
Интересное сегодня
Продолженное вовлечение в качественных исследованиях: ключев...
Основные компоненты продолженного вовлечения Продолженное вовлечение — это стратегия, направленная ...
Дефицит дофамина: скрытая причина депрессии и как его воспол...
Дофамин: неожиданный виновник депрессии? В последние годы дофамин оказался в центре внимания, и не в...
Социальное внимание в естественной среде: фиксации на глаза ...
Введение Внимание к социальным стимулам является ключевым компонентом социального поведения и способ...
Исследование POINTER: может ли здоровый образ жизни предотвр...
Исследование POINTER: первые впечатления 30 июля 2025 года были опубликованы результаты масштабного ...
Источники счастья: Влияние внутренних и внешних факторов
Введение Что делает людей счастливыми? Является ли счастье результатом внутренних личностных ...
Как яркость и возбуждение влияют на восприятие времени: иссл...
Введение Способность воспринимать время лежит в основе множества когнитивных процессов, включая вним...
Введение в исследование
Развитие индустрии видеоигр в последние годы оказало значительное влияние на общество. Статистика показывает, что в 2021 году в мире насчитывалось около 3,0 миллиардов игроков, что означает рост числа игроков на 5% в течение года. Вместе с ростом популярности видеоигр увеличилось количество исследований, изучающих взаимосвязь между игровой деятельностью, когнитивными функциями и структурой мозга.
Методология исследования
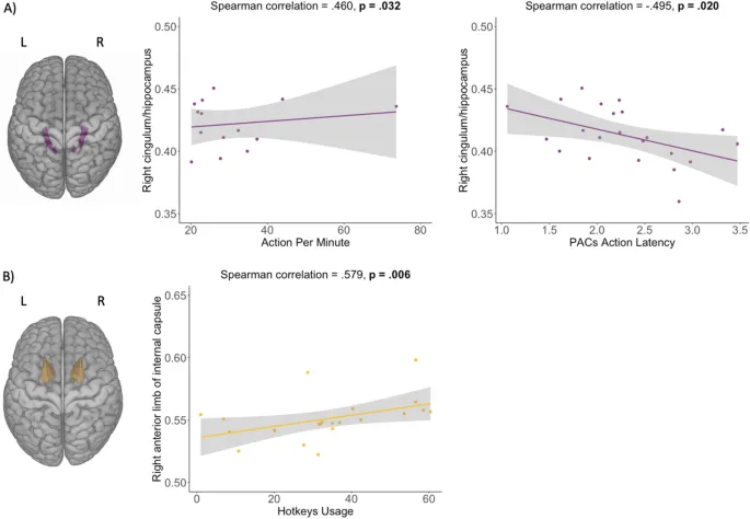
В исследовании приняли участие 22 человека без опыта в стратегических играх, которые прошли 30-часовое обучение игре StarCraft II. Перед началом тренировок всем участникам провели диффузионную магнитно-резонансную томографию (дМРТ) для оценки целостности белого вещества мозга.
Ключевые показатели игры
- Действия в минуту (APM) - среднее количество действий, выполняемых игроком в минуту
- Задержка действия в цикле восприятия-действия (PAC) - время между переключением внимания и первым действием
- Использование горячих клавиш - количество нажатий горячих клавиш в минуту
Результаты исследования
Результаты показали значительную корреляцию между целостностью белого вещества и успехами в игре. Более высокая фракционная анизотропия (показатель целостности белого вещества) в правой части поясной извилины/гиппокампа была связана с лучшими показателями APM и меньшей задержкой PAC.
Нейронные корреляты
Целостность белого вещества в правой передней ножке внутренней капсулы положительно коррелировала с использованием горячих клавиш. Также была обнаружена связь между FA в левом нижнем продольном пучке и игровыми показателями.
Результаты свидетельствуют о том, что индивидуальные нейронные предрасположенности могут влиять на эффективность обучения сложным навыкам
Обсуждение результатов
Полученные данные согласуются с предыдущими исследованиями, демонстрирующими важность характеристик мозга в эффективности обучения сложным навыкам. Обнаруженные области белого вещества участвуют в психомоторных функциях, способности к переключению задач и визуально ориентированному принятию решений.
Практическое значение
Результаты могут найти применение в идентификации нейронных attributes успеха киберспортсменов и прогнозировании outcomes интервенционных исследований. Исследование подчеркивает важность нейровизуализационных исследований с акцентом на белое вещество.
Ограничения исследования
Исследование имеет несколько ограничений, включая относительно небольшой размер выборки и focus только на ассоциациях между предтренировочными показателями белого вещества и игровой производительностью. Будущие исследования должны учитывать полный процесс игры и различия между группами.
Заключение
Представленная работа дает представление о процессе обучения сложным задачам и важности индивидуальных различий в белом веществе для его эффективности. Результаты расширяют доступные исследования, используя два разных подхода к анализу микроструктуры белого вещества.