
Интересное сегодня
Как связаны СДВГ и чувство стыда: причины и способы исцелени...
Почему СДВГ и стыд так тесно связаны «Я опять пропустил дедлайн. Не могу заглянуть в почту. Чувствую...
Как мозг обрабатывает визуальную информацию для навигации: и...
Введение Даже при кратком взгляде на сцену человек быстро извлекает многоуровневую визуальную информ...
Роль активного движения в развитии зрительного восприятия: э...
Эксперимент Хелда и Хайна с котятами (1963) Хелд и Хайн (1963) продемонстрировали, что котята, актив...
Как ожидания влияют на восприятие боли: научное объяснение
Как ожидания влияют на восприятие боли Предыдущие ожидания могут значительно влиять на то, насколько...
Музыка и речь: кросс-культурный анализ их тональной структур...
Введение Одной из отличительных черт музыки является её комбинаторная система, использующая наборы д...
Эффективные компоненты программ добровольного домашнего визи...
Введение Родительство может быть стрессовым и требует регулярной переоценки новых жизненных ситуаций...
Введение в теорию кодирования событий
Согласно Теории кодирования событий (Hommel et al., 2001), выполнение реакции в тесной временной близости к стимулу, например, нажатие определенной клавиши в ответ на цвет слова, представленного на экране, достаточно для связывания их ментальных репрезентаций в transient event file или стимульно-реактивную (SR) связь. Если тот же стимул встречается снова, SR связь извлекается из памяти, реактивируя ранее связанную реакцию. Если извлеченная реакция также уместна в текущей ситуации, это приводит к облегчению реакции, в то время как она мешает реагированию, если извлеченная реакция неуместна (Rothermund et al., 2005; обзоры см. Frings et al., 2020, 2024).
Формирование и извлечение SR связей через наблюдение
Примечательно, что формирование таких SR связей не ограничивается самостоятельно выполняемыми действиями, но они также могут создаваться и впоследствии извлекаться, если реакция на стимул только наблюдается у другого человека (Giesen et al., 2014, 2017, 2018, 2021; Giesen & Rothermund, 2022). Это впервые продемонстрировали Giesen et al. (2014). В их исследовании пары участников выполняли совместную задачу категоризации цвета (observational SR binding task).
Экспериментальная парадигма
В prime trial (испытание n-1) один участник (prime actor) должен был категоризировать цвет слова-стимула. Другой участник (prime observer) видел то же слово, но не цвет, и должен был наблюдать за реакцией актора. В последующем probe trial (испытание n) участники менялись ролями: теперь бывший prime observer становился probe actor и должен был категоризировать цвет слова-стимула.
Интересно, что хотя probe actor только наблюдал за реакциями другого в prime trials, производительность probe actors отражала паттерн, согласующийся с эффектами SR связывания и извлечения. Это взаимодействие отношения стимула и совместимости реакций предполагает, что простое наблюдение за реакцией другого человека на слово-стимул в prime trial приводило к формированию observational SR связи у probe actor.
Роль социальной релевантности
Ключевым моментом является то, что в исследовании Giesen et al. (2014) эти observationally acquired stimulus-response binding and retrieval (oSRBR) эффекты возникали только тогда, когда между участниками создавалась ситуационная взаимозависимость путем инструкций либо сотрудничать, либо соревноваться за дополнительное вознаграждение. Однако когда они работали независимо, что означало, что получение вознаграждения зависело только от индивидуальной производительности, oSRBR эффекты не возникали.
Эти findings предполагают, что люди полагаются на наблюдаемые действия для руководства своей собственной производительностью только в том случае, если наблюдаемый человек социально релевантен для них. Эта идея further supported свидетельствами из парадигм, исследующих related phenomena в социальном контексте.
Связь с теорией социального научения
Люди часто приобретают свое поведение, наблюдая за другими. Однако человек не копирует каждое наблюдаемое поведение. Вместо этого то, будет ли действие скопировано, зависит от того, привлекает ли модель внимание наблюдателя и кажется ли достойной подражания
Согласно Giesen (2024), лежащий в основе когнитивный механизм этого может быть процессом взвешивания, идентичным intentional weighing (Memelink & Hommel, 2013).
Наблюдательные SR связи в онлайн-настройках
С растущим использованием социальных медиа в последние годы социальные взаимодействия больше не ограничиваются face-to-face настройками, но все чаще происходят онлайн (Kepios, 2024). Поэтому интересно, whether binding and retrieval by observation подвержены тем же процессам в обоих контекстах.
Giesen and Rothermund (2022) разработали онлайн-версию observational SR binding task. В их исследовании они found first evidence что oSRBR эффекты также подвержены социальным модуляциям в онлайн-взаимодействиях.
Социальный статус: определение и влияние
Социальный статус можно определить как относительный ранг индивида within a social hierarchy (Mattan et al., 2017). Социальные иерархии возникают в любом обществе или группе индивидов. Структура, обеспечиваемая этими иерархиями, полезна для социальной жизни.
Пути к социальному статусу
- Доминирование: различия в иерархии, typically resulting from fear
- Престиж: уважение и признание due to skills, knowledge, and/or success
Социальный статус имеет several important consequences для индивида within their group, включая влияние на оценку другими, поведение и когнитивные процессы.
Методология исследования
Оба эксперимента следовали одинаковой процедуре, если не указано иное. Участники выполняли онлайн-версию observational SR binding task, разработанную Giesen and Rothermund (2022).
Манипуляция статусом
Участники randomly assigned либо в условие высокого статуса (лидер), либо в условие низкого статуса (последователь). Лидеры оценивали производительность партнера и имели power решать, как дополнительное вознаграждение будет разделено между обоими партнерами.
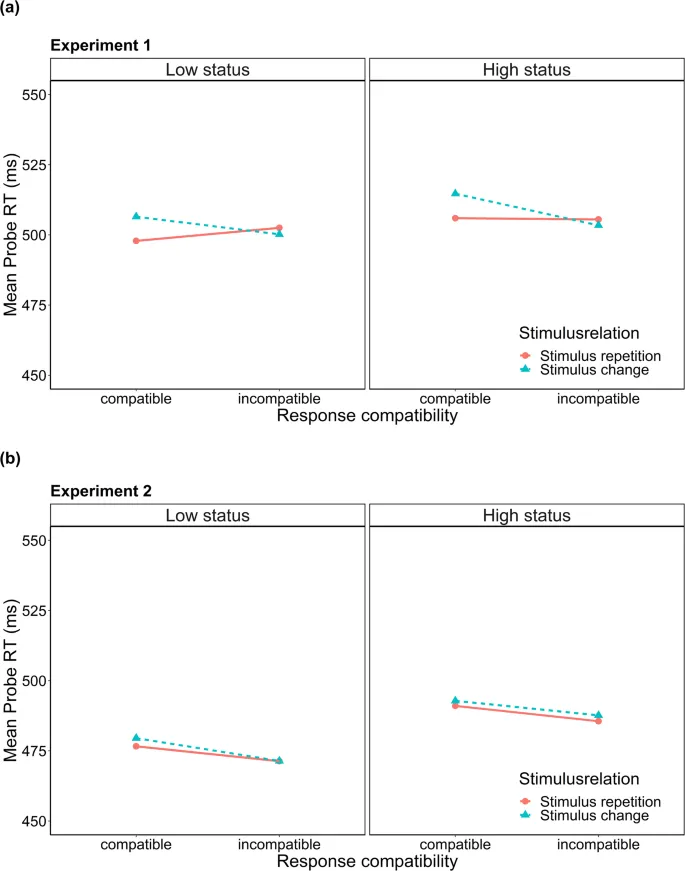
Результаты экспериментов
В Experiment 1 мы found significant SR retrieval effects в обоих conditions, независимо от социального статуса. В Experiment 2, где memory test был удален, не было retrieval of observationally acquired SR bindings ни в одной из групп.
Обсуждение результатов
Несмотря на successful manipulation checks, SR retrieval effects не differed как функция социального статуса. Это suggests что манипуляция статусом на основе power может быть insufficient для модуляции oSRBR эффектов в уже collaborative контексте.
Ограничения и будущие исследования
Проведение исследования в онлайн-среде rather than face-to-face могло повлиять на результаты. Future research могло бы использовать персонализированную информацию для более эффективной манипуляции статусом.
Выводы
Социальные статусные манипуляции не modulated oSRBR effects в двух экспериментах. Однако given diversity способов экспериментального индуцирования социального статуса, было бы premature утверждать, что никакая форма социального статуса не может влиять на oSRBR эффекты.