
Интересное сегодня
Как тепло помогает снизить тревожность при анорексии: научно...
Введение Нервная анорексия (НА) — тяжёлое психическое расстройство, преимущественно поражающее девуш...
Нарушение контекстной обработки эмоций при аутизме: исследов...
Введение в обработку эмоций и аутизм Распознавание и обработка эмоций являются essential (необходимы...
Нейронные корреляты изменённого внимания к вознаграждению пр...
Введение Хроническая боль является серьезной проблемой, затрагивающей миллионы людей по всему миру. ...
Факторы, влияющие на восприятие пользы пациентами с псориазо...
Введение Псориаз (PSO) — это хроническое воспалительное дерматологическое заболевание, которое влияе...
Целевые участки силово-скоростного соотношения, задействован...
Введение Некоторые виды спорта требуют моторных навыков, включая высокоскоростные движения тела, тол...
Как тревожность влияет на принятие решений: причины и способ...
Как тревожность влияет на принятие решений? Тревожные расстройства могут значительно нарушать процес...
Введение
Перистальтическое движение биологических жидкостей является естественным способом перемещения этих жидкостей в некоторых органах живых организмов. Знание перистальтического движения, возникающего в сосудах и каналах в результате сил, представленных градиентами давления, значительно способствует пониманию переноса этих жидкостей внутри организма.
Математическая формулировка
Рассматривается несжимаемое течение не-ньютоновской наножидкости Сиско в симметричном горизонтальном упругом канале. Жидкость движется внутри канала перистальтическим движением через пористую среду под влиянием магнитного поля.
Уравнения сохранения
Уравнение непрерывности для сохранения массы записывается как:
∇ · q = 0
Граничные условия
Соответствующие граничные условия могут быть записаны следующим образом:
- При y = -1 - ε sin 2πx: u = 0, ∂θ/∂y = Bi₂θ
- При y = 1 + ε sin 2πx: u = 0, ∂θ/∂y = Bi₁(1 - θ)
Численные решения
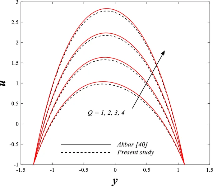
Численный метод Рунге-Кутты является одним из наиболее важных методов численного анализа, используемых для решения систем обыкновенных дифференциальных уравнений. Для решения была использована программа MATLAB с применением функции bvp4c.
Результаты и обсуждение
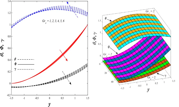
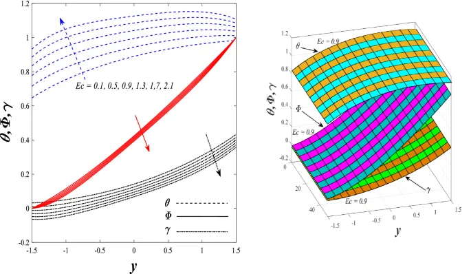
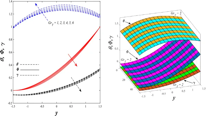
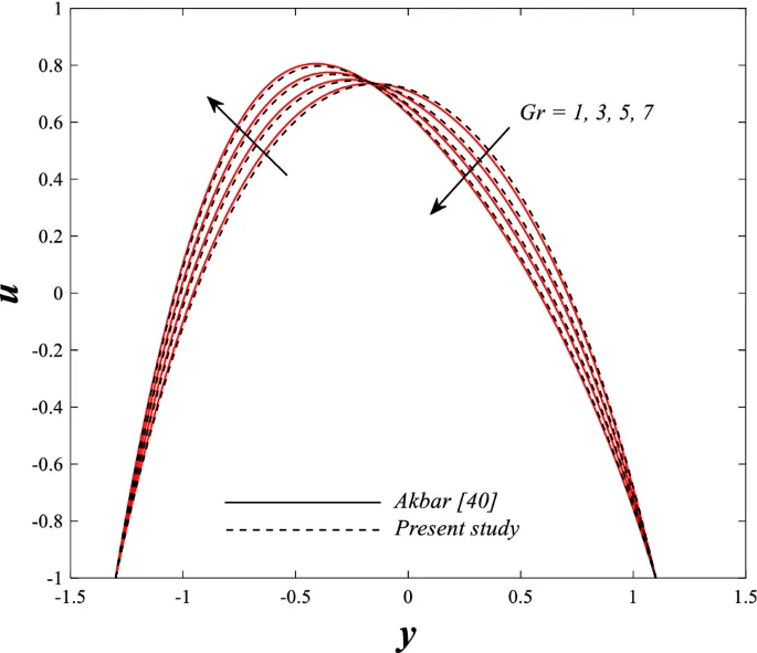
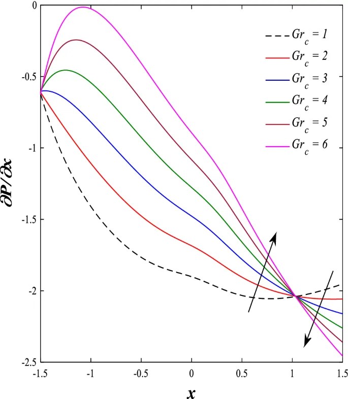
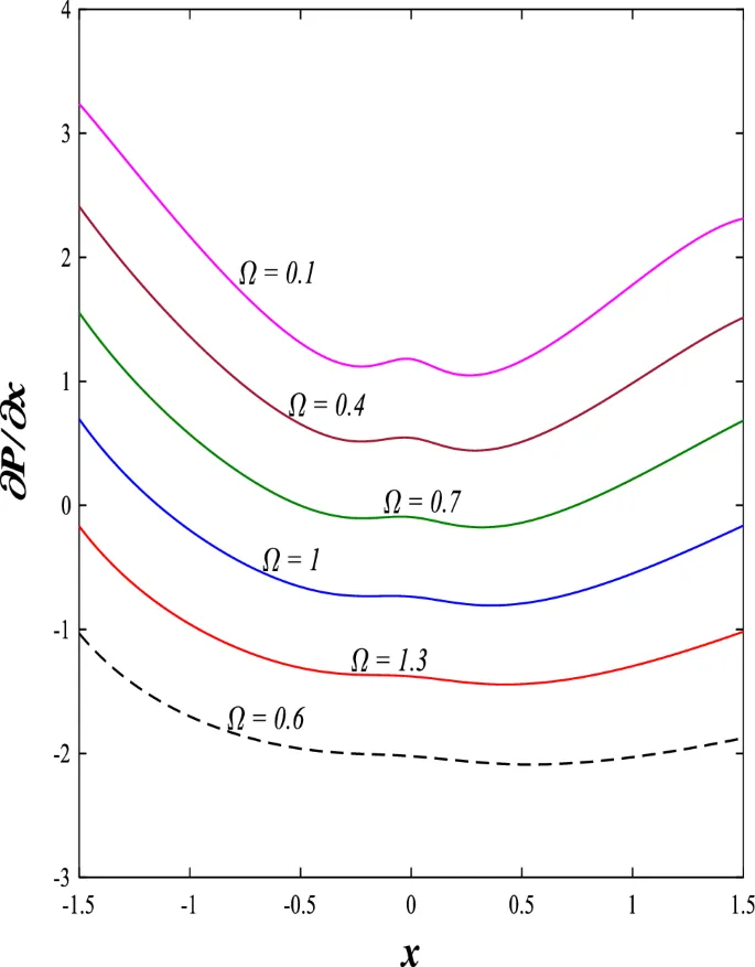
В данном разделе обсуждаются эффекты всех физических параметров на распределения осевой скорости, температуры, солевой концентрации и объемной доли наночастиц.
Распределение осевой скорости
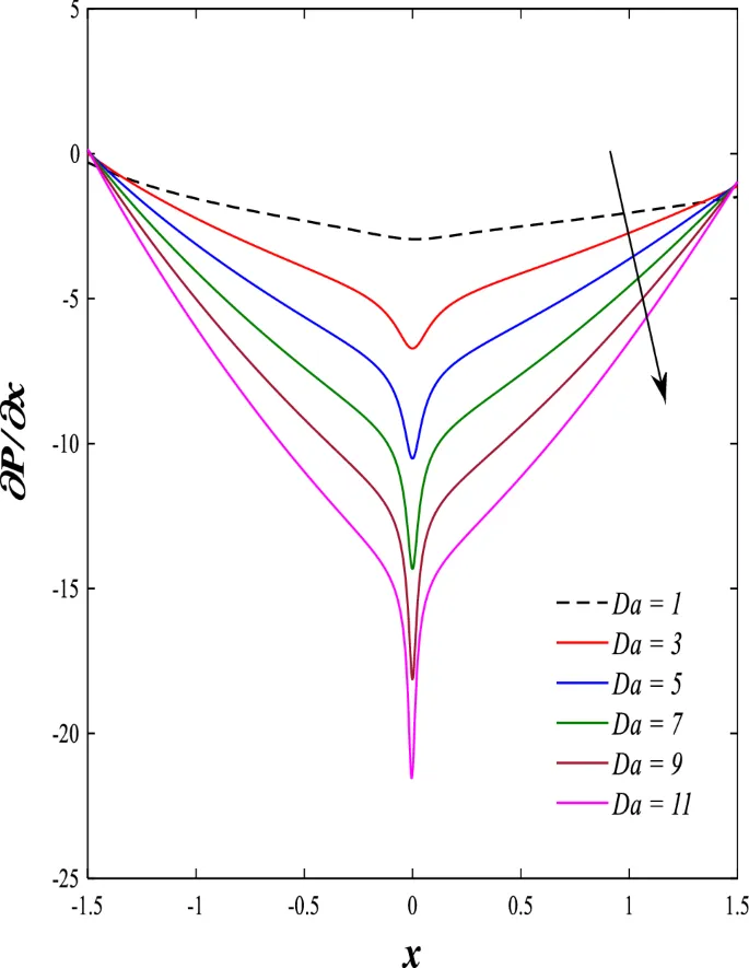
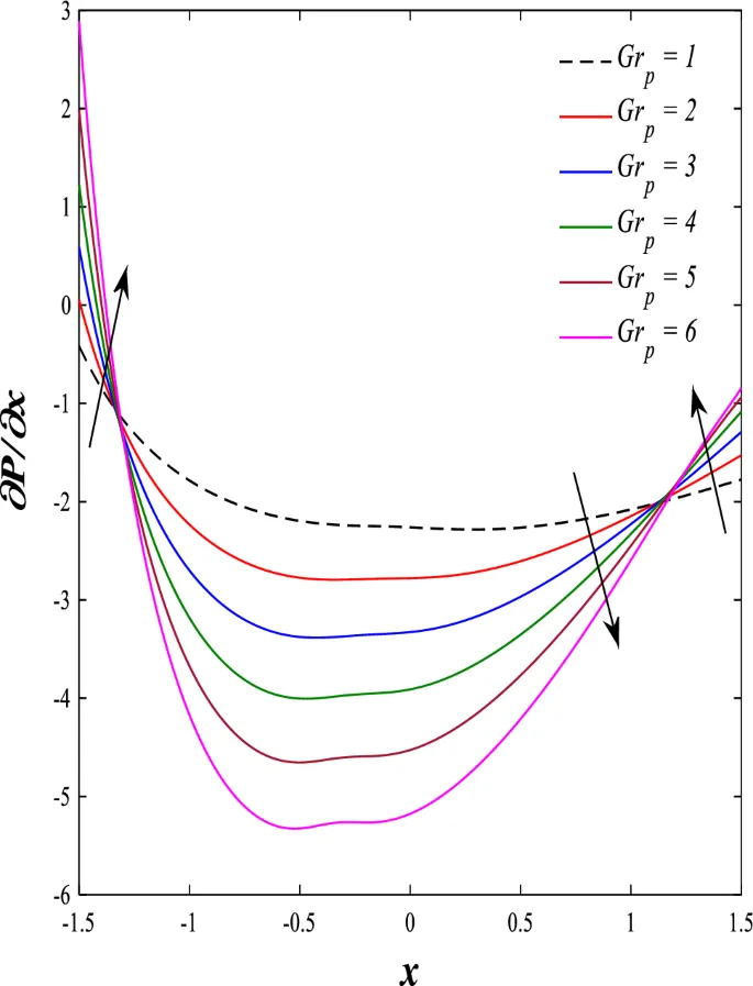
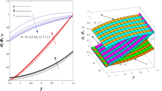
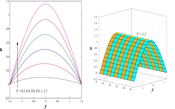
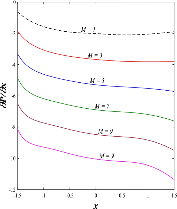
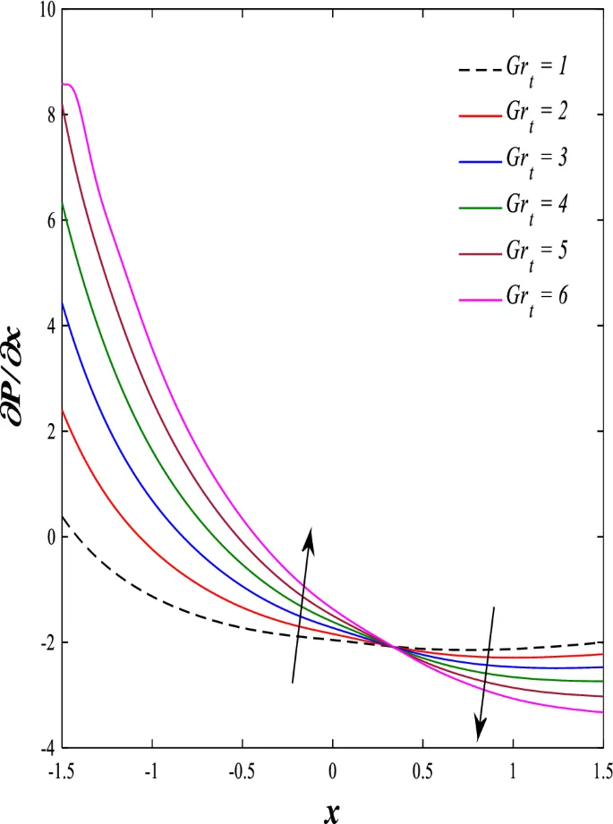
Распределение осевой скорости демонстрирует переменное поведение, изменяясь между увеличением и уменьшением под влиянием магнитного поля, числа Дарси и параметров вращения.
Температурное распределение
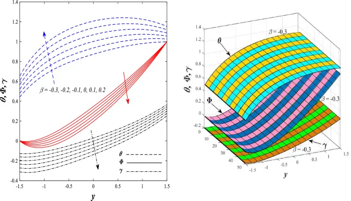
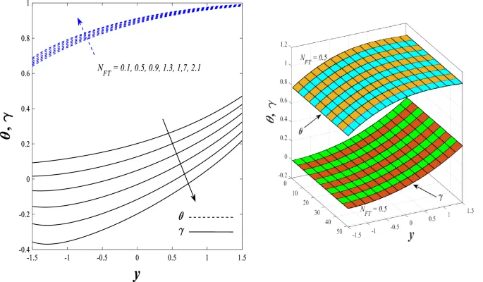
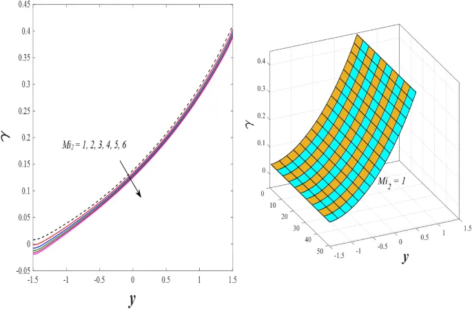
Температурное распределение увеличивается под влиянием параметра генерации/поглощения тепла и числа Бринкмана, но уменьшается при увеличении параметра нелинейного теплового излучения.
Заключение
Исследование демонстрирует сложное взаимодействие различных физических параметров на перистальтическое течение наножидкости Сиско. Результаты показывают значительное влияние магнитного поля, пористой среды и тепловых эффектов на характеристики течения.