Предсказание возраста мозга у детей и подростков: МРТ, морфометрическое сходство и машинное обучение

Предсказание возраста мозга у детей и подростков: МРТ, морфометрическое сходство и машинное обучение

Интересное сегодня

Интенсивные дружбы у аутистов: причины, вызовы и как ими упр...

Интенсивные дружбы у аутичных людей У аутичных людей часто формируются интенсивные дружеские отношен...

Генетические и экологические факторы, влияющие на благополуч...

По состоянию на апрель 2023 года в мире насчитывается 4,80 миллиарда пользователей социальных сетей,...

Искусство аргументации: Как использовать фразу "часть м...

Искусство аргументацииАргументы являются частью жизни, и эффективно их преодолевать может показаться...

Как отцы влияют на дочерей: роль образования, дохода и привл...

Отцовская забота: больше чем просто стереотипФраза «папина дочка» — не просто культурный штамп. Она ...

Как стресс и невротизм влияют на когнитивные способности пос...

Влияние детских и взрослых травм на когнитивные функции Детские и взрослые травмы оказывают долгосро...

Связь между инфекциями и болезнью Альцгеймера: история Джина...

Трагическая смерть Джина Хэкмена и его жены: разгадка тайны На этой неделе официальные лица объявили...

Рисунок 1
Рисунок 1
Рисунок 2
Рисунок 2
Рисунок 3
Рисунок 3
Рисунок 4
Рисунок 4
Thumbnail 1
Thumbnail 2
Thumbnail 3
Thumbnail 4
Thumbnail 5
Thumbnail 6
Thumbnail 7
Оригинал исследования на сайте автора

Введение в концепцию возраста мозга

Нейронаука развития активно использует методы нейровизуализации для изучения структуры мозга с целью характеристики процессов созревания и понимания их связи с когнитивным развитием. Исследования в области developmental neuroimaging (нейровизуализации развития) выявили различные траектории развития специфических кортикальных тканей, таких как белое вещество (white matter - WM) и серое вещество (grey matter - GM), в различных областях коры головного мозга. Объем кортикального GM демонстрирует нелинейную траекторию в форме «перевернутой U», с препубертатным расширением кортикального GM, за которым следует постпубертатная устойчивая потеря объема GM.

Созревание мозга имеет специфические региональные траектории; пиковая плотность GM и сокращение объема GM происходят раньше всего в областях первичных функций, соматосенсорной и первичной моторной коре, и позже всего в ассоциативных областях высшего порядка, таких как дорсолатеральная префронтальная кора и верхняя височная извилина. Созревание толщины коры также показывает сходную траекторию с генерализованным сокращением со временем, что согласуется с моделями синаптического прунинга и миелинизации.

Методология исследования возраста мозга

Данное исследование использует данные здоровых контрольных групп из открытой базы данных Autism Brain Imaging Data Exchange (ABIDE). После применения строгих критериев контроля качества в анализ были включены 327 здоровых контрольных участников со средним возрастом 12.4 ± 2.5 года. Мы использовали обработанные выходные данные Freesurfer, предоставленные Preprocessed Connectome Project (PCP), которые предоставляют меры корковой морфометрии по регионам атласа Desikan-Killiany.

Оценка моделей

Для оценки моделей Brainage, полученных из различных наборов морфометрических признаков, когорта ABIDE была разделена на тренировочную и независимую тестовую когорты в соотношении 3:1. Тренировочная когорта была дополнительно подразделена на внутреннюю тренировочную и валидационную когорты в соотношении 5:1. Отбор тренировочного набора был псевдослучайным для обеспечения недодискретизации по возрасту.

Алгоритмы машинного обучения и выбор ядра

Прогнозирование Brainage проводилось с использованием двух подходов на основе ядерной регрессии: Gaussian Processes Regression (GPR - Гауссовская процессная регрессия) и Relevance Vector Regression (RVR - Регрессия релевантных векторов). Эти методы были выбраны, поскольку они обычно используются в литературе, а нелинейные и/или ядерные алгоритмы обычно превосходят линейные подходы. Тестировались два различных ядра для каждого алгоритма: laplacedot (ядерная функция Лапласа) и RBFDot (радиальная базисная функция Гаусса).

Результаты исследования

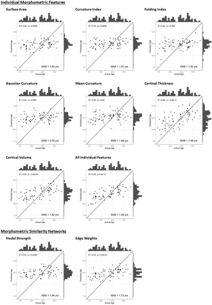
Модели были обучены на тренировочной когорте и затем оценены на независимой тестовой когорте. Результаты показывают, что Gaussian curvature (гауссова кривизна) и mean curvature (средняя кривизна) показали наихудшие результаты, с прогнозированием хуже, чем модель только среднего значения. Веса ребер морфометрического сходства, объем коры, толщина и все индивидуальные признаки показали наилучшие результаты.

На основе случайной повторной выборки данных мы рассчитали средние прогнозируемые значения R2 моделей и 95% доверительные интервалы этих значений. Только модели, основанные на весах ребер морфометрического сходства, объеме коры, толщине и всех индивидуальных признаках, имели 95% ДИ, которые не пересекали predictive R2 = 0.

Потенциальные смещения в BrainageΔ

BrainageΔ был рассчитан как абсолютная разница между хронологическим (фактическим) возрастом и предсказанным Brainage в тестовой когорте. Этот показатель индексирует степень, в которой человек отклоняется от ожидаемого для возраста развития мозга (в сочетании с ошибкой модели). Как и ожидалось, из-за «здорового» характера участников многие из этих значений были близки к нулю, хотя наблюдалась большая вариабельность.

Обсуждение результатов

Насколько нам известно, это первое исследование, в котором построены модели Brainage, полученные из сетевых описаний нейроанатомической организации across the cortex (по всей коре). Эти модели, использующие морфометрическое сходство в качестве основы для прогнозирования хронологического возраста, не превзошли несетевые модели, использующие «стандартные» морфометрические признаки.

Конкретно, модель морфометрического сходства была превзойдена (с точки зрения наименьшей MAE и наибольшего прогнозируемого R2) моделями, которые включали все индивидуальные структурные признаки, за которыми следовали модели толщины и объема коры. Однако модель весов ребер морфометрического сходства показала значительно лучшие результаты, чем нулевые модели, на тестовых данных, что позволяет предположить, что эти модели Brainage capture real patterns of variation (улавливают реальные закономерности вариаций), указывающие на возраст.

Сравнение с предыдущими исследованиями

Лучшим индивидуальным структурным признаком для прогнозирования возраста в этом исследовании была толщина коры. Напротив, в предыдущем отчете о прогнозировании Brainage в течение всей жизни (8–96 лет) в группе 8–18 лет across all approaches (при всех подходах) с использованием либо площади коры, толщины, либо объема наибольшая производительность (т.е. наименьшая средняя ошибка прогноза) фактически наблюдалась при использовании модели объема мозга. Однако среди шести прогностических методов, исследованных в предыдущей работе, модели толщины коры превзошли модели объема коры в 3/6 методов.

Ограничения и будущие направления исследований

Сильной стороной настоящего исследования была extensive assessments (обширная оценка) модели морфометрического сходства в контексте framework Brainage across multiple analyses (в рамках нескольких анализов). Как отмечалось в предыдущих исследованиях, ABIDE также является particularly challenging dataset (особенно сложным набором данных) для оценки Brainage из-за количества различных сайтов и протоколов acquisition (получения данных).

Открытым вопросом для будущих исследований является необходимость таких моделей, как морфометрическое сходство, с ростом популярности подходов deep learning/machine learning (глубокого обучения/машинного обучения). Нейронные сети для глубокого машинного обучения в рамках Brainage демонстрируют высокую производительность. Морфометрическое сходство моделирует структуру ковариации признаков анатомической МРТ способом, который ограничен анатомией, обычно с использованием очень специфического линейного подхода к этим ковариациям/сходству (коэффициенты корреляции Пирсона).

Заключение

В целом, хотя эти сетевые модели структурной МРТ, использующие морфометрическое сходство, по-видимому, созревают как функция возраста при типичном нейроразвитии и capture meaningful variation (улавливают значимые вариации), указывающие на хронологический возраст в framework Brainage, эти сети не являются наиболее чувствительными к изменениям в детстве по сравнению с другими, более простыми признаками, например, измерениями толщины коры.

Настоящие результаты подчеркивают чувствительность и важность толщины коры в развитии от позднего детства до подросткового возраста по сравнению с измерениями коры на основе площади поверхности и кривизны или даже новыми методами морфометрического сходства. Будущие исследования должны быть сосредоточены на установлении моделей, которые непосредственно capture variance (улавливают variance) в когнитивных способностях, а не на capture indirect biomarker (улавливании косвенных биомаркеров).

Короткие версии статей можно найти в телеграм-канале.

Посмотреть канал
Кликните еще раз для перехода

Uriage Bariesun SPF50+ солнцезащитный крем 50 мл

Солнцезащитный крем Uriage Bariesun SPF50+ для лица и тела обеспечивает очень высокую защиту чувстви...

Бифидумбактерин 5 Доз №30 — пробиотик для микрофлоры кишечни...

Бифидумбактерин Таб. 5 Доз №30 — эффективный пробиотик для поддержки здоровой микрофлоры кишечника. ...

Компрессионные колготки Релаксан 280Den 2 класс - Купить

Компрессионные колготки Релаксан Колготки 280Den 2 класса компрессии черные размер 2. Эффективное ср...

Циклоферон таблетки 150 мг №20 — противовирусное средство

Циклоферон таблетки 150 мг №20 — противовирусное и иммуномодулирующее средство для комплексного лече...

Салициловая кислота 1% раствор 40 мл — уход за кожей

Салициловая кислота 1% спиртовой раствор 40 мл — эффективное средство для наружного применения, кото...

Сыворотка-лифтинг Либридерм для лица и шеи 30мл

Лифтинг-сыворотка Либридерм с стволовыми клетками винограда для омоложения кожи лица и шеи после 40 ...