Лечение функциональной аноректальной боли Пароксетином: эффективность и влияние на психическое состояние

Лечение функциональной аноректальной боли Пароксетином: эффективность и влияние на психическое состояние

Интересное сегодня

Оценка свойств внутренних осцилляторов человека через ритмич...

Введение в исследование внутренних осцилляторов Способность воспринимать и воспроизводить ритмически...

Оценка шкал Kessler (K10) для выявления психологического дис...

Введение Старение населения Индии приводит к увеличению распространенности психических расстройств, ...

Влияние материнской депрессии и СДВГ на детей в раннем возра...

Влияние материнского психического здоровья на развитие детей В последние годы исследования все больш...

Влияние пролонгированной iTBS на префронтальную кору и мозже...

Введение Повторяющаяся транскраниальная магнитная стимуляция (rTMS) демонстрирует терапевтический по...

Психометрические свойства тайской версии опросника личности ...

Введение Исследование личностных черт и их связь с психическими расстройствами является важной облас...

Влияние благосклонного сексизма на карьерный рост женщин: ро...

Влияние благосклонного сексизма на карьерный рост женщин: роль самооценки и компромиссов Введение В...

Рисунок 1
Рисунок 1
Рисунок 2
Рисунок 2
Рисунок 3
Рисунок 3
Рисунок 4
Рисунок 4
Рисунок 5
Рисунок 5
Thumbnail 1
Thumbnail 2
Thumbnail 3
Thumbnail 4
Thumbnail 5
Thumbnail 6
Thumbnail 7
Thumbnail 8
Оригинал исследования на сайте автора

Введение в проблему функциональной аноректальной боли

Функциональная аноректальная боль (ФАРБ) представляет собой сложное заболевание, характеризующееся хронической или рецидивирующей болью в аноректальной области при отсутствии явных структурных или системных патологий. Это состояние значительно снижает качество жизни пациентов и представляет серьезную диагностическую и терапевтическую проблему для клиницистов. Патогенез ФАРБ остается недостаточно изученным, однако современные исследования указывают на важную роль психологических факторов и нарушений центральной обработки болевых сигналов в развитии этого заболевания.

Цели и методы исследования

Данное ретроспективное исследование было направлено на изучение клинических характеристик, психологического статуса, качества сна и качества жизни пациентов с функциональной аноректальной болью. Дополнительной целью было оценить эффективность терапии пароксетином в alleviation симптомов ФАРБ.

Дизайн исследования и участники

В исследовании приняли участие сорок три пациента с диагностированной ФАРБ, которые проходили лечение в период с ноября 2021 года по август 2022 года. Пациенты были разделены на две группы: контрольная группа получала лечение только с использованием ректальных суппозиториев с комплексным гликолатом, в то время как исследуемая группа получала комбинированную терапию, включающую пероральный прием пароксетина в дополнение к ректальным суппозиториям.

Методы оценки

Для комплексной оценки состояния пациентов использовались валидизированные опросники и шкалы:

  • Краткая форма МакГилловского опросника боли 2 (SF-MPQ-2) для оценки болевых симптомов
  • Шкала качества жизни SF-12 (The 12-Item Short-Form Health Survey)
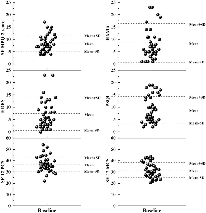
  • Шкала депрессии Гамильтона из 17 пунктов (HDRS-17)
  • Шкала тревоги Гамильтона из 14 пунктов (HAMA-14)
  • Питтсбургский индекс качества сна (PSQI)
  • Визуальная аналоговая шкала (VAS) для оценки интенсивности боли

Результаты исследования

Психологический статус пациентов с ФАРБ

Результаты исследования выявили высокую prevalence психологических нарушений среди пациентов с функциональной аноректальной болью. Согласно полученным данным, 46,5% пациентов с ФАРБ имели симптомы тревоги (HAMA ≥ 7), а 37,2% пациентов демонстрировали симптомы депрессии (HDRS ≥ 8).

Наши findings указывают на тесную взаимосвязь между хронической болью и психологическими нарушениями, что подтверждает необходимость комплексного подхода к лечению ФАРБ.

Качество сна у пациентов с ФАРБ

Исследование также выявило значительные нарушения сна у пациентов с функциональной аноректальной болью. Примерно 32,6% пациентов имели выраженные нарушения сна (PSQI > 10), что свидетельствует о серьезном влиянии заболевания на общее состояние пациентов.

Эффективность терапии пароксетином

Результаты лечения показали высокую эффективность комбинированной терапии с использованием пароксетина. В течение первой недели после отмены препарата краткосрочная эффективность перорального пароксетина составила 95,5%. После лечения показатели боли по визуальной аналоговой шкале (VAS) и оценки сна были значительно ниже, чем до лечения (P < 0,001).

Обсуждение результатов

Взаимосвязь боли и психологических нарушений

Полученные данные подтверждают существующие представления о тесной взаимосвязи между хронической болью и психологическими нарушениями. Высокая prevalence тревожных и депрессивных симптомов среди пациентов с ФАРБ указывает на необходимость integrated подхода к лечению, учитывающего как физические, так и психологические аспекты заболевания.

Механизмы действия пароксетина

Пароксетин, как представитель класса selective serotonin reuptake inhibitors (SSRI - селективных ингибиторов обратного захвата серотонина), демонстрирует эффективность не только в лечении депрессивных и тревожных расстройств, но и в alleviation хронических болевых синдромов. Механизм его действия связан с модуляцией серотонинергической передачи, которая играет важную роль в регуляции настроения и восприятия боли.

Влияние на качество жизни

Лечение пароксетином привело к значительному улучшению показателей качества жизни по шкале SF-12. Наиболее выраженные улучшения наблюдались в domains жизнеспособности (VT), социального функционирования (SF) и психического здоровья (MH). Эти improvements особенно важны, поскольку отражают психосоциальные аспекты качества жизни.

Ограничения исследования

Настоящее исследование имеет несколько limitations. Ретроспективный дизайн не позволяет установить причинно-следственные связи между переменными. Одноцентровой характер исследования и относительно небольшой размер выборки могут ограничивать generalizability результатов. Кроме того, использование психометрических тестов может быть не таким rigorous, как клинические интервью.

Выводы и клинические implications

Результаты исследования демонстрируют, что пациенты с функциональной аноректальной болью могут получить значительную пользу от краткосрочного перорального лечения пароксетином. Комбинированная терапия не только значительно облегчает симптомы ФАРБ, но и улучшает психологическое состояние, качество сна и качество жизни пациентов.

Наши findings предоставляют valuable insights относительно potential использования пароксетина в качестве варианта лечения первой линии, особенно для пациентов с ФАРБ, presenting с symptoms депрессии и тревоги.

Understanding multifaceted benefits пароксетина может помочь клиницистам в providing более comprehensive care лицам с функциональной аноректальной болью. Необходимы дальнейшие prospective исследования с более длительным периодом наблюдения для подтверждения этих результатов и выяснения долгосрочных эффектов терапии.

Короткие версии статей можно найти в телеграм-канале.

Посмотреть канал
Кликните еще раз для перехода

Oral-B Super Floss №1 - зубная нить для брекетов и протезов

Зубная нить Oral-B Super Floss №1 специально разработана для ухода за брекетами, мостовидными протез...

Шампунь Сульсен Форте 2% 250Мл – против перхоти

Шампунь Сульсен Форте 2% 250Мл с селеном сульфидом борется с перхотью, увлажняет и укрепляет волосы....

Крем Кандид 1%: против грибка кожи, лишая, микозов

Кандид Крем 1% — эффективное противогрибковое средство для лечения микозов кожи, разноцветного лишая...

Фиточай Грин Слим Мята-Мелисса для снижения веса | Купить

Грин Слим Фиточай с мятой и мелиссой — натуральное средство для похудения и улучшения обмена веществ...

Голеностопная компрессионная повязка Унга-Рус №5 купить

Голеностопная повязка трубчатая компрессионная Унга-Рус №5 обеспечивает надежную фиксацию, эффективн...

Филорга Hydra-Hyal сыворотка-концентрат — увлажнение и объем

Филорга Hydra-Hyal — сыворотка-концентрат для глубокого увлажнения и восстановления объема кожи. Фор...