
Интересное сегодня
Избегание — это не границы: как научиться выстраивать здоров...
Избегание — это не границы Избегание ситуаций или людей — это не установка границ. Границы — это чёт...
Как восприятие себя и других влияет на чувство собственного ...
Введение Совместные действия, характеризующиеся координированными усилиями двух или более человек дл...
Почему макаки, как и люди, предпочитают смотреть видео с кон...
Макаки и люди: неожиданное сходство в предпочтениях видео Исследование, проведённое учёными из Униве...
Новые маркеры для диагностики легких когнитивных нарушений: ...
Введение Легкие когнитивные нарушения (ЛКН) считаются промежуточной стадией между нормальным старени...
Как социальная помощь влияет на суицидальное поведение среди...
Введение Корея занимает первое место по уровню смертности от суицида среди стран ОЭСР (Организация э...
Как виртуальная реальность помогает бросить курить: анализ т...
Введение Тяга к курению является ключевым диагностическим критерием расстройств, связанных с употреб...
Введение
Фундаментальный вопрос о том, как мы становимся моральными личностями, веками интересовал ученых и гуманитариев. Детство предоставляет уникальное окно в человеческую мораль и ее формирование. Несмотря на недавний прогресс в изучении онтогенеза моральных чувств, исследователи подчеркивают необходимость расширения горизонтов и изучения развития детей в различных культурных контекстах.
Цели исследования
Наше исследование направлено на понимание того, как демографические факторы влияют на моральное развитие детей в культурном контексте этнического ханьского общества. Мы измерили индивидуальные различия в социальном поведении и смоделировали влияние возраста, пола, поведенческих ролей и родства между инициатором и получателем.
Методы
Исследование основано на вторичном анализе исторических текстов — полевых заметок, собранных антропологом Артуром Вольфом в сельской деревне на Тайване в 1958–1960 годах. Мы разработали новую систему кодирования поведения и использовали многоуровневые мультиномиальные логистические регрессии для анализа данных.
Статистический подход
Мы применили байесовские методы для анализа данных, используя марковские цепи Монте-Карло (MCMC) для оценки параметров модели. Это позволило учесть сложную структуру данных и корреляции между различными типами поведения.
Результаты
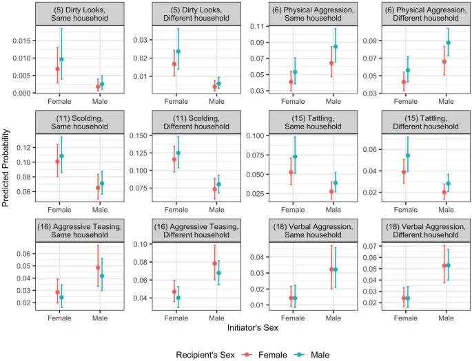
Наши результаты выявили сложные взаимосвязи между кооперативным и некооперативным поведением, особенно в динамике лидерства. Мы также обнаружили, что возраст, пол и поведенческие роли являются ключевыми предикторами социального поведения детей.
Влияние возраста и пола
Возраст инициатора и получателя оказались важными предикторами поведения. Например, младшие дети чаще обращались за помощью к старшим, в то время как старшие дети демонстрировали как кооперативное, так и доминирующее поведение. Пол также играл роль: мальчики чаще проявляли физическую агрессию, а девочки — более тонкие формы агрессии, такие как язвительные взгляды или жалобы.
Обсуждение
Наше исследование бросает вызов классическим взглядам на детство в китайской культуре, демонстрируя, как фактическое поведение детей может расходиться с культурными идеологиями. Мы также подчеркиваем важность натуралистических наблюдений для понимания морального развития в культурном контексте.
Ограничения и будущие исследования
Одним из ограничений нашего исследования является отсутствие данных о порядке рождения и размере семьи, что могло бы дополнительно прояснить влияние родства на поведение детей. Будущие исследования могут также изучить реактивное поведение и динамику в группах с несколькими участниками.