
Интересное сегодня
Как порог честности влияет на сопротивление людей денежным и...
Введение Хотя честность ценится почти всеми моральными стандартами и религиозными системами в мире, ...
Эмоциональная зрелость: Путь к эмоциональному суверенитету
Независимо от того, насколько умны или образованны люди, у них часто мало формального обучения в упр...
Исследование: Причины смены настроений при биполярном расстр...
Введение Биполярное расстройство является серьезным психическим заболеванием, проявляющимся в виде р...
Что значит быть крутым: Глобальное исследование психологии
Исследование, проведенное Американской психологической ассоциацией (APA), показало, что представлени...
Связь вируса гепатита C с шизофренией и биполярным расстройс...
Вирус гепатита C обнаружен в мозге при шизофрении и биполярном расстройстве Ученые из Университета Д...
Путь к трансформационному росту: самосознание, ответственнос...
В нашем стремлении к благополучию мы часто ищем как свободу — жить в соответствии с нашим истинным «...
Введение в исследование половых различий в языковом развитии
На протяжении десятилетий исследования интересовались вопросом, обладают ли женщины и мужчины различными языковыми способностями. Хотя эмпирические данные однозначно свидетельствуют о том, что некоторые связанные с языком расстройства, такие как аутизм, дислексия и заикание, по-разному затрагивают полы, причем мужчины consistently сообщается как более подверженные влиянию, чем женщины, исследования, проведенные на типичных выборках, дали противоречивые результаты. Женщины часто показывали лучшие результаты, чем мужчины, по ряду языковых показателей. Например, они обладают лучшими навыками понимания слов, большим словарным запасом и производят более длинные и синтаксически более сложные предложения. Однако ряд концептуальных и методологических проблем квалифицирует простое толкование «преимущества женщин».
Факторы, влияющие на языковые различия
Во-первых, различия в языковой производительности, вероятно, возникают в результате сложного взаимодействия биологических различий и факторов окружающей среды. Фактически, пренатальные и ранние постнатальные гормоны, как известно, оказывают crucial impact на развивающийся мозг и уже давно hypothesized, что они способствуют пренатальной половой дифференциации когнитивных способностей. Недавняя работа также выявила различные patterns функциональной connectivity между полами, все еще in utero. Однако психосоциальные переменные не менее relevant. Например, данные свидетельствуют о том, что количество речевого input от родителей differs между полами, и что socioeconomic status семьи и socioemotional engagement также по-разному влияют на полы. Другими словами, при сложном и непрерывном взаимодействии между биологией и средой challenging измерить, в какой степени каждый из этих факторов contributes к половым различиям в языковой производительности, и, конечно, это не может быть straightforwardly clarified в рамках отдельных исследований.
Методологические вызовы в исследованиях
Во-вторых, и что связано, размеры эффектов, о которых сообщается для «преимущества женщин» в отдельных исследованиях, обычно очень малы, и когда они taken together с другими predictors, пол accounts только за minor share наблюдаемой дисперсии. Половые различия, therefore, generally исследуются с помощью метаанализов, которые расширяют размеры выборок и, thus, статистическую мощность любого отдельного исследования.
Развитие языковых различий
В-третьих, доступные findings неясны относительно developmental origins половых различий в языке. Например, в то время как Maccoby и Jacklin сообщили, что они происходят mostly после 11 лет, Bornstein et al. обнаружили, что они significant только до 6-летнего возраста. Zambrana et al. сообщили, что девочки имеют лучшие способности к пониманию языка, чем мальчики, в 18 месяцев и в меньшей степени в 36 месяцев, в то время как Le Normand et al. обнаружили, что девочки produced больше слов, чем мальчики, до 3-летнего возраста, но не после этого. Важно, что исследования часто fail различать половые различия в языковом развитии и различия в общей maturational speed между полами. Кроме того, возраст часто анализировался с использованием различных возрастных диапазонов и возрастных групп в разных исследованиях, что делает comparisons более difficult, и фактически некоторые авторы suggested, что вместо использования возрастных диапазонов исследования половых различий должны focus на очень specific и relevant временных точках.
Проблема недостаточного изучения
В-четвертых, во многих исследованиях потенциальные половые и гендерные различия просто overlooked, поскольку они не tested статистически систематическим образом. Это masks возможные различия, limits обобщаемость findings и может быть particularly важным препятствием для interventions, например, при языковых патологиях, если различия в том, как два пола respond к лечению, остаются unexplored. Различные фонды, журналы и исследовательские консорциумы теперь, therefore, рекомендуют или даже require, чтобы половое и гендерное измерение учитывалось в любом исследовании с участием людей и животных. Тем не менее, в нейровизуализационных исследованиях языкового развития половые и гендерные различия очень редко explicitly tested.
Методология исследования: фНИРС и изучение младенцев
По всем этим причинам изучение половых различий в языковых способностях до сих пор давало inconsistent результаты, особенно в развитии. Нейровизуализационные исследования, проведенные очень рано в жизни, имеют potential meaningfully contribute к этому исследовательскому вопросу, одновременно circumventing некоторые из вышеупомянутых methodological challenges. Тестируя очень маленьких детей, то есть тех, у кого нет или очень мало опыта взаимодействия с окружающей средой, вклад социокультурных факторов может быть reduced, thus предоставляя возможность приблизиться к biological basis любых половых различий. Кроме того, измеряя функцию мозга, связанную с обработкой языка, а не ее behavioral reflections, которые очень challenging тестировать у маленьких детей, нейровизуализационные исследования имеют potential предоставить более sensitive measure половых различий и их developmental trajectory.
Цель текущего исследования
Текущая работа, therefore, addresses вопрос о ранних половых различиях в обработке языка путем проведения метаанализа нейровизуализационных исследований, проведенных с помощью functional near-infrared spectroscopy (фНИРС) на новорожденных и шестимесячных младенцах с целью investigation, проявляет ли одна из самых ранних языковых способностей, извлечение лингвистических regularities из речи, половые различия.
Выбор языковой способности для изучения
Мы выбрали для исследования эту способность, поскольку это очень basic mechanism, который присутствует уже при рождении и который оказался foundational для изучения грамматики и, thus, для языкового развития. При рождении младенцы показали, что способны извлекать структурные закономерности из речи. В частности, они могут learn и generalize повторяющиеся правила, то есть отношение идентичности (A = A), которое позволяет им различать искусственные грамматики со структурами ABB (например, «mubaba», «penana» и т.д.), AAB (например, «babamu», «nanape» и т.д.) и ABA (например, «bamuba», «napena» и т.д.) и отличать их от случайных контролей (ABC: «mubage», «penaku» и т.д.). Обучение на основе повторяющихся правил считается basic mechanism усвоения языка и исследовалось как behavioral, так и нейровизуализационными методами, особенно фНИРС, но вопрос о том, показывает ли оно какие-либо половые различия, никогда не исследовался.
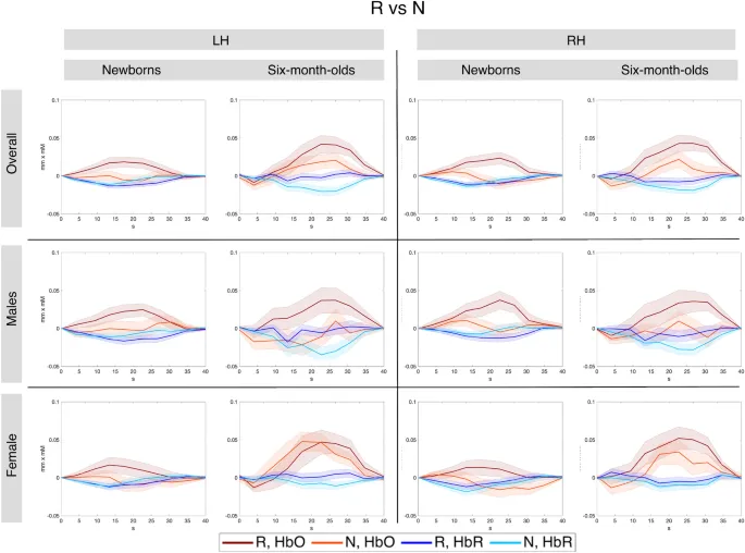
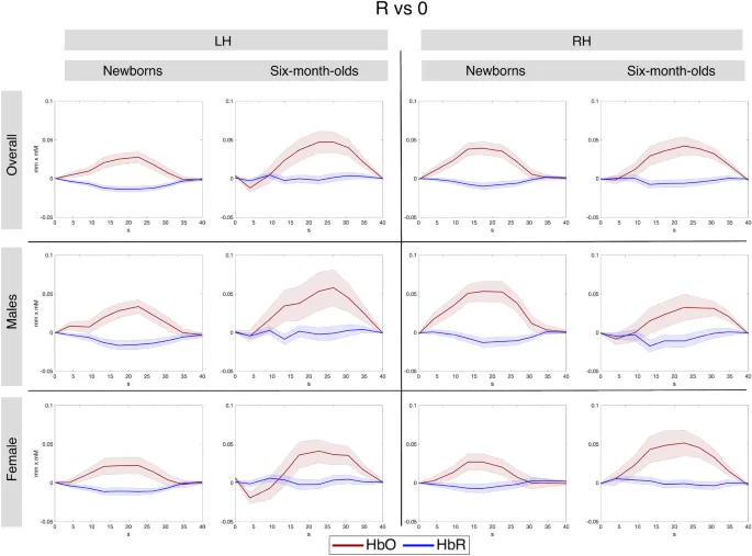
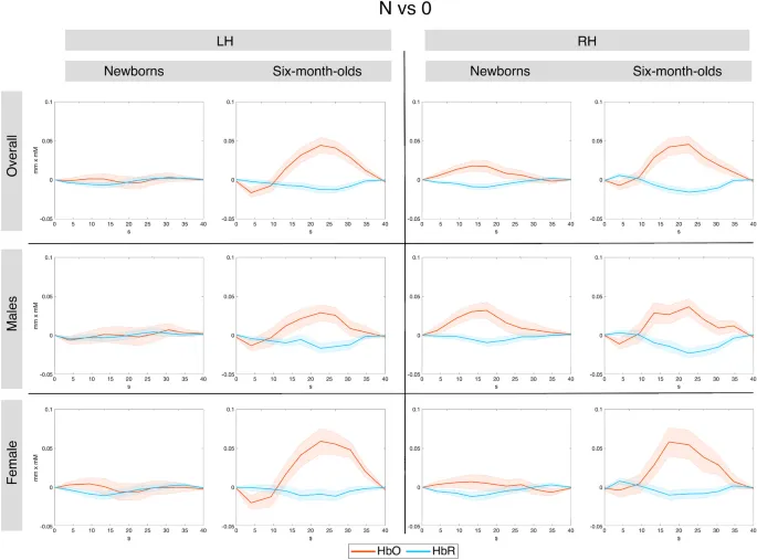
Результаты метаанализа: отсутствие половых различий
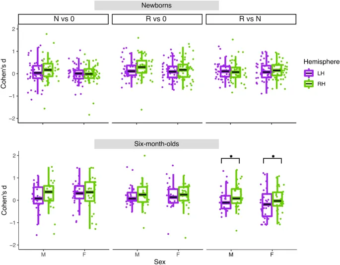
Наш анализ не выявил каких-либо половых различий при рождении или в 6 месяцев, что позволяет предположить, что способность кодировать эти закономерности robust across полов. Интересно, что метаанализ выявил другие эффекты модераторов. Так, у новорожденных мы обнаружили большее вовлечение bilateral temporal areas по сравнению с frontal areas как для повторяющихся, так и для неповторяющихся последовательностей. Кроме того, неповторяющиеся последовательности elicited большие ответы у шестимесячных детей, чем у новорожденных, особенно в bilateral frontal areas. При анализе функциональных кластеров временных трасс HbR мы обнаружили, что у новорожденных мальчиков наблюдается большая право-левая асимметрия в реакциях мозга по сравнению с девочками, что можно интерпретировать в terms большей право-левой асимметрии в cerebral blood flow у мальчиков, чем у девочек в раннем возрасте. Мы заключаем, что извлечение повторяющихся закономерностей из речи является robust способностью с well-defined neural substrate, присутствующим с рождения, и она не проявляет половых различий.
Дополнительные выводы исследования
Мы также обнаружили, что у новорожденных височные области bilateral вовлечены больше, чем лобные области, для обоих типов последовательностей. Это согласуется с предыдущими выводами о том, что слуховая кора является основной областью, ответственной за обработку звуков на раннем этапе развития. Кроме того, реакции на неповторяющиеся последовательности были stronger у шестимесячных детей, чем у новорожденных, особенно в лобных областях. Это открытие подтверждает недавние предположения о том, что способность обрабатывать разнообразие (non-repetition) emerges позже в развитии и может быть связано с beginning word learning.
Обсуждение результатов и их значение
Настоящее исследование ограничено количеством экспериментов, в которых была доступна демографическая информация о поле. Однако следует отметить, что оценки эффектов для каждой different comparison и возрастной группы fully overlap с оценками, вычисленными в более крупном метаанализе обучения правилам у младенцев, подтверждая, что выборка, проанализированная в этом исследовании, representative of the larger one.
Важность отсутствия различий
Важно, что наше исследование не обнаружило relevant различий между мальчиками и девочками в обработке повторяющихся закономерностей. Это не implies, что другие аспекты усвоения языка не проявляют such различий. Поскольку обучение правилам является лишь одним из кирпичиков, которые строят linguistic knowledge младенцев, различия могут присутствовать в других процессах. Поскольку более поздние языковые способности often показывали significant различия между полами, исследования, targeting mechanisms, отличные от обучения правилам, потребуются для оценки половых различий в других domains.
Заключение и выводы исследования
Реакции мозга, лежащие в основе обучения повторяющимся правилам, измеренные с помощью фНИРС, не проявляют половых различий при рождении или в шестимесячном возрасте, что позволяет предположить, что обучение правилам может быть robust и foundational способностью, обеспечивающей усвоение грамматики. Однако мы обнаружили большую право-левую асимметрию в активации у новорожденных мальчиков по сравнению с девочками, которую мы attribute к well-documented большей право-левой асимметрии в cerebral blood flow у мальчиков, чем у девочек в раннем возрасте. Кроме того, у новорожденных мы обнаружили большее вовлечение bilateral temporal areas по сравнению с лобной областью как для повторяющихся, так и для неповторяющихся последовательностей. Мы также обнаружили, что неповторяющиеся последовательности elicited большие ответы у шестимесячных детей, чем у новорожденных, особенно в bilateral frontal areas. Поскольку обучение правилам является foundational для усвоения языка, возможно, не surprising, что оно robust across полов в начале языкового опыта.