
Интересное сегодня
Как улучшение внешности стимулирует благотворительность
Введение Недавнее исследование из Тель-Авивского университета показывает, что улучшение внешности, б...
Влияние употребления каннабиса и расстройства, связанного с ...
Генетические связи каннабиса и психических расстройствИсследования, демонстрирующие потенциальный вр...
Как мыши отслеживают свои ошибки во времени: исследование ме...
Метакогнитивные способности у животныхЖивотные часто демонстрируют целенаправленное поведение, котор...
Влияние ускоренного репродуктивного старения на психическое ...
Исследование влияния репродуктивного старения на психическое здоровье Исследование, проведенное Унив...
Как стресс и депрессия во время беременности влияют на качес...
Введение Беременность — это период повышенной уязвимости для женщин, сопровождающийся не только горм...
Как жёсткое воспитание влияет на детей: последствия и решени...
Что такое жёсткое воспитание? Вы, вероятно, не раз становились свидетелями ситуаций, когда родители ...
Введение в метод тренировки с ограничением кровотока
Тренировка с ограничением кровотока (Blood Flow Restriction training, BFR) представляет собой инновационный метод силовой подготовки, который предполагает выполнение упражнений с относительно небольшой нагрузкой (20-40% от одноповторного максимума) при частичном ограничении артериального притока и венозного оттока крови в working мышцах. Этот метод, также известный как окклюзионная тренировка, приобретает все большую популярность в различных видах спорта, включая скалолазание, где развитие силы пальцев является критически важным компонентом подготовки.
Физиологический механизм BFR тренировки основан на создании метаболического стресса и гипоксических условий в мышцах, что стимулирует процессы гипертрофии и повышения силовых показателей даже при работе с малыми весами. Для скалолазов, которые постоянно сталкиваются с риском травм пальцев и предплечий, возможность эффективно тренироваться с минимальной нагрузкой на суставы и соединительные ткани представляет особую ценность.
Методология исследования
Участники и дизайн исследования
В исследовании приняли участие тринадцать мужчин-скалолазов продвинутого уровня. Все участники имели значительный опыт спортивного скалолазания и регулярно тренировались. Исследование проводилось по перекрестному дизайну с рандомизацией порядка условий тренировки, что позволило минимизировать влияние последовательности воздействий на результаты.
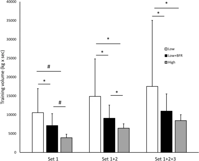
Каждый участник выполнил три различных протокола тренировки сгибателей пальцев в случайном порядке:
- Низкая интенсивность (Low): упражнения выполнялись с нагрузкой 40% от MVC (максимального произвольного сокращения)
- Высокая интенсивность (High): нагрузка составляла 75% от MVC
- Низкая интенсивность с BFR (Low + BFR): нагрузка 40% от MVC с применением ограничения кровотока
Процедура ограничения кровотока
Для создания ограничения кровотока использовались специальные манжеты, которые накладывались на проксимальную часть предплечья. Давление в манжетах индивидуально подбиралось для каждого участника на основе показателей систолического артериального давления. Такая персонализация подхода обеспечивала стандартизацию степени окклюзии относительно индивидуальных физиологических характеристик спортсменов.
Оцениваемые параметры
Исследователи регистрировали широкий спектр показателей, включая:
- RPE (Rate of Perceived Exertion) - шкала воспринимаемого напряжения усилия
- RPD (Rate of Perceived Discomfort) - шкала воспринимаемого дискомфорта
- sPDF (session Pleasure/Displeasure Feeling) - оценка удовольствия/неудовольствия от тренировочной сессии
- EES (Exercise Enjoyment Scale) - шкала удовольствия от упражнений
- Концентрация лактата в крови
- Сатирация кислорода (насыщение крови кислородом)
Результаты исследования
Воспринимаемое напряжение и дискомфорт
Анализ данных показал, что оба протокола низкой интенсивности (как с BFR, так и без него) вызывали значительно более высокие показатели воспринимаемого дискомфорта (RPD) по сравнению с протоколом высокой интенсивности. Различия были статистически значимыми (p = 0.018-0.022) с большим размером эффекта (ES = 1.01-1.09). Это указывает на то, что тренировка с ограничением кровотока, несмотря на использование меньших нагрузок, субъективно воспринимается как более дискомфортная.
Интересно, что не было обнаружено значимых различий в показателях воспринимаемого напряжения усилия (RPE) между тремя протоколами. Это suggests, что хотя дискомфорт при BFR тренировке выше, общее восприятие требуемых усилий сопоставимо с традиционными методами тренировки.
Удовольствие от тренировки
Протокол высокой интенсивности воспринимался как значительно более enjoyable по сравнению с протоколом низкой интенсивности с BFR (p = 0.031, ES = 1.08). Различий в оценках удовольствия/неудовольствия от тренировочной сессии (sPDF) между протоколами обнаружено не было (p = 0.132-0.804).
«Тренировка с ограничением кровотока создает уникальный паттерн воспринимаемых ощущений: повышенный дискомфорт при сопоставимом уровне воспринимаемого усилия»
Физиологические показатели
Концентрация лактата в крови была значительно выше после протокола высокой интенсивности по сравнению с обоими протоколами низкой интенсивности. Это ожидаемый результат, поскольку высокоинтенсивные нагрузки typically вызывают большее гликолитическое расщепление глюкозы с образованием молочной кислоты.
Показатели сатурации кислорода не демонстрировали значительных различий между условиями тренировки, что указывает на то, что системные эффекты окклюзии были минимальными, и основные физиологические изменения происходили на локальном мышечном уровне.
Обсуждение результатов
Практическое значение для тренировочного процесса скалолазов
Полученные результаты имеют важное практическое значение для планирования тренировочного процесса скалолазов. BFR тренировка может служить эффективной альтернативой традиционным высокоинтенсивным протоколам в периоды, когда необходимо снизить нагрузку на суставы и соединительные ткани, но при этом сохранить тренировочный стимул для мышц.
Особенно ценным этот метод может быть в следующих ситуациях:
- Период восстановления после травм
- Предсезонная подготовка, когда важно постепенно адаптировать ткани к нагрузкам
- Включение в программу активного восстановления
- Для опытных спортсменов, достигших плато в силовых показателях
Психологические аспекты BFR тренировки
Повышенный уровень дискомфорта при BFR тренировке требует особого внимания к психологическому состоянию спортсменов. Тренерам следует тщательно дозировать объем такой тренировки и обеспечивать адекватное психологическое сопровождение. Важно постепенно знакомить спортсменов с этим методом, начиная с минимальных объемов и постепенно увеличивая продолжительность окклюзии.
Несмотря на повышенный дискомфорт, отсутствие различий в общем удовольствии от тренировочной сессии suggests, что при правильном применении BFR метод может быть успешно интегрирован в регулярный тренировочный процесс без негативного влияния на мотивацию спортсменов.
Ограничения исследования и перспективы дальнейших исследований
Методологические ограничения
Данное исследование имеет несколько ограничений, которые следует учитывать при интерпретации результатов. Во-первых, в исследовании участвовали только мужчины-скалолазы продвинутого уровня, что ограничивает возможность экстраполяции результатов на женщин и спортсменов других уровней подготовки. Во-вторых, исследование оценивало острые реакции на единичную тренировку, тогда как долгосрочные адаптации к BFR тренировке требуют дальнейшего изучения.
Направления будущих исследований
Перспективными направлениями для дальнейших исследований являются:
- Изучение долгосрочных эффектов BFR тренировки на силовые показатели скалолазов
- Сравнение эффективности различных протоколов ограничения кровотока
- Исследование влияния BFR на процессы восстановления и профилактики травм
- Адаптация метода для спортсменов различной квалификации и специализации
Заключение
Тренировка сгибателей пальцев с ограничением кровотока представляет собой перспективный метод силовой подготовки для скалолазов. Несмотря на повышенный уровень дискомфорта по сравнению с традиционными протоколами, этот метод позволяет создавать эффективный тренировочный стимул при использовании меньших внешних нагрузок, что может быть особенно ценно для снижения риска травм и управления тренировочным объемом.
Интеграция BFR тренировки в подготовку скалолазов требует индивидуального подхода и тщательного дозирования, но при правильном применении может стать ценным инструментом для оптимизации тренировочного процесса и достижения новых уровней спортивного мастерства.