конкретными используемыми стимулами. Хотя возрастные различия могут проявиться при использовании лабораторных стимулов, использование натуралистических стимулов, таких как видео, изображающие обычные жизненные ситуации при кодировании, может улучшить показатели пожилых людей67, поскольку они могут полагаться на предварительные знания для поддержки воспроизведения (для обзора см.54).

Мы также наблюдали небольшое увеличение памяти о периферийных деталях на днях 2 и 8 по сравнению с немедленным воспроизведением. Такое улучшение может отражать сниженную когнитивную нагрузку на отсроченных сессиях тестирования (более короткие сессии воспроизведения по сравнению с длительной сессией кодирования и воспроизведения в день 1; например,68), а также комбинированные эффекты ночной консолидации и практики извлечения69,70,71. Эта закономерность также согласуется с гипермнезией, при которой повторное тестирование может вызвать дополнительные детали72,73. Таким образом, скромный прирост эффективности, который мы наблюдали, вероятно, отражает взаимодействие сниженного интерференции, консолидации и повторного извлечения.

Интересно, что анализ схожести Жаккара внутри субъектов, исследующий, насколько похожи описания событий между участниками в пределах возрастных групп, добавил нюанс к этому результату, выявив изменения в различных сессиях тестирования. В частности, слова, используемые для описания запомненных видео, были более схожими через 24 часа после кодирования или через неделю, чем сразу после кодирования. Эта закономерность результатов предполагает, что процессы консолидации могут способствовать появлению более стабильных и схожих повествований в течение повторного воспроизведения74. Стоит отметить, что порядок воспроизводимых видео был одинаковым во всех сессиях, что могло увеличить схожесть повествований участников между сессиями. Кроме того, анализ схожести между субъектами, сравнивающий, насколько схожи описания событий между участниками в пределах возрастных групп, показал, что повторное извлечение не обязательно способствует конвергенции между индивидами одной возрастной группы. Это отразилось в относительно стабильных значениях схожести Жаккара между субъектами в течение сессий внутри каждой группы. Кроме того, анализ между участниками выявил большую схожесть Жаккара у пожилых людей по сравнению с молодыми. Этот результат может быть связан с большей склонностью к воспроизведению, основанному на сути, при старении, или с другими групповыми факторами, такими как меньшее использование дословной информации и перцептивных деталей, чем у молодых людей18,42,43. Соответственно, повествования пожилых людей могут быть более схожими друг с другом, поскольку опора на суть историй оставляет меньше места для вариаций в различных сессиях воспроизведения. Будущие исследования должны реализовать различные текстовые анализы для дальнейшего изучения этих групповых схожестей в воспроизведении повествований.

Несмотря на последовательность объективных показателей эффективности памяти со временем, таких как количество событий и деталей в воспоминаниях участников, субъективные оценки живости (насколько детализированной участники считали свою память) и содержания (насколько хорошо они помнили сюжет) снижались со временем. Более конкретно, как молодые, так и пожилые люди показали снижение со временем в своих субъективных оценках содержания и живости. Этот результат согласуется с предыдущими исследованиями, предполагающими снижение субъективных оценок, таких как живость, при повторном извлечении75, и с данными о том, что субъективные оценки, особенно у пожилых людей, не основаны исключительно на количестве объективно воспроизведенных деталей76,77.

Ограничения

Хотя размер выборки казался достаточным для выявления различий, как показал пост-hoc анализ мощности, будущая работа с большей и более разнообразной выборкой поможет повысить обобщаемость настоящих результатов.

Дальнейшее ограничение касается классификации периферийных деталей. Действительно, не всегда возможно определить, тесно ли связаны такие перцептивные и контекстные детали с конкретным подсобытием или они просто отражают информацию, присутствующую на протяжении всего видео, но упомянутую позже во время воспроизведения. В то время как некоторые периферийные детали явно соответствовали конкретному подсобытию (например, присутствие случайного персонажа или объекта, появившегося только один раз), другие могли описывать детали, которые были постоянно доступны, но упомянуты только позже (например, детали одежды или фона). На основе нашей оценки мы бы отнесли большинство периферийных деталей к первому типу. Однако мы не можем исключить возможность того, что некоторые детали были менее релевантны для конкретного подсобытия. Будущие исследования могли бы попытаться более тщательно различить событийные и глобальные перцептивные детали, чтобы прояснить связь между центральностью события и производством периферийных деталей.

Заключение

В данном исследовании мы использовали модель обработки естественного языка для изучения воспроизведения памяти и показали, что смысловая структура событий, операционализированная как количество и сила связей между событиями, последовательно влияла на воспроизведение памяти у молодых и пожилых людей, и что этот эффект оставался постоянным в течение недели. Это предполагает, что семантическая центральность является сильным предиктором воспроизведения повседневных впечатлений на протяжении всей жизни. Наши результаты подчеркивают необходимость использования натуралистических стимулов для исследования возрастных изменений у пожилых людей, выходя за рамки описаний снижения эпизодической памяти и позволяя лучше понять, какие формы памяти сохраняются и предпочтительны в процессе старения. В более широком смысле, эти выводы способствуют нашему пониманию процессов памяти при старении и подчеркивают возможности для вмешательств по улучшению памяти, которые используют естественные изменения, происходящие с возрастом, такие как предпочтение памяти, основанной на сути, натуралистические стимулы и повторное извлечение72,73.

Короткие версии статей можно найти в телеграм-канале.

Посмотреть канал
Кликните еще раз для перехода

Ингалятор AMNB-503 Формула Здоровья для детей

Компрессорный ингалятор Формула Здоровья AMNB-503 — надежное устройство для эффективной доставки лек...

Дезодорант Нарин Мальва 50 мл — защита, уход, свежесть

Дезодорант Нарин Мальва роликовый 50 мл эффективно борется с причиной пота — бактериями, предотвраща...

Камфорное масло 10% 30 мл — антисептик, согревание

Камфорное масло 10% для наружного применения — натуральное средство с антисептическим, согревающим и...

Biorepair ополаскиватель восстанавливающий для полости рта

Biorepair восстанавливающий ополаскиватель для полости рта эффективно защищает зубы и десны, создава...

Косметическое масло Персик Арома Тач 30 мл - омоложение кожи

100% натуральное косметическое масло Арома Тач Персик 30 мл для омоложения и восстановления кожи. Ид...

Феррогематоген Детский - железо и витамины для ребенка

Феррогематоген Детский — вкусная плитка для профилактики дефицита железа у детей. Содержит железо, м...