Влияние ингибиторных функций и возрастных различий на ассоциативную память

Влияние ингибиторных функций и возрастных различий на ассоциативную память

Интересное сегодня

Стресс и смешанные эмоции: как они влияют на ваше здоровье

Стресс меняет влияние смешанных эмоций на здоровье Представьте: вы получаете захватывающую новость ...

Как жёсткое воспитание влияет на детей: последствия и решени...

Что такое жёсткое воспитание? Вы, вероятно, не раз становились свидетелями ситуаций, когда родители ...

Ранняя диагностика аутизма: новые технологии и важность свое...

Эволюция диагностики аутизма Для родителей диагноз "аутизм" у ребенка становится поворотным моментом...

Воспаление при СДВГ: Анализ крови до и после лечения атомокс...

Введение в проблему воспаления при СДВГ Синдром дефицита внимания и гиперактивности (СДВГ) представл...

Эффективность контроля внимания: новые подходы к исследовани...

Введение Люди, как принято считать, действуют добровольно, когда могут выразить три способности: (1)...

Исцеление через связь: Почему некоторые люди не могут извини...

Мы исцеляемся через связь, а не через противостояние врагам. Враждебность возникает, когда человечес...

Рис. 1.
Рис. 1.
Рис. 2.
Рис. 2.
Рис. 3. Доли ответов пожилых и молодых взрослых в условиях интерференции.
Рис. 3. Доли ответов пожилых и молодых взрослых в условиях интерференции.
Рис. 4.
Рис. 4.
Рис. 5.
Рис. 5.
Рис. 6. Тепловые карты движений глаз.
Рис. 6. Тепловые карты движений глаз.
Рис. 7.
Рис. 7.
Thumbnail 1
Thumbnail 2
Thumbnail 3
Thumbnail 4
Thumbnail 5
Thumbnail 6
Thumbnail 7
Оригинал исследования на сайте автора

Влияние ингибиторных функций и возрастных различий на ассоциативную память

Введение

Ассоциативная память — это когнитивная способность связывать элементы информации между собой, будь то напрямую или посредством пространственных, временных или иных отношений (Raaijmakers & Shiffrin, 1981). Дефицит ассоциативной памяти часто наблюдается с возрастом (Naveh-Benjamin, 2000; Naveh-Benjamin et al., 2003, 2004; Old & Naveh-Benjamin, 2008). Множество исследований продемонстрировали возрастные нарушения ассоциативной памяти у пожилых людей, например, трудности с воспоминанием, где ранее видели человека (Chen & Naveh-Benjamin, 2012), и забывание источника информации (Boywitt et al., 2012).

Были предприняты многочисленные попытки понять причины таких ошибок ассоциативной памяти. Некоторые исследования фокусировались на роли внимания при кодировании и извлечении элементов и ассоциативных представлений (например, Castel & Craik, 2003; Naveh-Benjamin et al., 2004), другие — на влиянии стратегий кодирования на возрастные различия в ассоциативной памяти (например, Naveh-Benjamin et al., 2003; Dunlosky & Hertzog, 2001). Однако лишь немногие исследования были посвящены последствиям дефицита ингибиторных функций.

Ингибиторные функции — это способность человека подавлять импульсивные реакции и помехи от посторонней информации, чтобы выполнять действия, соответствующие намеченным целям (Diamond, 2013; Hasher & Zacks, 1988). Одна из возможных причин дефицита ассоциативной памяти у пожилых людей заключается в том, что из-за снижения ингибиторного контроля им может быть сложно подавлять неуместные мысли и действия, связанные с целевой ассоциацией, что нарушает формирование ассоциативных связей (Anderson & Levy, 2007; Hasher, 2015; Hasher & Zacks, 1988; Lustig et al., 2007; Xu et al., 2024). Недавний обзор исследований по теме «гиперсвязывания» (hyperbinding) также подтвердил эту гипотезу, предполагая, что у пожилых людей формируется слишком много нецелевых ассоциаций из-за снижения контроля внимания (Campbell & Davis, 2024).

Влияние интерферирующих стимулов и теория «размытых следов»

Свойства интерферирующих стимулов могут модулировать формирование ассоциативных представлений. Семантически связанные интерферирующие стимулы, разделяющие «суть» (gist), оказывают большее влияние на формирование ассоциативной памяти, чем несвязанные стимулы (Bürki et al., 2020; Connelly & Hasher, 1991; Hamilton & Martin, 2007). В реальной жизни, например, при запоминании дня рождения друга (например, 10 мая) путаница может возникнуть из-за дня рождения другого друга, который приходится на близкую дату (например, 12 мая), поскольку они разделяют один и тот же «суть». Однако несвязанный помеха, такая как рабочий дедлайн, окажет минимальное влияние на точность воспоминания.

Тем не менее, до сих пор неясно, существуют ли возрастные различия в этом эффекте интерференции. В частности, остается неясным, могут ли пожилые люди подавлять интерференцию, связанную с «сутью», возникающую из множества целевых ассоциаций.

Теория «размытых следов» (fuzzy trace theory) предполагает, что эпизодическая память кодируется двумя отдельными следами: «дословным» следом (verbatim trace), который фиксирует конкретные детали эпизода, и «сущностным» следом (gist trace), который улавливает смысл или семантические особенности (Brainerd & Reyna, 1990, 2004; Reyna, 1995; Reyna & Brainerd, 1995). «Суть» — это внутреннее, абстрактное представление смысла.

Что касается влияния старения на память, теория «размытых следов» утверждает, что пожилые люди демонстрируют дефицит в «дословных» представлениях, но их «сущностные» представления остаются хорошо сохраненными (Brainerd & Reyna, 2015). Недавние исследования предоставили убедительные доказательства того, что возрастные дефициты ассоциативной памяти ограничиваются извлечением конкретных представлений, будь то элементы (item) (Abadie et al., 2021) или ассоциативная память (Greene & Naveh-Benjamin, 2020), в то время как «сущностные» представления с большей вероятностью сохраняются.

Эксперимент 1: Влияние интерференции на ассоциативную память

В настоящем исследовании, в Эксперименте 1, мы манипулировали свойствами интерферирующих стимулов, чтобы напрямую изучить возрастные различия в эффектах интерференции на ассоциативную память. В частности, на основе парадигмы ассоциативной памяти, включающей «дословные» и «сущностные» представления (Greene & Naveh-Benjamin, 2022a, 2022b), интерферирующие слова предъявлялись в условиях «суть-связанной» (gist-related) и «несуть-связанной» (nongist-related) интерференции.

Один из возможных сценариев заключается в том, что пожилые люди имеют ограниченные когнитивные ресурсы, такие как ограниченная рабочая память (Reinhart & Nguyen, 2019), что не оставляет места для обработки семантической информации интерферирующих стимулов. Это, вероятно, приведет к отсутствию различий, когда интерферирующие стимулы будут либо «суть-связанными», либо «несуть-связанными» (Lavie, 2010). Альтернативно, поскольку формирование «сущностных» представлений является автоматическим и независимым от формирования «дословных» представлений (Greene & Naveh-Benjamin, 2023a, 2023b), пожилые люди могут демонстрировать больший эффект интерференции от «суть-связанных» стимулов по сравнению с молодыми взрослыми из-за нарушения их ингибиторного контроля.

Кроме того, мы протестировали ингибиторные функции участников с помощью модифицированной версии теста Струпа (Stroop task) и использовали анализ условных процессов (conditional processing analysis) для изучения роли ингибиторных функций в связи между возрастом и производительностью ассоциативной памяти.

Эксперимент 2: Влияние острой тренировки ингибиторных функций

Дополнительно мы исследовали, может ли улучшение ингибиторных функций быть полезным для ассоциативной памяти пожилых людей. Накопленные эмпирические данные свидетельствуют о том, что целенаправленная тренировка ингибиторных функций является перспективным методом улучшения памяти у пожилых людей (Aizpurua & Koutstaal, 2010; Bomyea & Amir, 2011; Chiu et al., 2018; Ji et al., 2016; Nguyen et al., 2019; Xu et al., 2023).

Однако остается неясным, как острая тренировка ингибиторных функций может смягчить пагубное влияние дефицита ингибиторных функций на «сущностные» и «дословные» представления ассоциативной памяти у пожилых людей. Эксперимент 2 был разработан для систематического изучения эффектов острой тренировки ингибиторных функций на ассоциативную память у пожилых людей. Для тренировки ингибиторных функций был выбран тест Фланкера (Flanker task; Eriksen & Eriksen, 1974), поскольку он эффективно выявляет ингибирование интерференции — процесс, тесно связанный с когнитивными требованиями экспериментальной задачи. Кроме того, предыдущие исследования продемонстрировали убедительные тренировочные эффекты теста Фланкера на ингибиторную пластичность (Melara et al., 2018; Nguyen et al., 2019; Zhao et al., 2018).

Для записи движений глаз во время кодирования памяти использовался айтрекинг (eyetracking) с целью фиксации распределения внимания на этапе кодирования у пожилых людей, что может отражать тренировочные эффекты ингибиторных функций. Кроме того, использовалось моделирование структурными уравнениями (structural equation modeling) для изучения роли острой тренировки ингибиторных функций в ассоциативной памяти пожилых людей.

Вопросы исследования

В целом, в двух экспериментах настоящего исследования мы задали четыре вопроса (подробности см. в Таблице 1):

  • 1. Оказывает ли «суть»-интерференция большее влияние на ассоциативную память у пожилых людей, чем «несуть»-интерференция?
  • 2. Как ингибиторные функции влияют на связь между возрастом и производительностью ассоциативной памяти?
  • 3. Улучшает ли острая тренировка ингибиторных функций ассоциативную память у пожилых людей?
  • 4. Каким образом острая тренировка ингибиторных функций улучшает ассоциативную память пожилых людей?

Для сравнения «суть-связанных» и «несуть-связанных» интерферирующих стимулов на ассоциативную память мы использовали модифицированную парадигму совместного распознавания (simplified conjoint recognition, SCR). Для измерения «дословных» и «сущностных» представлений ассоциативной памяти использовалась модель многомерных деревьев обработки (multinomial processing tree, MPT) (Stahl & Klauer, 2008). В Эксперименте 2 мы использовали айтрекинг для измерения преимуществ острой тренировки ингибиторных функций. Для анализа потенциальных путей между дефицитом ингибиторных функций и эффектами острой тренировки на ассоциативную память также применялись анализ условных процессов и моделирование структурными уравнениями.

Таблица 1. Дизайн исследования
Параметр Эксперимент 1 Эксперимент 2
Цель Исследовать возрастные различия в ассоциативной памяти под влиянием «суть»- и «несуть»-интерференции. Оценить роль ингибиторных функций. Оценить влияние острой тренировки ингибиторных функций на ассоциативную память пожилых людей.
Участники 40 молодых и 40 пожилых взрослых. 30 пожилых взрослых.
Дизайн Межгрупповой: молодые vs. пожилые. Внутригрупповой: «суть»-интерференция vs. «несуть»-интерференция. Рандомизированный контролируемый дизайн: группа острой тренировки ингибиторных функций vs. контрольная группа.
Задачи Парадигма SCR, тест Струпа. Парадигма SCR, тест Фланкера (тренировка), айтрекинг.
Основные меры Точность ассоциативной памяти, MPT-параметры, результаты теста Струпа. Точность ассоциативной памяти, MPT-параметры, данные айтрекинга, результаты моделирования структурными уравнениями.

Эксперимент 1: Методы

Прозрачность и открытость

Все процедуры Экспериментов 1 и 2 были одобрены Этическим комитетом (IRB) факультета психологии Юго-Западного университета (номер IRB H22113). Для обеспечения прозрачности и открытости все данные, материалы и скрипты анализа доступны на OSF: https://osf.io/793ge/. Эксперимент 1 был предварительно зарегистрирован на Aspredicted: https://aspredicted.org/tq9uq.pdf. Эксперимент 2 был предварительно зарегистрирован на https://aspredicted.org/5hc9a.pdf. Мы также сообщили, как определялся размер выборки, какие данные были исключены, все манипуляции и все измерения.

Участники

Для участия были привлечены восемьдесят здоровых молодых и пожилых взрослых из Юго-Западного университета и местного сообщества, по 40 человек в каждой возрастной группе. Размер выборки определялся на основе предыдущих исследований (например, Greene & Naveh-Benjamin, 2020), которые предполагали, что выборки из 30 участников в каждой возрастной группе достаточно для выявления возрастных различий в «дословной» и «сущностной» памяти. Участники были носителями китайского языка с нормальным или скорректированным до нормального зрением и слухом, без неврологических и психических расстройств. В эксперимент были включены пожилые люди с баллом выше 25 по Краткому мини-опроснику психического статуса (Mini-Mental State Examination, MMSE; Folstein et al., 1975) (диапазон MMSE: 26–30; M = 28.98, SD = 1.11). Данные одной пожилой участницы были исключены, поскольку она показала результаты ниже уровня угадывания в задаче на память (ID: 13; Accuracy, ACC = 0.30). В результате, 39 пожилых взрослых (33 женщины; возраст: 57–78 лет; M = 69.10, SD = 5.20; лет образования: M = 10.15, SD = 2.29) и 40 молодых взрослых (33 женщины; возраст: 18–27 лет; M = 21.6, SD = 2.25; лет образования: M = 15.68, SD = 2.14) были включены в последующие статистические анализы. Сбор данных проводился с 2022 по 2023 год.

Стимульный материал

Стимульный материал состоял из 120 изображений сцен, 120 целевых слов и 60 интерферирующих слов, которые были скомбинированы для формирования 120 пар «сцена-слово». Эти 120 пар были затем разделены на шесть экспериментальных блоков и два тренировочных блока. Каждый экспериментальный блок состоял из 16 пар «сцена-слово» как для фазы изучения, так и для фазы тестирования, что составило в общей сложности 96 пар в каждой фазе. Оставшиеся 24 пары были выделены для тренировочных блоков, по 12 пар «сцена-слово» в каждом блоке.

Изображения сцен были взяты из набора изображений различных категорий (Konkle et al., 2010). В каждой категории случайным образом выбирались два изображения. Целевые слова были взяты из оригинального списка Deese-Roediger-McDermott (DRM) (Deese, 1959; Roediger & McDermott, 1995).

Интерферирующие слова включали два типа: «суть-связанные» (gist) и «несуть-связанные» (nongist). «Суть-связанные» интерферирующие слова были выбраны из списков DRM как слова-ловушки, которые имели семантическую корреляцию с целевыми словами (например, «сон» как «суть-слово» для «дремать» и «зевать»). «Несуть-связанные» интерферирующие слова, напротив, были новыми словами без семантической связи с целевыми словами (например, «камень» как «несуть-слово» для «школа» и «портфель»).

Перед экспериментом мы привлекли 30 пожилых и 30 молодых взрослых для оценки материалов, в ходе которой участникам предлагалось оценить по шкале от 1 до 7, насколько тесно два целевых слова семантически связаны с «суть-словом». Результаты показали, что «суть-связанные» пары (два целевых слова и одно «суть-слово») имели более высокую оценку (M = 6.55, SD = 0.34), чем «несуть-связанные» пары (два целевых слова и одно «несуть-слово»; M = 1.26, SD = 0.33; t59 = 62.44, p < .001).

Процедура

Эксперимент 1 состоял из двух фаз: изучения и тестирования. В фазе изучения участникам предъявлялись пары «сцена-слово» в течение 4 секунд на каждое предъявление. После предъявления каждой пары участникам предлагалось оценить, насколько хорошо сцена соответствует слову, по шкале от 1 до 7. В фазе тестирования участникам предъявлялись изображения сцен, и им нужно было выбрать одно из четырех предложенных слов, которое, по их мнению, соответствовало данной сцене. Варианты ответов включали целевое слово, «суть-связанное» интерферирующее слово, «несуть-связанное» интерферирующее слово и случайное слово, не связанное ни с одним из них.

Анализ

Для анализа данных использовалась модель многомерных деревьев обработки (MPT), позволяющая оценить вероятность активации «дословных» и «сущностных» представлений, а также параметры смещения ответа. Также применялся анализ условных процессов для изучения медиаторной роли ингибиторных функций.

Результаты Эксперимента 1

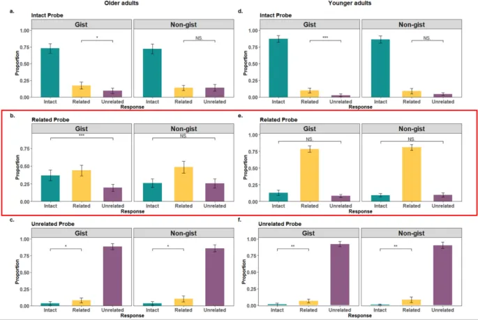
Результаты показали, что пожилые люди демонстрировали более выраженную интерференцию от «суть-связанных» слов по сравнению с молодыми взрослыми. Это указывает на склонность пожилых людей к «гиперсвязыванию» — формированию избыточных ассоциаций, что снижает точность воспоминания. Анализ ингибиторных функций выявил, что низкий уровень ингибирования коррелирует с более высокой степенью интерференции у пожилых участников.

[figure 3]
Рис. 3. Доли ответов пожилых (a, b, c) и молодых (d, e, f) взрослых в условиях «суть»-интерференции и «несуть»-интерференции для трех типов проб (интактная, связанная и несвязанная). Красная рамка показывает эффект взаимодействия возраста и условия интерференции на долю связанных ответов, ошибочно идентифицированных как интактные (RI). Примечание: Значимость отражает контраст неправильных ответов для каждой пробы (например, ответы «связанные» против «несвязанные» для интактных проб). *p < .05.

Эксперимент 2: Методы

Участники

В Эксперименте 2 приняли участие 30 пожилых взрослых (20 женщин; возраст: 60–79 лет; M = 70.50, SD = 4.80; лет образования: M = 9.85, SD = 2.15). Они были набраны из местного сообщества и имели нормальное или скорректированное до нормального зрение и слух, без неврологических или психических расстройств. Все участники имели балл выше 25 по MMSE (M = 29.10, SD = 0.98).

Процедура

Участники были случайным образом распределены в одну из двух групп: группа острой тренировки ингибиторных функций (n = 15) или контрольная группа (n = 15). Обе группы прошли парадигму SCR, аналогичную Эксперименту 1, с использованием «суть-связанных» и «несуть-связанных» интерферирующих стимулов. Перед фазой изучения ассоциативной памяти группа острой тренировки прошла 30-минутную тренировку по тесту Фланкера. Контрольная группа провела это время, выполняя ненаправленную задачу на сортировку карточек.

Для измерения распределения внимания во время кодирования памяти использовался айтрекинг. Данные о движениях глаз были записаны с частотой 500 Гц.

Анализ

Анализ данных включал оценку точности ассоциативной памяти, MPT-моделирование для оценки «дословных» и «сущностных» представлений, а также анализ данных айтрекинга (фиксированная продолжительность, количество фиксаций). Для оценки влияния тренировки на ассоциативную память была использована модель структурных уравнений.

Результаты Эксперимента 2

Анализ данных айтрекинга показал, что участники из группы острой тренировки ингибиторных функций демонстрировали более короткую продолжительность фиксации и меньшее количество фиксаций на интерферирующих словах во время фазы изучения по сравнению с контрольной группой. Это свидетельствует о более эффективном игнорировании помех.

[figure 6]
Рис. 6. Тепловые карты движений глаз для показательного стимула, где продолжительность фиксации на области AOI (area of interest) интерферирующего слова была значительно короче в группе острой тренировки по сравнению с контрольной группой. Вкратце, результаты движений глаз выявили достоверный эффект острой тренировки, с большим распределением внимания на целевые слова, чем на интерферирующие слова.
Таблица 3. Показатели движений глаз в группах острой тренировки и контроля
Показатель Группа острой тренировки Контрольная группа p-значение
Средняя продолжительность фиксации (мс) 185.2 ± 25.1 230.5 ± 30.2 0.008
Общее количество фиксаций 8.1 ± 1.5 10.3 ± 1.8 0.015
Процент фиксаций на целевом слове (%) 65.3 ± 5.2 59.8 ± 4.9 0.031
Процент фиксаций на интерферирующем слове (%) 22.1 ± 4.1 30.5 ± 4.5 0.009

Пропорции ответов и результаты MPT

Результаты по пропорциям ответов показали отсутствие значимых различий в точности между группой острой тренировки и контрольной группой (подробности см. на Рис. S3 в Дополнительных материалах). Результаты MPT также не выявили значимых различий ни по одному из параметров модели MPT между группами острой тренировки и контроля. Таблица 4 показывает результаты оценки параметров для каждой группы в условиях «суть»- и «несуть»-интерференции. Лесные диаграммы показывают сравнения между двумя группами (подробности см. на Рис. S4 в Дополнительных материалах).

Таблица 4. Оценка параметров MPT для условий «суть» и «несуть» интерференции в группах тренировки и контроля в Эксперименте 2
Параметр MPT Группа острой тренировки Контрольная группа
«Суть»-интерференция «Несуть»-интерференция «Суть»-интерференция «Несуть»-интерференция
g (вероятность «сущностного» представления) 0.75 ± 0.08 0.78 ± 0.07 0.72 ± 0.09 0.76 ± 0.08
d (вероятность «дословного» представления) 0.42 ± 0.05 0.45 ± 0.06 0.40 ± 0.07 0.43 ± 0.05
G (смещение ответа) 0.30 ± 0.10 0.35 ± 0.12 0.28 ± 0.11 0.33 ± 0.10

Моделирование структурными уравнениями

Четыре параметра движений глаз (т.е. FD, FD_P, FIX и FIX_P) сформировали латентную переменную «интерференция», отражающую фиксации пожилых взрослых на области AOI интерферирующего слова, со стандартизированными оценками 0.96, 0.98, 0.99 и 0.99 соответственно. Острая тренировка была отрицательно коррелирована с интерференцией (β = -0.32, p = 0.01) и не имела прямой связи с ответом «интактный» на связанные пробы (β = 0.18, p = 0.12) и точностью памяти (β = -0.06, p = 0.49). Интерференция была положительно коррелирована с ответом «интактный» на связанные пробы (β = 0.50, p < .001) и точностью памяти (β = 0.15, p = 0.04).

Структурная модель:

  • Острая тренировкаИнтерференция (β = -0.32, p = 0.01)
  • ИнтерференцияОтвет «интактный» на связанные пробы (β = 0.50, p < .001)
  • ИнтерференцияТочность памяти (β = 0.15, p = 0.04)

Эти результаты показывают, что острая тренировка ингибиторных функций снижает общую интерференцию (т.е. фиксации на интерферирующих словах). Сниженная интерференция, в свою очередь, связана с большей вероятностью правильного ответа на связанные пробы, что указывает на формирование ассоциативной памяти у пожилых людей. Однако преимущества острой тренировки не отразились на производительности памяти, что предполагает, что однократная острая тренировка является тонкой и недостаточной для значительного улучшения ассоциативной памяти.

Обсуждение

Наше исследование проливает свет на сложные взаимоотношения между возрастом, ингибиторными функциями и ассоциативной памятью. Эксперимент 1 показал, что пожилые люди более подвержены «суть-связанной» интерференции, что согласуется с идеей о «гиперсвязывании» и снижении ингибиторного контроля.

Основные выводы:

  1. Возрастные различия в интерференции: Пожилые люди демонстрируют повышенную чувствительность к «суть-связанной» интерференции, что может быть связано с дефицитом ингибиторных функций.
  2. Роль ингибиторных функций: Ингибиторные функции играют медиаторную роль в возрастном снижении ассоциативной памяти.
  3. Эффективность тренировки: Острая тренировка ингибиторных функций (в Эксперименте 2) продемонстрировала способность снижать интерференцию, что отразилось в данных айтрекинга, но не привела к значительным улучшениям в поведенческих показателях памяти.
  4. Механизмы улучшения: Поведенческий механизм улучшения ассоциативной памяти через тренировку ингибиторных функций, вероятно, связан с оптимизацией распределения внимания у пожилых людей.

Ограничения и будущие направления:

  • Однократная тренировка: Эффекты однократной тренировки ингибиторных функций могут быть краткосрочными и недостаточными для устойчивых улучшений. Будущие исследования должны изучить эффекты длительных тренировочных программ.
  • MPT-моделирование: Хотя MPT-модели предоставляют ценные оценки «дословных» и «сущностных» представлений, они являются инструментами измерения и не дают прямого представления о лежащих в основе психологических процессах.
  • «Фантомные» воспоминания: В условиях «суть»-интерференции тестовые слова, связанные с «сутью», предъявлялись как слова-помехи, которые должны были игнорироваться на этапе изучения. В отличие от этого, слова в «несуть»-условии не предъявлялись, но были семантически связаны с целевыми словами. Для решения этой проблемы мы оценили новую MPT-модель с параметром «фантомного» воспоминания (phantom recollection parameter), который отражает воспоминание об интерферирующих словах (Greene & NavehBenjamin, 2024; Stahl & Klauer, 2009). Результаты не показали статистически значимых различий в параметрах «фантомного» воспоминания между двумя условиями интерференции. Это предполагает, что конфаундинговый эффект повторного предъявления слов может быть ограничен.
  • Психологические импликации MPT-параметров: MPT-модели, основанные на теории «размытых следов», предоставляют оценки вероятности того, что участники обращаются к своим «дословным» или «сущностным» представлениям, а также оценки смещения ответа. Тем не менее, интерпретация этих оценок модели должна проводиться с осторожностью. Это связано с тем, что MPT-модель по своей природе является инструментом измерения. Хотя она может количественно моделировать различимые процессы памяти на основе теоретических предположений, она не предоставляет прямых доказательств лежащих в основе психологических процессов и не объясняет, как эти процессы возникают. Несмотря на то, что наши MPT-модели хорошо соответствуют текущим данным, необходимы дополнительные исследования для оценки и проверки психологических следствий этих MPT-параметров, таких как различные стратегии угадывания или «фантомные» воспоминания.

Заключение

В заключение, ингибиторные функции играют медиаторную роль в возрастном снижении ассоциативной памяти, а также в ее пластичности. Из-за нарушения ингибиторных функций «суть»-представления, в большей степени, чем «несуть»-представления, интерферируют с ассоциативной памятью у пожилых людей, что приводит к формированию большего количества неточных ассоциаций во время кодирования памяти, или «гиперсвязыванию», что в конечном итоге увеличивает интерференцию при извлечении ассоциативной памяти.

Кроме того, существует возможность тренировки ингибиторных функций для улучшения ассоциативной памяти у пожилых людей, и поведенческий механизм этого заключается в оптимизации распределения внимания у пожилых людей. Наше исследование предоставляет направление для клинических вмешательств, направленных на улучшение ассоциативной памяти.

Общественная значимость

Память зависит как от удержания релевантной информации, так и от фильтрации того, что нерелевантно. Ассоциативная память — способность связывать элементы эпизода — снижается с возрастом, частично из-за уменьшенной способности подавлять знакомую, но нерелевантную информацию. Однако то, как этот дефицит ингибирования проявляется в реальном времени и могут ли краткосрочные вмешательства его улучшить, остается неясным. Это важно для пожилых людей, которые часто сталкиваются с интерференцией от похожих или перекрывающихся воспоминаний, таких как рутины приема лекарств или распознавание различных дорожных знаков.

В двух экспериментах мы исследовали, опосредует ли ингибиторная функция возрастные дефициты ассоциативной памяти и может ли острая тренировка ингибиторных функций облегчить такую интерференцию. Эксперимент 1 показал, что пожилые люди больше подвержены «суть-связанной» интерференции, что указывает на тенденцию к «гиперсвязыванию» с похожей, но нерелевантной информацией. Эксперимент 2 использовал айтрекинг для изучения эффектов острой тренировки ингибиторных функций. Эта тренировка помогла пожилым людям более эффективно игнорировать помехи, о чем свидетельствует уменьшение продолжительности взгляда и частоты фиксаций на областях интерференции, что является маркером более эффективного контроля внимания. Эти улучшения в внимании предсказывали усиление ассоциативной памяти.

Наши выводы предполагают, что ингибиторная функция способствует возрастным дефицитам памяти и проявляет краткосрочную пластичность. Тренировка пожилых людей перенаправлять свое внимание от нерелевантной информации может быть перспективной стратегией для поддержания их когнитивного здоровья. На практике эти выводы предполагают, что вмешательства, такие как упрощение медицинских этикеток или предупреждающих знаков — снижение «шума» окружающей среды — могут быть более эффективными, чем просто призывы к пожилым людям «лучше запоминать».

Короткие версии статей можно найти в телеграм-канале.

Посмотреть канал
Кликните еще раз для перехода

Acuvue Oasys -8,00 BC 8,4 №6 | Комфорт и УФ-защита

Контактные линзы Acuvue Oasys BC=8,4 -8,00 №6 обеспечивают высокий комфорт благодаря технологии HYDR...

Акулий жир крем для ног от варикоза и отеков с акацией, 75 м...

Крем для ног «Акулий жир» с экстрактом акации эффективно борется с ощущением тяжести, отеками и вари...

Контейнер Манчкин «Поймай Печенье» 12+ для детей

Манчкин Контейнер «Поймай Печенье» 12+ — удобный и безопасный способ хранения детских закусок. Проре...

Нести Данте мыло деликатное 250 г для чувствительной кожи

Нести Данте Мыло Каролина и Эдуардо Деликатное 250 г — мягкое гигиеническое мыло для чувствительной ...

Крем А-Дерма Экзомега Контрол для лица и тела 400 мл

Крем А-Дерма Экзомега Контрол для лица и тела эффективно увлажняет, смягчает и успокаивает сухую, ск...

Купить Нау Убихинол Капс. 100Мг №60 – Гомеопатическое Средст...

Нау Убихинол Капс. 100 мг №60 – многокомпонентный гомеопатический препарат для комплексной поддержки...